Matematica pentru Bacalaureat (M2) este un ghid esențial pentru elevii... Afișează mai mult
Înscrie-te pentru a vedea CONȚINUTULE gratuit!
Acces la toate documentele
Îmbunătățește notele tale!
Alătură-te milioanelor de elevi
Knowunity AI
Mai mult
Materii
Triangle Congruence and Similarity Theorems
Triangle Properties and Classification
Linear Equations and Graphs
Geometric Angle Relationships
Trigonometric Functions and Identities
Equation Solving Techniques
Circle Geometry Fundamentals
Division Operations and Methods
Basic Differentiation Rules
Exponent and Logarithm Properties
Afișează toate materiile
Human Organ Systems
Reproductive Cell Cycles
Biological Sciences Subdisciplines
Cellular Energy Metabolism
Autotrophic Energy Processes
Inheritance Patterns and Principles
Biomolecular Structure and Organization
Cell Cycle and Division Mechanics
Cellular Organization and Development
Biological Structural Organization
Afișează toate materiile
Chemical Sciences and Applications
Atomic Structure and Composition
Molecular Electron Structure Representation
Atomic Electron Behavior
Matter Properties and Water
Mole Concept and Calculations
Gas Laws and Behavior
Periodic Table Organization
Chemical Thermodynamics Fundamentals
Chemical Bond Types and Properties
Afișează toate materiile
European Renaissance and Enlightenment
European Cultural Movements 800-1920
American Revolution Era 1763-1797
American Civil War 1861-1865
Global Imperial Systems
Mongol and Chinese Dynasties
U.S. Presidents and World Leaders
Historical Sources and Documentation
World Wars Era and Impact
World Religious Systems
Afișează toate materiile
Classic and Contemporary Novels
Literary Character Analysis
Rhetorical Theory and Practice
Classic Literary Narratives
Reading Analysis and Interpretation
Narrative Structure and Techniques
English Language Components
Influential English-Language Authors
Basic Sentence Structure
Narrative Voice and Perspective
Afișează toate materiile
1,270
•
Actualizat Apr 1, 2026
•
Andreea Tancau
@andreeatancau
Matematica pentru Bacalaureat (M2) este un ghid esențial pentru elevii... Afișează mai mult
























Acest ghid pentru pregătirea examenului de Bacalaureat la Matematică M2 este conceput special pentru a-ți facilita învățarea și consolidarea cunoștințelor. Materialul include itemi de antrenament pentru verificarea cunoștințelor, 99 de teste pentru exersare și modele de subiecte date în perioada 2014-2019.
Ți-am pregătit un instrument complet care acoperă toată programa pentru profilul real, specializarea științe ale naturii, astfel încât să abordezi cu încredere examenul.
Sfat util: Rezolvă testele cronometrat pentru a te obișnui cu timpul limitat din examen și verifică-ți soluțiile cu răspunsurile oferite în manual.

Manualul este în conformitate cu programa oficială pentru examenul de bacalaureat la matematică, fiind elaborat de autori cu experiență în domeniu: Petre Năchilă, Ana Cârstoveanu și Ion Nica.
Editura NOMINA oferă acest ghid complet, disponibil prin comandă directă sau prin reprezentanții zonali din toată țara. Indiferent de regiunea în care te afli, poți obține cu ușurință acest material.
Manualul este structurat logic și ușor de parcurs, iar informațiile de contact pentru comandare sunt disponibile pentru orice nelămurire ai avea.
Important: Reține că toate drepturile aparțin Editurii Nomina și că materialul este protejat prin copyright, fiind actualizat pentru anul 2020.

Programa pentru filiera teoretică, profilul real, specializarea științe ale naturii, include materia studiată în clasa a IX-a .
Mulțimi și elemente de logică matematică:
Șiruri:
Funcții și lecturi grafice:
De reținut: Pentru funcțiile de gradul I și II, trebuie să știi să interpretezi grafic proprietățile algebrice și să analizezi monotonia și semnul funcțiilor!

Funcții și ecuații:
Metode de numărare:
Matematici financiare:
Geometrie:
Elemente de calcul matriceal:
Atenție: La ecuațiile trigonometrice, trebuie să știi formele de bază: sin x = a, cos x = a, tg x = a, ctg x = a și ecuațiile care se reduc la acestea!

Inele și corpuri:
Polinoame:
Elemente de analiză matematică:
Aplicații ale integralei definite:
Sfat util: La integrala definită, exersează metodele de calcul pentru diversele tipuri de integrale, în special pentru integralele cu fracții raționale!

Funcția de gradul I :
Funcția de gradul II :
Important! Graficul funcției de gradul II este o parabolă cu vârful în V și cu axa de simetrie x = -b/2a.

