Bun venit la recapitularea de geometrie pentru Evaluarea Națională! Aici... Afișează mai mult
Înscrie-te pentru a vedea CONȚINUTULE gratuit!
Acces la toate documentele
Îmbunătățește notele tale!
Alătură-te milioanelor de elevi
Knowunity AI
Mai mult
Materii
Triangle Congruence and Similarity Theorems
Triangle Properties and Classification
Linear Equations and Graphs
Geometric Angle Relationships
Trigonometric Functions and Identities
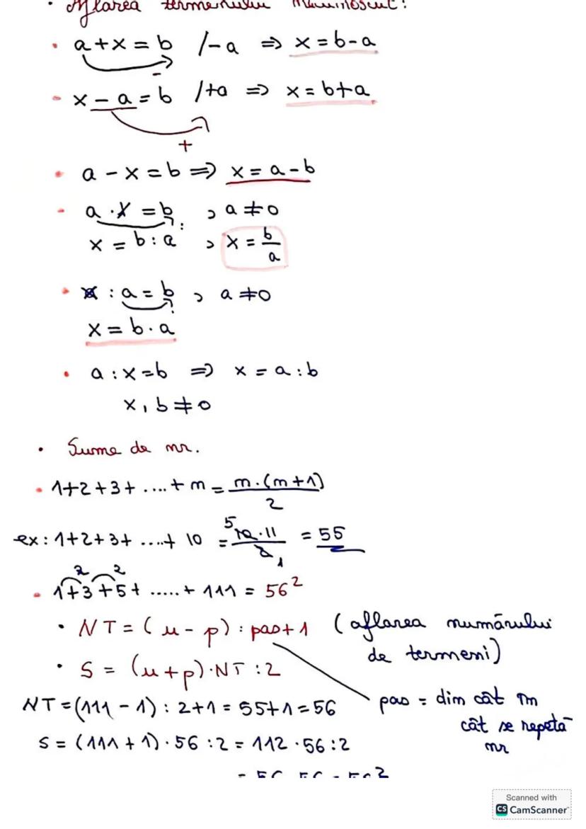
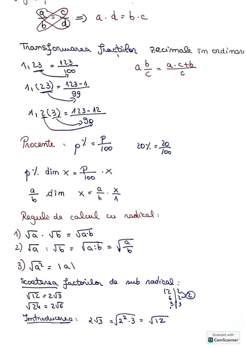
Equation Solving Techniques
Circle Geometry Fundamentals
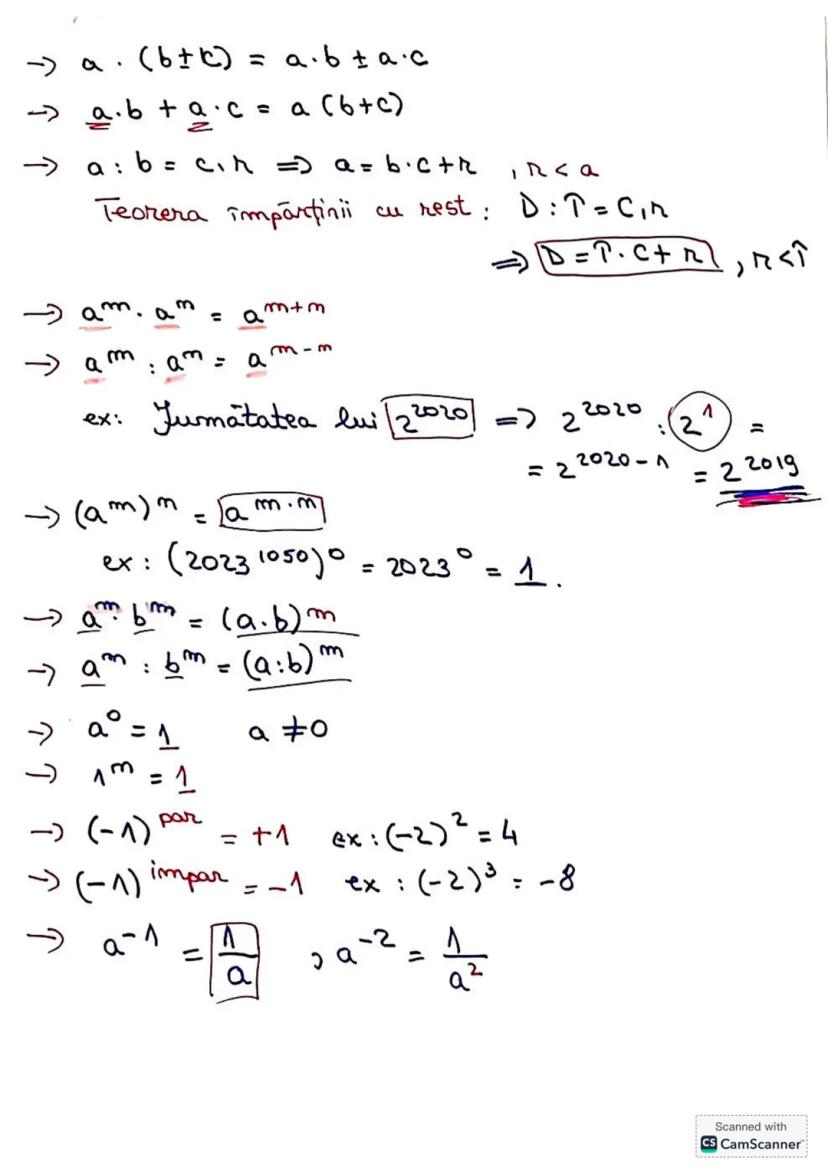
Division Operations and Methods
Basic Differentiation Rules
Exponent and Logarithm Properties
Afișează toate materiile
Human Organ Systems
Reproductive Cell Cycles
Biological Sciences Subdisciplines
Cellular Energy Metabolism
Autotrophic Energy Processes
Inheritance Patterns and Principles
Biomolecular Structure and Organization
Cell Cycle and Division Mechanics
Cellular Organization and Development
Biological Structural Organization
Afișează toate materiile
Chemical Sciences and Applications
Atomic Structure and Composition
Molecular Electron Structure Representation
Atomic Electron Behavior
Matter Properties and Water
Mole Concept and Calculations
Gas Laws and Behavior
Periodic Table Organization
Chemical Thermodynamics Fundamentals
Chemical Bond Types and Properties
Afișează toate materiile
European Renaissance and Enlightenment
European Cultural Movements 800-1920
American Revolution Era 1763-1797
American Civil War 1861-1865
Global Imperial Systems
Mongol and Chinese Dynasties
U.S. Presidents and World Leaders
Historical Sources and Documentation
World Wars Era and Impact
World Religious Systems
Afișează toate materiile
Classic and Contemporary Novels
Literary Character Analysis
Rhetorical Theory and Practice
Classic Literary Narratives
Reading Analysis and Interpretation
Narrative Structure and Techniques
English Language Components
Influential English-Language Authors
Basic Sentence Structure
Narrative Voice and Perspective
Afișează toate materiile
338
•
Actualizat Mar 27, 2026
•
sebyyy
@sebyyyws
Bun venit la recapitularea de geometrie pentru Evaluarea Națională! Aici... Afișează mai mult




