Ecuații de gradul al II-lea :
Vectori în plan:
Vectori în reperul cartezian:
De reținut: Doi vectori sunt coliniari dacă și numai dacă există α ∈ ℝ astfel încât , sau echivalent .

Puteri cu exponent natural:
Puteri cu exponent întreg negativ:
Puteri cu exponent rațional:
Proprietăți ale puterilor cu exponent real:
Radicalul de ordin n:
Atenție la diferențele importante: La radical de ordin par, argumentul trebuie să fie pozitiv sau zero, iar rezultatul este mereu pozitiv. La radical de ordin impar, argumentul poate fi orice număr real, iar radicalul păstrează semnul argumentului.

Proprietăți ale radicalilor:
Pentru n par (n ≥ 2):
Pentru n impar (n ≥ 3):
Raționalizarea numitorului:
Logaritmi:
Tehnică utilă: La raționalizarea numitorului cu radicali multipli, folosește conjugata corespunzătoare pentru a elimina radicalii din numitor. De exemplu, pentru ³√a ± ³√b, înmulțește cu ³√a² ∓ ³√ab + ³√b².

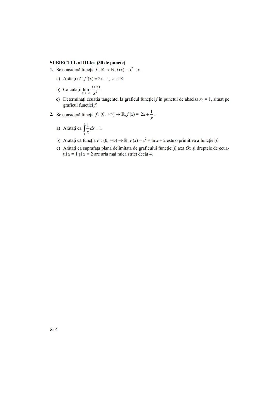
SUBIECTUL al III-lea (30 de puncte)
Se consideră funcția f:ℝ→ℝ, f(x)=x²-x. a) Arătați că f'(x)=2x-1, x∈ℝ. b) Calculați lim(x→∞) c) Determinați ecuația tangentei la graficul funcției în punctul de abscisă x₀=1.
Se consideră funcția f:(0,+∞)→ℝ, f(x)=2x+1/x a) Arătați că ∫₁^e dx=1. b) Arătați că funcția F:(0,+∞)→ℝ, F(x)=x²+ln x+2 este o primitivă a funcției f. c) Arătați că suprafața plană delimitată de graficul funcției f, axa Ox și dreptele de ecuații x=1 și x=2 are aria strict mai mică decât 4.
Sfat pentru rezolvare: La punctul 1, folosește definițiile derivatei, limitei și ecuației tangentei. La punctul 2, aplică proprietățile integralei definite și formula ariei (∫ f(x)dx). Nu uita că pentru a demonstra că aria este mai mică decât 4, poți folosi majorări.