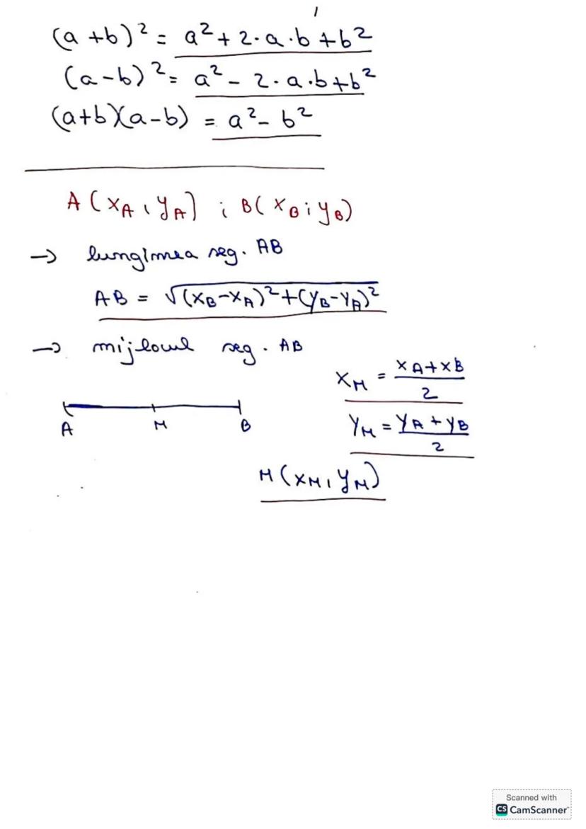
În geometrie, elementele fundamentale cu care lucrăm sunt dreapta, semidreapta și segmentul. Acestea sunt blocurile de bază pentru toate figurile geometrice.
Când vorbim despre poziții relative a două drepte, avem două situații principale: drepte concurente și drepte paralele (care nu se intersectează niciodată).
Pentru drepte concurente, notăm intersecția lor cu simbolul ∩. De exemplu, a ∩ b = {O} înseamnă că dreptele a și b se intersectează în punctul O.
Bine de știut! Când două drepte sunt paralele, notăm acest lucru cu simbolul || (de exemplu: e || f). Reține că pentru a rezolva probleme cu succes, trebuie să recunoști rapid aceste relații între drepte!

Unghiurile sunt prezente peste tot în geometrie și se clasifică după mărime în:
Unghiul nul are măsura 0° - este format când cele două laturi se suprapun.
Unghiul ascuțit are măsura între 0° și 90° - imaginează-ți un colț mai strâmt decât un colț drept.
Unghiul drept are exact 90° - ca un colț de caiet sau tablă. Îl recunoști după simbolul mic de pătrățel.
Unghiul obtuz are măsura între 90° și 180° - este mai "deschis" decât un unghi drept.
Unghiul alungit are exact 180° - laturi în prelungire, formând o linie dreaptă.
Pont util! Pentru a recunoște rapid tipul unui unghi, compară-l mental cu un unghi drept: dacă e mai mic, e ascuțit; dacă e mai mare, e obtuz.

Unghiurile congruente au aceeași măsură, indiferent de orientarea lor. Le notăm cu simbolul ≡ (de exemplu: ∠ABC ≡ ∠DEF).
Bisectoarea unui unghi este semidreapta care împarte unghiul în două unghiuri congruente. De exemplu, BD este bisectoarea unghiului ∠ABC dacă ∠ABD = ∠DBC.
Unghiurile adiacente au trei proprietăți importante: au o latură comună, au vârful comun și celelalte două laturi se află de o parte și de alta a laturii comune.
Atenție! Nu confunda unghiurile adiacente cu alte tipuri de unghiuri. Un truc bun este să verifici toate cele trei condiții: latură comună, vârf comun și poziția celorlalte laturi.

Unghiurile complementare sunt unghiuri a căror sumă este 90°. Acestea formează împreună un unghi drept.
Unghiurile suplementare au suma măsurilor egală cu 180°. Ele formează împreună un unghi alungit.
Unghiurile opuse la vârf se formează când două drepte se intersectează. Unghiurile opuse sunt întotdeauna congruente: ∠AOB = ∠DOC și ∠AOD = ∠BOC.
Unghiurile în jurul unui punct au suma măsurilor egală cu 360°. Gândește-te la ele ca la un cerc complet în jurul unui punct.
Știai că? Unghiurile opuse la vârf sunt întotdeauna egale, indiferent de mărimea lor! Acest lucru te poate ajuta să rezolvi rapid probleme când cunoști doar unul dintre ele.

Când două drepte paralele sunt tăiate de o secantă, se formează opt unghiuri care au relații speciale între ele:
Triunghiul este una dintre cele mai importante figuri în geometrie. El este notat ΔABC și are ca elemente:
Important! Recunoașterea unghiurilor formate de paralele cu o secantă te ajută să rezolvi rapid probleme complexe de geometrie. Memorează aceste relații!

Triunghiul oarecare are toate laturile diferite. Pentru a-i calcula aria, poți folosi mai multe formule:
Triunghiul isoscel are două laturi egale. Are proprietăți speciale, inclusiv faptul că unghiurile de la bază sunt congruente.
Triunghiul echilateral are toate cele trei laturi egale. Acesta are:
Super truc! Pentru a rezolva mai ușor probleme cu triunghiuri echilaterale, ține minte că toate unghiurile sunt de 60° și toate elementele (mediane, înălțimi, bisectoare) sunt egale între ele.

Triunghiul dreptunghic are un unghi de 90°. În el se aplică teoreme speciale:
Pentru triunghiul dreptunghic cu un unghi de 30°, cateta opusă acestui unghi este jumătate din ipotenuză.
Mediana corespunzătoare ipotenuzei este jumătate din ipotenuză.
Ai încredere! Teorema lui Pitagora este cea mai cunoscută teoremă din geometrie și te va ajuta în foarte multe probleme. Memorează formula c² = a² + b² și vei rezolva rapid probleme cu triunghiuri dreptunghice!

Două triunghiuri sunt congruente când toate elementele lor corespunzătoare sunt congruente. Există trei cazuri principale:
Cazul L.U.L. : Două triunghiuri sunt congruente dacă au congruente două laturi și unghiul format de ele.
Cazul U.L.U. : Două triunghiuri sunt congruente dacă au congruente două unghiuri și latura cuprinsă între ele.
Cazul L.L.L. : Două triunghiuri sunt congruente dacă au congruente toate cele trei laturi.
Sfat practic! Pentru a verifica mai ușor cazurile de congruență, desenează triunghiurile și marchează elementele congruente. Acest lucru te va ajuta să vezi mai clar care caz de congruență se aplică.

Pentru triunghiurile dreptunghice, avem cazul C.C. : două triunghiuri dreptunghice sunt congruente dacă au congruente catetele.
În triunghiuri, avem linii importante:
Mediana este segmentul care unește un vârf cu mijlocul laturii opuse. Cele trei mediane se intersectează în centrul de greutate G al triunghiului. Pentru orice mediană AP, avem: AG = (2/3)·AP și GP = (1/3)·AP.
Bisectoarea este linia care împarte un unghi în două unghiuri congruente. Cele trei bisectoare se intersectează în centrul cercului înscris (I) în triunghi.
Reține! Centrul de greutate G împarte fiecare mediană în raportul 2:1 începând de la vârf. Această proprietate te va ajuta să calculezi coordonatele centrului de greutate când cunoști vârfurile triunghiului.