Companionul nostru AI este creat special pentru nevoile studenților. Bazându-ne pe milioanele de materiale de pe platformă, putem oferi răspunsuri exacte și relevante pentru studenți. Dar nu este vorba doar despre răspunsuri, companionul este mai ales despre ghidarea studenților prin provocările zilnice de învățare, cu planuri de studiu personalizate, chestionare sau conținuturi în chat și personalizare 100% bazată pe abilitățile și evoluțiile studenților.
Aplicația este disponibilă în Google Play Store și Apple App Store.
Da! Bucură-te de access la materiale de studiu, conectează-te cu alți elevi, și primește ajutor instant - toate acestea la un click distanță. În plus, câștigă puncte ca să deblochezi mai multe funcționalități!
formulele pentru bac
Pt S1 si S3 ex2
App Store
Google Play
Aplicația este foarte ușor de utilizat și bine concepută. Am găsit tot ce căutam până acum și am reușit să învăț multe din prezentări! Cu siguranță voi folosi aplicația pentru o temă la clasă! Și desigur, ajută mult ca sursă de inspirație.
Ștefan S
utilizator iOS
Această aplicație este super. Sunt atât de multe materiale de studiu și ajutor pentru elevi [...]. Materia mea mai problematică este franceza, de exemplu, și aplicația oferă foarte multe materiale ajutătoare. Mulțumită acestei aplicații, mi-am îmbunătățit franceza. Aș recomanda-o oricui.
Samantha Klich
utilizator Android
Wow, sunt cu adevărat impresionat. Am încercat aplicația pentru că am văzut-o promovată de multe ori și am rămas uimit. Aceasta este AJUTORUL de care ai nevoie pentru școală și, mai presus de toate, oferă atât de multe lucruri, precum exerciții și fișe de informații, care mi-au fost FOARTE de ajutor.
Anna
utilizator iOS
Te ajută să înveți foarte repede și ști foarte bine ce ai dori tu să înveți, vă recomand cu drag să încercați și să învățați mai repede.!
Thomas R
utilizator iOS
Foarte bună aplicația!!!! Mă ajută să înțeleg mult mai bine lecțiile și temele le termin mult mai repede.👍❤️
Paul P
utilizator Android
Te ajută foarte bine la teme acest robot,recomand!
David K
utilizator iOS
Aplicația e grozavă! Tot ce trebuie să fac este să introduc subiectul în bara de căutare și primesc răspunsul foarte rapid. Nu mai trebuie să mă uit la 10 videoclipuri pe YouTube pentru a înțelege ceva, deci îmi economisesc timpul. Super recomandat!
Sudenaz Ocak
utilizator Android
La școală eram chiar slab la matematică, dar datorită aplicației, mă descurc mai bine acum. Sunt atât de recunoscător că ai creat aplicația.
Greenlight Bonnie
utilizator Android
Această aplicație e super interesantă și seamănă ca tiktok-ul doar că tu ai doar teorie și explicații.
Karla S
utilizator Android
Nu mai trebuie să stau cu orele să învăț după caiet când pot să citesc de 2 ori lecțiile care apar aici și iau 10 la test ! Knowunity m-a ajutat să iau nota 9,20 la română ! Voi recomanda ff tare aceasta aplicate , să nu uităm ca are și chat GPT !👍🏻
Denisa B
utilizator iOS
CHESTIONARELE ȘI FLASHCARD-URILE SUNT ATÂT DE UTILE ȘI IUBESC Knowunity AI. E LITERALMENTE CA CHATGPT DOAR CĂ MAI DEȘTEPT!! M-A AJUTAT ȘI CU PROBLEMELE MELE CU MASCARA!! PLUS CU MATERIILE MELE ADEVĂRATE! EVIDENT 😍😁😲🤑💗✨🎀😮
Sarah L
utilizator Android
Este foarte bună te ajută la teme te face să înțelegi lecțiile am înțeles o lecție în 20 de minute i singură nu reușeam să o învăț dar cu Knowunity am învățat-o foarte ușor
Alessia V
utilizator iOS
Aplicația este foarte ușor de utilizat și bine concepută. Am găsit tot ce căutam până acum și am reușit să învăț multe din prezentări! Cu siguranță voi folosi aplicația pentru o temă la clasă! Și desigur, ajută mult ca sursă de inspirație.
Ștefan S
utilizator iOS
Această aplicație este super. Sunt atât de multe materiale de studiu și ajutor pentru elevi [...]. Materia mea mai problematică este franceza, de exemplu, și aplicația oferă foarte multe materiale ajutătoare. Mulțumită acestei aplicații, mi-am îmbunătățit franceza. Aș recomanda-o oricui.
Samantha Klich
utilizator Android
Wow, sunt cu adevărat impresionat. Am încercat aplicația pentru că am văzut-o promovată de multe ori și am rămas uimit. Aceasta este AJUTORUL de care ai nevoie pentru școală și, mai presus de toate, oferă atât de multe lucruri, precum exerciții și fișe de informații, care mi-au fost FOARTE de ajutor.
Anna
utilizator iOS
Te ajută să înveți foarte repede și ști foarte bine ce ai dori tu să înveți, vă recomand cu drag să încercați și să învățați mai repede.!
Thomas R
utilizator iOS
Foarte bună aplicația!!!! Mă ajută să înțeleg mult mai bine lecțiile și temele le termin mult mai repede.👍❤️
Paul P
utilizator Android
Te ajută foarte bine la teme acest robot,recomand!
David K
utilizator iOS
Aplicația e grozavă! Tot ce trebuie să fac este să introduc subiectul în bara de căutare și primesc răspunsul foarte rapid. Nu mai trebuie să mă uit la 10 videoclipuri pe YouTube pentru a înțelege ceva, deci îmi economisesc timpul. Super recomandat!
Sudenaz Ocak
utilizator Android
La școală eram chiar slab la matematică, dar datorită aplicației, mă descurc mai bine acum. Sunt atât de recunoscător că ai creat aplicația.
Greenlight Bonnie
utilizator Android
Această aplicație e super interesantă și seamănă ca tiktok-ul doar că tu ai doar teorie și explicații.
Karla S
utilizator Android
Nu mai trebuie să stau cu orele să învăț după caiet când pot să citesc de 2 ori lecțiile care apar aici și iau 10 la test ! Knowunity m-a ajutat să iau nota 9,20 la română ! Voi recomanda ff tare aceasta aplicate , să nu uităm ca are și chat GPT !👍🏻
Denisa B
utilizator iOS
CHESTIONARELE ȘI FLASHCARD-URILE SUNT ATÂT DE UTILE ȘI IUBESC Knowunity AI. E LITERALMENTE CA CHATGPT DOAR CĂ MAI DEȘTEPT!! M-A AJUTAT ȘI CU PROBLEMELE MELE CU MASCARA!! PLUS CU MATERIILE MELE ADEVĂRATE! EVIDENT 😍😁😲🤑💗✨🎀😮
Sarah L
utilizator Android
Este foarte bună te ajută la teme te face să înțelegi lecțiile am înțeles o lecție în 20 de minute i singură nu reușeam să o învăț dar cu Knowunity am învățat-o foarte ușor
Alessia V
utilizator iOS
Andreea Tancau
@andreeatancau
Matematica pentru Bacalaureat (M2) este un ghid esențial pentru elevii care se pregătesc pentru examenul de Bacalaureat la matematică. Acest manual conține toate noțiunile teoretice, exerciții de antrenament și modele de subiecte din programă, structurate pe capitole pentru o învățare... Afișează mai mult

Acces la toate documentele
Îmbunătățește notele tale!
Alătură-te milioanelor de elevi
Acest ghid pentru pregătirea examenului de Bacalaureat la Matematică M2 este conceput special pentru a-ți facilita învățarea și consolidarea cunoștințelor. Materialul include itemi de antrenament pentru verificarea cunoștințelor, 99 de teste pentru exersare și modele de subiecte date în perioada 2014-2019.
Ți-am pregătit un instrument complet care acoperă toată programa pentru profilul real, specializarea științe ale naturii, astfel încât să abordezi cu încredere examenul.
Sfat util: Rezolvă testele cronometrat pentru a te obișnui cu timpul limitat din examen și verifică-ți soluțiile cu răspunsurile oferite în manual.

Acces la toate documentele
Îmbunătățește notele tale!
Alătură-te milioanelor de elevi
Manualul este în conformitate cu programa oficială pentru examenul de bacalaureat la matematică, fiind elaborat de autori cu experiență în domeniu: Petre Năchilă, Ana Cârstoveanu și Ion Nica.
Editura NOMINA oferă acest ghid complet, disponibil prin comandă directă sau prin reprezentanții zonali din toată țara. Indiferent de regiunea în care te afli, poți obține cu ușurință acest material.
Manualul este structurat logic și ușor de parcurs, iar informațiile de contact pentru comandare sunt disponibile pentru orice nelămurire ai avea.
Important: Reține că toate drepturile aparțin Editurii Nomina și că materialul este protejat prin copyright, fiind actualizat pentru anul 2020.