Înălțimea este segmentul perpendicular dus din vârf pe latura opusă sau pe prelungirea ei. Cele trei înălțimi se intersectează în ortocentrul H.
Mediatoarea unei laturi este perpendiculara ridicată din mijlocul laturii. Cele trei mediatoare se intersectează în centrul cercului circumscris triunghiului.
Linia mijlocie unește mijloacele a două laturi. Ea are două proprietăți importante:
Aplicație practică! Linia mijlocie este foarte utilă pentru rezolvarea problemelor de geometrie. Folosind proprietățile ei, poți calcula ușor lungimea unei laturi când cunoști linia mijlocie și invers.









Companionul nostru AI este creat special pentru nevoile studenților. Bazându-ne pe milioanele de materiale de pe platformă, putem oferi răspunsuri exacte și relevante pentru studenți. Dar nu este vorba doar despre răspunsuri, companionul este mai ales despre ghidarea studenților prin provocările zilnice de învățare, cu planuri de studiu personalizate, chestionare sau conținuturi în chat și personalizare 100% bazată pe abilitățile și evoluțiile studenților.
Aplicația este disponibilă în Google Play Store și Apple App Store.
Da! Bucură-te de access la materiale de studiu, conectează-te cu alți elevi, și primește ajutor instant - toate acestea la un click distanță. În plus, câștigă puncte ca să deblochezi mai multe funcționalități!
App Store
Google Play
Aplicația este foarte ușor de utilizat și bine concepută. Am găsit tot ce căutam până acum și am reușit să învăț multe din prezentări! Cu siguranță voi folosi aplicația pentru o temă la clasă! Și desigur, ajută mult ca sursă de inspirație.
Ștefan S
utilizator iOS
Această aplicație este super. Sunt atât de multe materiale de studiu și ajutor pentru elevi [...]. Materia mea mai problematică este franceza, de exemplu, și aplicația oferă foarte multe materiale ajutătoare. Mulțumită acestei aplicații, mi-am îmbunătățit franceza. Aș recomanda-o oricui.
Samantha Klich
utilizator Android
Wow, sunt cu adevărat impresionat. Am încercat aplicația pentru că am văzut-o promovată de multe ori și am rămas uimit. Aceasta este AJUTORUL de care ai nevoie pentru școală și, mai presus de toate, oferă atât de multe lucruri, precum exerciții și fișe de informații, care mi-au fost FOARTE de ajutor.
Anna
utilizator iOS
Te ajută să înveți foarte repede și ști foarte bine ce ai dori tu să înveți, vă recomand cu drag să încercați și să învățați mai repede.!
Thomas R
utilizator iOS
Foarte bună aplicația!!!! Mă ajută să înțeleg mult mai bine lecțiile și temele le termin mult mai repede.👍❤️
Paul P
utilizator Android
Te ajută foarte bine la teme acest robot,recomand!
David K
utilizator iOS
Aplicația e grozavă! Tot ce trebuie să fac este să introduc subiectul în bara de căutare și primesc răspunsul foarte rapid. Nu mai trebuie să mă uit la 10 videoclipuri pe YouTube pentru a înțelege ceva, deci îmi economisesc timpul. Super recomandat!
Sudenaz Ocak
utilizator Android
La școală eram chiar slab la matematică, dar datorită aplicației, mă descurc mai bine acum. Sunt atât de recunoscător că ai creat aplicația.
Greenlight Bonnie
utilizator Android
Această aplicație e super interesantă și seamănă ca tiktok-ul doar că tu ai doar teorie și explicații.
Karla S
utilizator Android
Nu mai trebuie să stau cu orele să învăț după caiet când pot să citesc de 2 ori lecțiile care apar aici și iau 10 la test ! Knowunity m-a ajutat să iau nota 9,20 la română ! Voi recomanda ff tare aceasta aplicate , să nu uităm ca are și chat GPT !👍🏻
Denisa B
utilizator iOS
CHESTIONARELE ȘI FLASHCARD-URILE SUNT ATÂT DE UTILE ȘI IUBESC Knowunity AI. E LITERALMENTE CA CHATGPT DOAR CĂ MAI DEȘTEPT!! M-A AJUTAT ȘI CU PROBLEMELE MELE CU MASCARA!! PLUS CU MATERIILE MELE ADEVĂRATE! EVIDENT 😍😁😲🤑💗✨🎀😮
Sarah L
utilizator Android
Este foarte bună te ajută la teme te face să înțelegi lecțiile am înțeles o lecție în 20 de minute i singură nu reușeam să o învăț dar cu Knowunity am învățat-o foarte ușor
Alessia V
utilizator iOS
Aplicația este foarte ușor de utilizat și bine concepută. Am găsit tot ce căutam până acum și am reușit să învăț multe din prezentări! Cu siguranță voi folosi aplicația pentru o temă la clasă! Și desigur, ajută mult ca sursă de inspirație.
Ștefan S
utilizator iOS
Această aplicație este super. Sunt atât de multe materiale de studiu și ajutor pentru elevi [...]. Materia mea mai problematică este franceza, de exemplu, și aplicația oferă foarte multe materiale ajutătoare. Mulțumită acestei aplicații, mi-am îmbunătățit franceza. Aș recomanda-o oricui.
Samantha Klich
utilizator Android
Wow, sunt cu adevărat impresionat. Am încercat aplicația pentru că am văzut-o promovată de multe ori și am rămas uimit. Aceasta este AJUTORUL de care ai nevoie pentru școală și, mai presus de toate, oferă atât de multe lucruri, precum exerciții și fișe de informații, care mi-au fost FOARTE de ajutor.
Anna
utilizator iOS
Te ajută să înveți foarte repede și ști foarte bine ce ai dori tu să înveți, vă recomand cu drag să încercați și să învățați mai repede.!
Thomas R
utilizator iOS
Foarte bună aplicația!!!! Mă ajută să înțeleg mult mai bine lecțiile și temele le termin mult mai repede.👍❤️
Paul P
utilizator Android
Te ajută foarte bine la teme acest robot,recomand!
David K
utilizator iOS
Aplicația e grozavă! Tot ce trebuie să fac este să introduc subiectul în bara de căutare și primesc răspunsul foarte rapid. Nu mai trebuie să mă uit la 10 videoclipuri pe YouTube pentru a înțelege ceva, deci îmi economisesc timpul. Super recomandat!
Sudenaz Ocak
utilizator Android
La școală eram chiar slab la matematică, dar datorită aplicației, mă descurc mai bine acum. Sunt atât de recunoscător că ai creat aplicația.
Greenlight Bonnie
utilizator Android
Această aplicație e super interesantă și seamănă ca tiktok-ul doar că tu ai doar teorie și explicații.
Karla S
utilizator Android
Nu mai trebuie să stau cu orele să învăț după caiet când pot să citesc de 2 ori lecțiile care apar aici și iau 10 la test ! Knowunity m-a ajutat să iau nota 9,20 la română ! Voi recomanda ff tare aceasta aplicate , să nu uităm ca are și chat GPT !👍🏻
Denisa B
utilizator iOS
CHESTIONARELE ȘI FLASHCARD-URILE SUNT ATÂT DE UTILE ȘI IUBESC Knowunity AI. E LITERALMENTE CA CHATGPT DOAR CĂ MAI DEȘTEPT!! M-A AJUTAT ȘI CU PROBLEMELE MELE CU MASCARA!! PLUS CU MATERIILE MELE ADEVĂRATE! EVIDENT 😍😁😲🤑💗✨🎀😮
Sarah L
utilizator Android
Este foarte bună te ajută la teme te face să înțelegi lecțiile am înțeles o lecție în 20 de minute i singură nu reușeam să o învăț dar cu Knowunity am învățat-o foarte ușor
Alessia V
utilizator iOS
sebyyy
@sebyyyws
Bun venit la recapitularea de geometrie pentru Evaluarea Națională! Aici vom revizui conceptele esențiale de geometrie care te vor ajuta să te pregătești pentru examen. Vom discuta despre drepte, unghiuri, triunghiuri și toate elementele importante pe care trebuie să le... Afișează mai mult