Acces la toate documentele
Îmbunătățește notele tale!
Alătură-te milioanelor de elevi
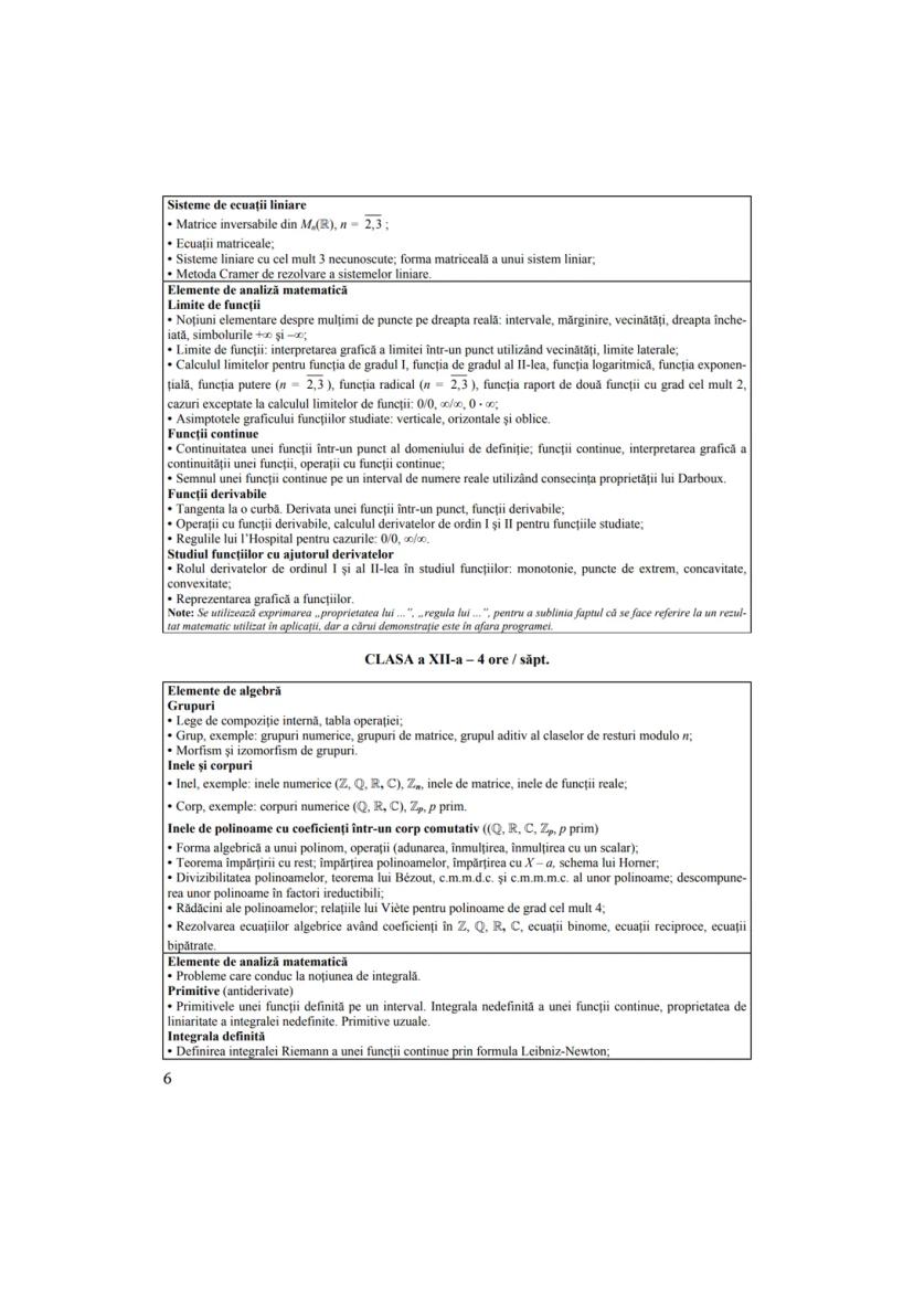
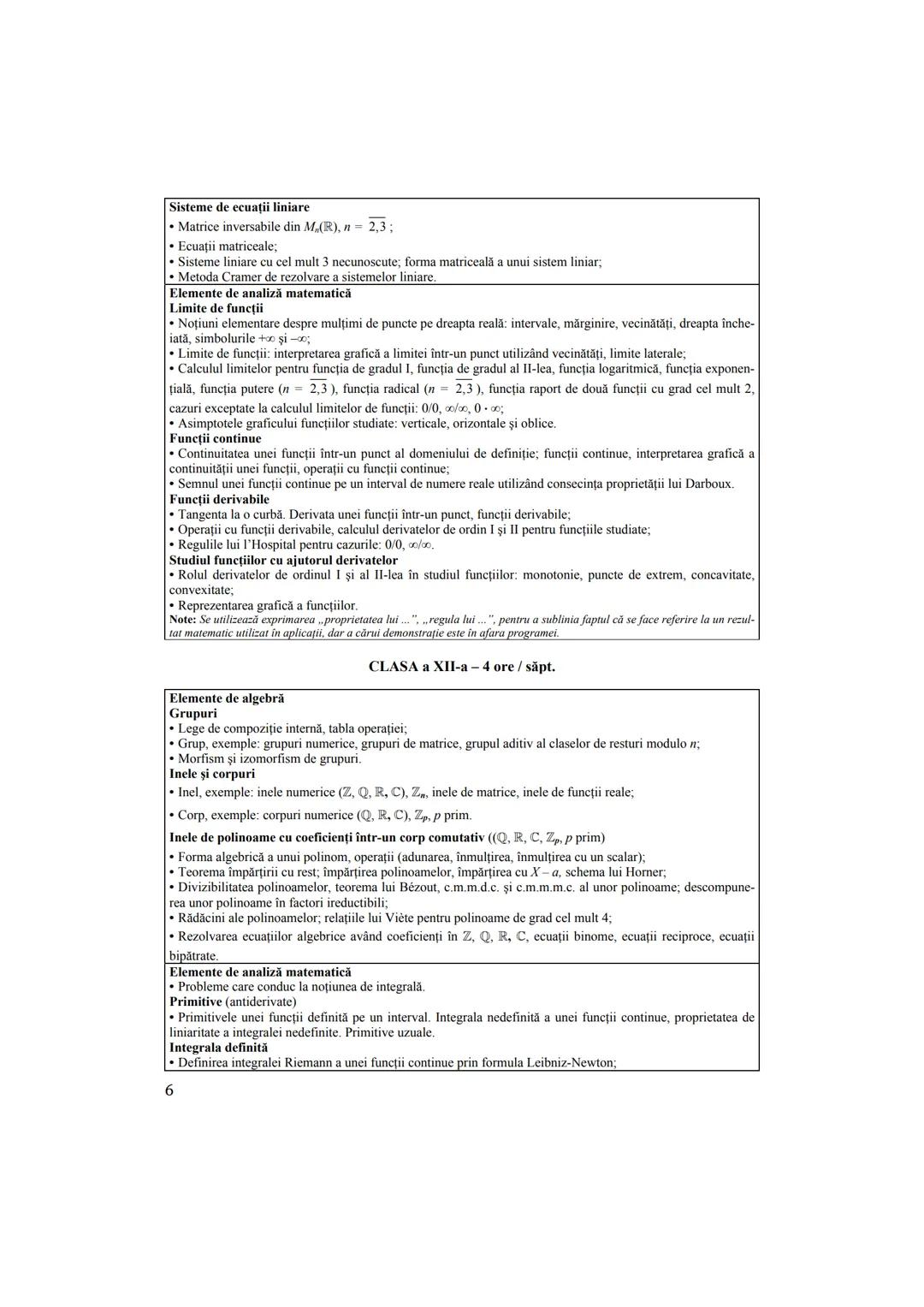
Programa pentru filiera teoretică, profilul real, specializarea științe ale naturii, include materia studiată în clasa a IX-a .
Mulțimi și elemente de logică matematică:
Șiruri:
Funcții și lecturi grafice:
De reținut: Pentru funcțiile de gradul I și II, trebuie să știi să interpretezi grafic proprietățile algebrice și să analizezi monotonia și semnul funcțiilor!

Acces la toate documentele
Îmbunătățește notele tale!
Alătură-te milioanelor de elevi
Funcții și ecuații:
Metode de numărare:
Matematici financiare:
Geometrie:
Elemente de calcul matriceal:
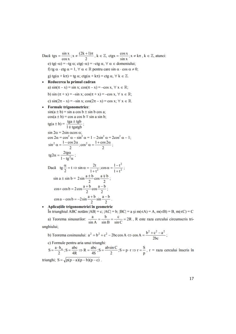
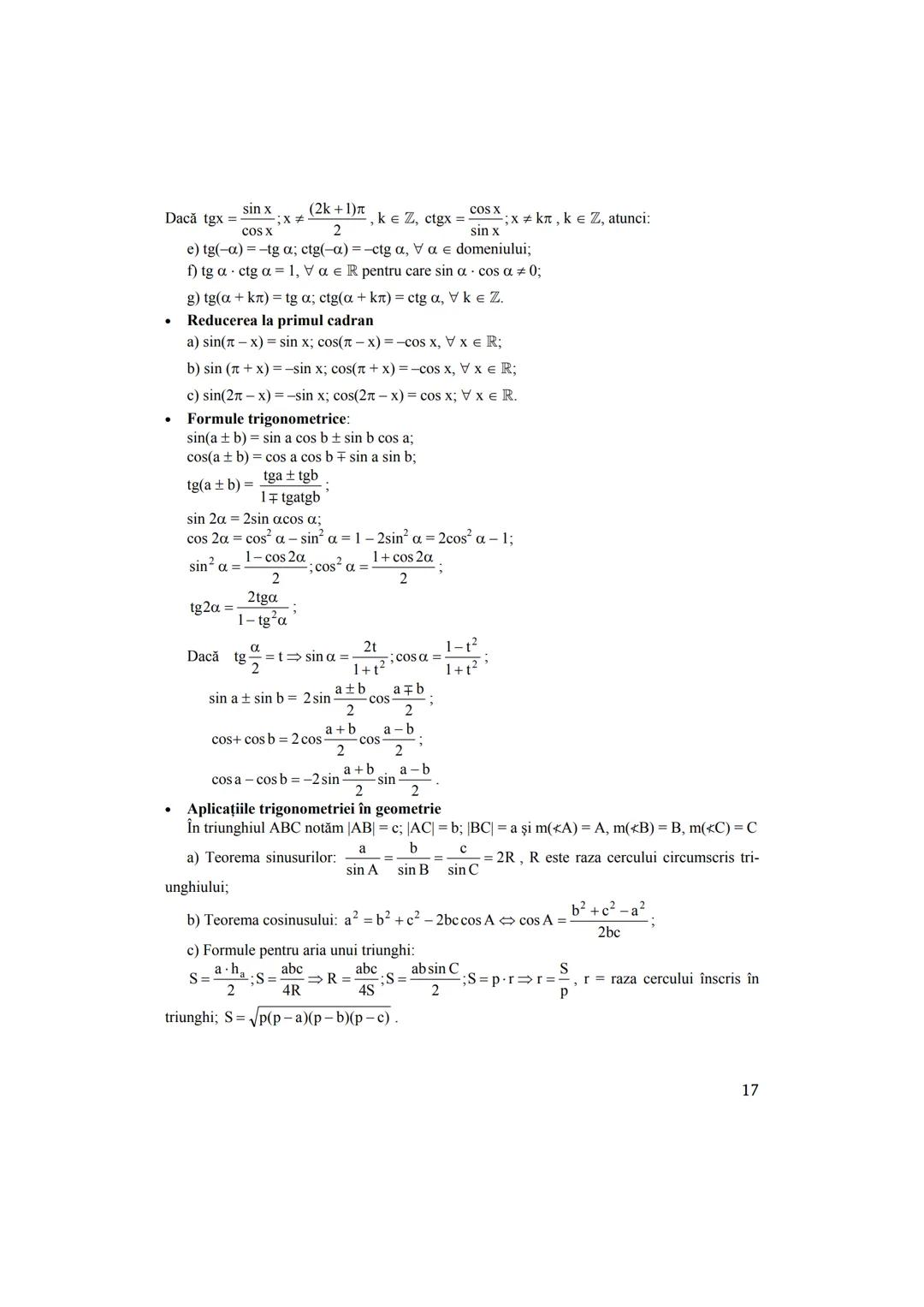
Atenție: La ecuațiile trigonometrice, trebuie să știi formele de bază: sin x = a, cos x = a, tg x = a, ctg x = a și ecuațiile care se reduc la acestea!