Acces la toate documentele
Îmbunătățește notele tale!
Alătură-te milioanelor de elevi
În geometrie, elementele fundamentale cu care lucrăm sunt dreapta, semidreapta și segmentul. Acestea sunt blocurile de bază pentru toate figurile geometrice.
Când vorbim despre poziții relative a două drepte, avem două situații principale: drepte concurente și drepte paralele (care nu se intersectează niciodată).
Pentru drepte concurente, notăm intersecția lor cu simbolul ∩. De exemplu, a ∩ b = {O} înseamnă că dreptele a și b se intersectează în punctul O.
Bine de știut! Când două drepte sunt paralele, notăm acest lucru cu simbolul || (de exemplu: e || f). Reține că pentru a rezolva probleme cu succes, trebuie să recunoști rapid aceste relații între drepte!

Acces la toate documentele
Îmbunătățește notele tale!
Alătură-te milioanelor de elevi
Unghiurile sunt prezente peste tot în geometrie și se clasifică după mărime în:
Unghiul nul are măsura 0° - este format când cele două laturi se suprapun.
Unghiul ascuțit are măsura între 0° și 90° - imaginează-ți un colț mai strâmt decât un colț drept.
Unghiul drept are exact 90° - ca un colț de caiet sau tablă. Îl recunoști după simbolul mic de pătrățel.
Unghiul obtuz are măsura între 90° și 180° - este mai "deschis" decât un unghi drept.
Unghiul alungit are exact 180° - laturi în prelungire, formând o linie dreaptă.
Pont util! Pentru a recunoște rapid tipul unui unghi, compară-l mental cu un unghi drept: dacă e mai mic, e ascuțit; dacă e mai mare, e obtuz.