Acces la toate documentele
Îmbunătățește notele tale!
Alătură-te milioanelor de elevi
Inele și corpuri:
Polinoame:
Elemente de analiză matematică:
Aplicații ale integralei definite:
Sfat util: La integrala definită, exersează metodele de calcul pentru diversele tipuri de integrale, în special pentru integralele cu fracții raționale!

Acces la toate documentele
Îmbunătățește notele tale!
Alătură-te milioanelor de elevi
Funcția de gradul I :
Funcția de gradul II :
Important! Graficul funcției de gradul II este o parabolă cu vârful în V și cu axa de simetrie x = -b/2a.

Acces la toate documentele
Îmbunătățește notele tale!
Alătură-te milioanelor de elevi
Ecuații de gradul al II-lea :
Vectori în plan:
Vectori în reperul cartezian:
De reținut: Doi vectori sunt coliniari dacă și numai dacă există α ∈ ℝ astfel încât , sau echivalent .

Acces la toate documentele
Îmbunătățește notele tale!
Alătură-te milioanelor de elevi
Puteri cu exponent natural:
Puteri cu exponent întreg negativ:
Puteri cu exponent rațional:
Proprietăți ale puterilor cu exponent real:
Radicalul de ordin n:
Atenție la diferențele importante: La radical de ordin par, argumentul trebuie să fie pozitiv sau zero, iar rezultatul este mereu pozitiv. La radical de ordin impar, argumentul poate fi orice număr real, iar radicalul păstrează semnul argumentului.

Acces la toate documentele
Îmbunătățește notele tale!
Alătură-te milioanelor de elevi
Proprietăți ale radicalilor:
Pentru n par (n ≥ 2):
Pentru n impar (n ≥ 3):
Raționalizarea numitorului:
Logaritmi:
Tehnică utilă: La raționalizarea numitorului cu radicali multipli, folosește conjugata corespunzătoare pentru a elimina radicalii din numitor. De exemplu, pentru ³√a ± ³√b, înmulțește cu ³√a² ∓ ³√ab + ³√b².

Acces la toate documentele
Îmbunătățește notele tale!
Alătură-te milioanelor de elevi
SUBIECTUL al III-lea (30 de puncte)
Se consideră funcția f:ℝ→ℝ, f(x)=x²-x. a) Arătați că f'(x)=2x-1, x∈ℝ. b) Calculați lim(x→∞) c) Determinați ecuația tangentei la graficul funcției în punctul de abscisă x₀=1.
Se consideră funcția f:(0,+∞)→ℝ, f(x)=2x+1/x a) Arătați că ∫₁^e dx=1. b) Arătați că funcția F:(0,+∞)→ℝ, F(x)=x²+ln x+2 este o primitivă a funcției f. c) Arătați că suprafața plană delimitată de graficul funcției f, axa Ox și dreptele de ecuații x=1 și x=2 are aria strict mai mică decât 4.
Sfat pentru rezolvare: La punctul 1, folosește definițiile derivatei, limitei și ecuației tangentei. La punctul 2, aplică proprietățile integralei definite și formula ariei (∫ f(x)dx). Nu uita că pentru a demonstra că aria este mai mică decât 4, poți folosi majorări.