Acces la toate documentele
Îmbunătățește notele tale!
Alătură-te milioanelor de elevi
Unghiurile congruente au aceeași măsură, indiferent de orientarea lor. Le notăm cu simbolul ≡ (de exemplu: ∠ABC ≡ ∠DEF).
Bisectoarea unui unghi este semidreapta care împarte unghiul în două unghiuri congruente. De exemplu, BD este bisectoarea unghiului ∠ABC dacă ∠ABD = ∠DBC.
Unghiurile adiacente au trei proprietăți importante: au o latură comună, au vârful comun și celelalte două laturi se află de o parte și de alta a laturii comune.
Atenție! Nu confunda unghiurile adiacente cu alte tipuri de unghiuri. Un truc bun este să verifici toate cele trei condiții: latură comună, vârf comun și poziția celorlalte laturi.

Acces la toate documentele
Îmbunătățește notele tale!
Alătură-te milioanelor de elevi
Unghiurile complementare sunt unghiuri a căror sumă este 90°. Acestea formează împreună un unghi drept.
Unghiurile suplementare au suma măsurilor egală cu 180°. Ele formează împreună un unghi alungit.
Unghiurile opuse la vârf se formează când două drepte se intersectează. Unghiurile opuse sunt întotdeauna congruente: ∠AOB = ∠DOC și ∠AOD = ∠BOC.
Unghiurile în jurul unui punct au suma măsurilor egală cu 360°. Gândește-te la ele ca la un cerc complet în jurul unui punct.
Știai că? Unghiurile opuse la vârf sunt întotdeauna egale, indiferent de mărimea lor! Acest lucru te poate ajuta să rezolvi rapid probleme când cunoști doar unul dintre ele.

Acces la toate documentele
Îmbunătățește notele tale!
Alătură-te milioanelor de elevi
Când două drepte paralele sunt tăiate de o secantă, se formează opt unghiuri care au relații speciale între ele:
Triunghiul este una dintre cele mai importante figuri în geometrie. El este notat ΔABC și are ca elemente:
Important! Recunoașterea unghiurilor formate de paralele cu o secantă te ajută să rezolvi rapid probleme complexe de geometrie. Memorează aceste relații!

Acces la toate documentele
Îmbunătățește notele tale!
Alătură-te milioanelor de elevi
Triunghiul oarecare are toate laturile diferite. Pentru a-i calcula aria, poți folosi mai multe formule:
Triunghiul isoscel are două laturi egale. Are proprietăți speciale, inclusiv faptul că unghiurile de la bază sunt congruente.
Triunghiul echilateral are toate cele trei laturi egale. Acesta are:
Super truc! Pentru a rezolva mai ușor probleme cu triunghiuri echilaterale, ține minte că toate unghiurile sunt de 60° și toate elementele (mediane, înălțimi, bisectoare) sunt egale între ele.

Acces la toate documentele
Îmbunătățește notele tale!
Alătură-te milioanelor de elevi
Triunghiul dreptunghic are un unghi de 90°. În el se aplică teoreme speciale:
Pentru triunghiul dreptunghic cu un unghi de 30°, cateta opusă acestui unghi este jumătate din ipotenuză.
Mediana corespunzătoare ipotenuzei este jumătate din ipotenuză.
Ai încredere! Teorema lui Pitagora este cea mai cunoscută teoremă din geometrie și te va ajuta în foarte multe probleme. Memorează formula c² = a² + b² și vei rezolva rapid probleme cu triunghiuri dreptunghice!

Acces la toate documentele
Îmbunătățește notele tale!
Alătură-te milioanelor de elevi
Două triunghiuri sunt congruente când toate elementele lor corespunzătoare sunt congruente. Există trei cazuri principale:
Cazul L.U.L. : Două triunghiuri sunt congruente dacă au congruente două laturi și unghiul format de ele.
Cazul U.L.U. : Două triunghiuri sunt congruente dacă au congruente două unghiuri și latura cuprinsă între ele.
Cazul L.L.L. : Două triunghiuri sunt congruente dacă au congruente toate cele trei laturi.
Sfat practic! Pentru a verifica mai ușor cazurile de congruență, desenează triunghiurile și marchează elementele congruente. Acest lucru te va ajuta să vezi mai clar care caz de congruență se aplică.

Acces la toate documentele
Îmbunătățește notele tale!
Alătură-te milioanelor de elevi
Pentru triunghiurile dreptunghice, avem cazul C.C. : două triunghiuri dreptunghice sunt congruente dacă au congruente catetele.
În triunghiuri, avem linii importante:
Mediana este segmentul care unește un vârf cu mijlocul laturii opuse. Cele trei mediane se intersectează în centrul de greutate G al triunghiului. Pentru orice mediană AP, avem: AG = (2/3)·AP și GP = (1/3)·AP.
Bisectoarea este linia care împarte un unghi în două unghiuri congruente. Cele trei bisectoare se intersectează în centrul cercului înscris (I) în triunghi.
Reține! Centrul de greutate G împarte fiecare mediană în raportul 2:1 începând de la vârf. Această proprietate te va ajuta să calculezi coordonatele centrului de greutate când cunoști vârfurile triunghiului.

Acces la toate documentele
Îmbunătățește notele tale!
Alătură-te milioanelor de elevi
Înălțimea este segmentul perpendicular dus din vârf pe latura opusă sau pe prelungirea ei. Cele trei înălțimi se intersectează în ortocentrul H.
Mediatoarea unei laturi este perpendiculara ridicată din mijlocul laturii. Cele trei mediatoare se intersectează în centrul cercului circumscris triunghiului.
Linia mijlocie unește mijloacele a două laturi. Ea are două proprietăți importante:
Aplicație practică! Linia mijlocie este foarte utilă pentru rezolvarea problemelor de geometrie. Folosind proprietățile ei, poți calcula ușor lungimea unei laturi când cunoști linia mijlocie și invers.

Acces la toate documentele
Îmbunătățește notele tale!
Alătură-te milioanelor de elevi

Acces la toate documentele
Îmbunătățește notele tale!
Alătură-te milioanelor de elevi

Acces la toate documentele
Îmbunătățește notele tale!
Alătură-te milioanelor de elevi

Acces la toate documentele
Îmbunătățește notele tale!
Alătură-te milioanelor de elevi

Acces la toate documentele
Îmbunătățește notele tale!
Alătură-te milioanelor de elevi

Acces la toate documentele
Îmbunătățește notele tale!
Alătură-te milioanelor de elevi

Acces la toate documentele
Îmbunătățește notele tale!
Alătură-te milioanelor de elevi

Acces la toate documentele
Îmbunătățește notele tale!
Alătură-te milioanelor de elevi

Acces la toate documentele
Îmbunătățește notele tale!
Alătură-te milioanelor de elevi
Companionul nostru AI este creat special pentru nevoile studenților. Bazându-ne pe milioanele de materiale de pe platformă, putem oferi răspunsuri exacte și relevante pentru studenți. Dar nu este vorba doar despre răspunsuri, companionul este mai ales despre ghidarea studenților prin provocările zilnice de învățare, cu planuri de studiu personalizate, chestionare sau conținuturi în chat și personalizare 100% bazată pe abilitățile și evoluțiile studenților.
Aplicația este disponibilă în Google Play Store și Apple App Store.
Da! Bucură-te de access la materiale de studiu, conectează-te cu alți elevi, și primește ajutor instant - toate acestea la un click distanță. În plus, câștigă puncte ca să deblochezi mai multe funcționalități!
4
Instrumente inteligente NOU
Transformă această notiță în: ✓ 50+ întrebări de exersare ✓ Flashcard-uri interactive ✓ Examen de practică complet ✓ Planuri de eseu
App Store
Google Play
Aplicația este foarte ușor de utilizat și bine concepută. Am găsit tot ce căutam până acum și am reușit să învăț multe din prezentări! Cu siguranță voi folosi aplicația pentru o temă la clasă! Și desigur, ajută mult ca sursă de inspirație.
Ștefan S
utilizator iOS
Această aplicație este super. Sunt atât de multe materiale de studiu și ajutor pentru elevi [...]. Materia mea mai problematică este franceza, de exemplu, și aplicația oferă foarte multe materiale ajutătoare. Mulțumită acestei aplicații, mi-am îmbunătățit franceza. Aș recomanda-o oricui.
Samantha Klich
utilizator Android
Wow, sunt cu adevărat impresionat. Am încercat aplicația pentru că am văzut-o promovată de multe ori și am rămas uimit. Aceasta este AJUTORUL de care ai nevoie pentru școală și, mai presus de toate, oferă atât de multe lucruri, precum exerciții și fișe de informații, care mi-au fost FOARTE de ajutor.
Anna
utilizator iOS
Te ajută să înveți foarte repede și ști foarte bine ce ai dori tu să înveți, vă recomand cu drag să încercați și să învățați mai repede.!
Thomas R
utilizator iOS
Foarte bună aplicația!!!! Mă ajută să înțeleg mult mai bine lecțiile și temele le termin mult mai repede.👍❤️
Paul P
utilizator Android
Te ajută foarte bine la teme acest robot,recomand!
David K
utilizator iOS
Aplicația e grozavă! Tot ce trebuie să fac este să introduc subiectul în bara de căutare și primesc răspunsul foarte rapid. Nu mai trebuie să mă uit la 10 videoclipuri pe YouTube pentru a înțelege ceva, deci îmi economisesc timpul. Super recomandat!
Sudenaz Ocak
utilizator Android
La școală eram chiar slab la matematică, dar datorită aplicației, mă descurc mai bine acum. Sunt atât de recunoscător că ai creat aplicația.
Greenlight Bonnie
utilizator Android
Această aplicație e super interesantă și seamănă ca tiktok-ul doar că tu ai doar teorie și explicații.
Karla S
utilizator Android
Nu mai trebuie să stau cu orele să învăț după caiet când pot să citesc de 2 ori lecțiile care apar aici și iau 10 la test ! Knowunity m-a ajutat să iau nota 9,20 la română ! Voi recomanda ff tare aceasta aplicate , să nu uităm ca are și chat GPT !👍🏻
Denisa B
utilizator iOS
CHESTIONARELE ȘI FLASHCARD-URILE SUNT ATÂT DE UTILE ȘI IUBESC Knowunity AI. E LITERALMENTE CA CHATGPT DOAR CĂ MAI DEȘTEPT!! M-A AJUTAT ȘI CU PROBLEMELE MELE CU MASCARA!! PLUS CU MATERIILE MELE ADEVĂRATE! EVIDENT 😍😁😲🤑💗✨🎀😮
Sarah L
utilizator Android
Este foarte bună te ajută la teme te face să înțelegi lecțiile am înțeles o lecție în 20 de minute i singură nu reușeam să o învăț dar cu Knowunity am învățat-o foarte ușor
Alessia V
utilizator iOS
Aplicația este foarte ușor de utilizat și bine concepută. Am găsit tot ce căutam până acum și am reușit să învăț multe din prezentări! Cu siguranță voi folosi aplicația pentru o temă la clasă! Și desigur, ajută mult ca sursă de inspirație.
Ștefan S
utilizator iOS
Această aplicație este super. Sunt atât de multe materiale de studiu și ajutor pentru elevi [...]. Materia mea mai problematică este franceza, de exemplu, și aplicația oferă foarte multe materiale ajutătoare. Mulțumită acestei aplicații, mi-am îmbunătățit franceza. Aș recomanda-o oricui.
Samantha Klich
utilizator Android
Wow, sunt cu adevărat impresionat. Am încercat aplicația pentru că am văzut-o promovată de multe ori și am rămas uimit. Aceasta este AJUTORUL de care ai nevoie pentru școală și, mai presus de toate, oferă atât de multe lucruri, precum exerciții și fișe de informații, care mi-au fost FOARTE de ajutor.
Anna
utilizator iOS
Te ajută să înveți foarte repede și ști foarte bine ce ai dori tu să înveți, vă recomand cu drag să încercați și să învățați mai repede.!
Thomas R
utilizator iOS
Foarte bună aplicația!!!! Mă ajută să înțeleg mult mai bine lecțiile și temele le termin mult mai repede.👍❤️
Paul P
utilizator Android
Te ajută foarte bine la teme acest robot,recomand!
David K
utilizator iOS
Aplicația e grozavă! Tot ce trebuie să fac este să introduc subiectul în bara de căutare și primesc răspunsul foarte rapid. Nu mai trebuie să mă uit la 10 videoclipuri pe YouTube pentru a înțelege ceva, deci îmi economisesc timpul. Super recomandat!
Sudenaz Ocak
utilizator Android
La școală eram chiar slab la matematică, dar datorită aplicației, mă descurc mai bine acum. Sunt atât de recunoscător că ai creat aplicația.
Greenlight Bonnie
utilizator Android
Această aplicație e super interesantă și seamănă ca tiktok-ul doar că tu ai doar teorie și explicații.
Karla S
utilizator Android
Nu mai trebuie să stau cu orele să învăț după caiet când pot să citesc de 2 ori lecțiile care apar aici și iau 10 la test ! Knowunity m-a ajutat să iau nota 9,20 la română ! Voi recomanda ff tare aceasta aplicate , să nu uităm ca are și chat GPT !👍🏻
Denisa B
utilizator iOS
CHESTIONARELE ȘI FLASHCARD-URILE SUNT ATÂT DE UTILE ȘI IUBESC Knowunity AI. E LITERALMENTE CA CHATGPT DOAR CĂ MAI DEȘTEPT!! M-A AJUTAT ȘI CU PROBLEMELE MELE CU MASCARA!! PLUS CU MATERIILE MELE ADEVĂRATE! EVIDENT 😍😁😲🤑💗✨🎀😮
Sarah L
utilizator Android
Este foarte bună te ajută la teme te face să înțelegi lecțiile am înțeles o lecție în 20 de minute i singură nu reușeam să o învăț dar cu Knowunity am învățat-o foarte ușor
Alessia V
utilizator iOS