Acces la toate documentele
Îmbunătățește notele tale!
Alătură-te milioanelor de elevi

Acces la toate documentele
Îmbunătățește notele tale!
Alătură-te milioanelor de elevi

Acces la toate documentele
Îmbunătățește notele tale!
Alătură-te milioanelor de elevi

Acces la toate documentele
Îmbunătățește notele tale!
Alătură-te milioanelor de elevi

Acces la toate documentele
Îmbunătățește notele tale!
Alătură-te milioanelor de elevi

Acces la toate documentele
Îmbunătățește notele tale!
Alătură-te milioanelor de elevi

Acces la toate documentele
Îmbunătățește notele tale!
Alătură-te milioanelor de elevi

Acces la toate documentele
Îmbunătățește notele tale!
Alătură-te milioanelor de elevi

Acces la toate documentele
Îmbunătățește notele tale!
Alătură-te milioanelor de elevi

Acces la toate documentele
Îmbunătățește notele tale!
Alătură-te milioanelor de elevi

Acces la toate documentele
Îmbunătățește notele tale!
Alătură-te milioanelor de elevi

Acces la toate documentele
Îmbunătățește notele tale!
Alătură-te milioanelor de elevi

Acces la toate documentele
Îmbunătățește notele tale!
Alătură-te milioanelor de elevi
Companionul nostru AI este creat special pentru nevoile studenților. Bazându-ne pe milioanele de materiale de pe platformă, putem oferi răspunsuri exacte și relevante pentru studenți. Dar nu este vorba doar despre răspunsuri, companionul este mai ales despre ghidarea studenților prin provocările zilnice de învățare, cu planuri de studiu personalizate, chestionare sau conținuturi în chat și personalizare 100% bazată pe abilitățile și evoluțiile studenților.
Aplicația este disponibilă în Google Play Store și Apple App Store.
Da! Bucură-te de access la materiale de studiu, conectează-te cu alți elevi, și primește ajutor instant - toate acestea la un click distanță. În plus, câștigă puncte ca să deblochezi mai multe funcționalități!
12
Instrumente inteligente NOU
Transformă această notiță în: ✓ 50+ întrebări de exersare ✓ Flashcard-uri interactive ✓ Examen de practică complet ✓ Planuri de eseu
formulele pentru bac
Pt S1 si S3 ex2
App Store
Google Play
Aplicația este foarte ușor de utilizat și bine concepută. Am găsit tot ce căutam până acum și am reușit să învăț multe din prezentări! Cu siguranță voi folosi aplicația pentru o temă la clasă! Și desigur, ajută mult ca sursă de inspirație.
Ștefan S
utilizator iOS
Această aplicație este super. Sunt atât de multe materiale de studiu și ajutor pentru elevi [...]. Materia mea mai problematică este franceza, de exemplu, și aplicația oferă foarte multe materiale ajutătoare. Mulțumită acestei aplicații, mi-am îmbunătățit franceza. Aș recomanda-o oricui.
Samantha Klich
utilizator Android
Wow, sunt cu adevărat impresionat. Am încercat aplicația pentru că am văzut-o promovată de multe ori și am rămas uimit. Aceasta este AJUTORUL de care ai nevoie pentru școală și, mai presus de toate, oferă atât de multe lucruri, precum exerciții și fișe de informații, care mi-au fost FOARTE de ajutor.
Anna
utilizator iOS
Te ajută să înveți foarte repede și ști foarte bine ce ai dori tu să înveți, vă recomand cu drag să încercați și să învățați mai repede.!
Thomas R
utilizator iOS
Foarte bună aplicația!!!! Mă ajută să înțeleg mult mai bine lecțiile și temele le termin mult mai repede.👍❤️
Paul P
utilizator Android
Te ajută foarte bine la teme acest robot,recomand!
David K
utilizator iOS
Aplicația e grozavă! Tot ce trebuie să fac este să introduc subiectul în bara de căutare și primesc răspunsul foarte rapid. Nu mai trebuie să mă uit la 10 videoclipuri pe YouTube pentru a înțelege ceva, deci îmi economisesc timpul. Super recomandat!
Sudenaz Ocak
utilizator Android
La școală eram chiar slab la matematică, dar datorită aplicației, mă descurc mai bine acum. Sunt atât de recunoscător că ai creat aplicația.
Greenlight Bonnie
utilizator Android
Această aplicație e super interesantă și seamănă ca tiktok-ul doar că tu ai doar teorie și explicații.
Karla S
utilizator Android
Nu mai trebuie să stau cu orele să învăț după caiet când pot să citesc de 2 ori lecțiile care apar aici și iau 10 la test ! Knowunity m-a ajutat să iau nota 9,20 la română ! Voi recomanda ff tare aceasta aplicate , să nu uităm ca are și chat GPT !👍🏻
Denisa B
utilizator iOS
CHESTIONARELE ȘI FLASHCARD-URILE SUNT ATÂT DE UTILE ȘI IUBESC Knowunity AI. E LITERALMENTE CA CHATGPT DOAR CĂ MAI DEȘTEPT!! M-A AJUTAT ȘI CU PROBLEMELE MELE CU MASCARA!! PLUS CU MATERIILE MELE ADEVĂRATE! EVIDENT 😍😁😲🤑💗✨🎀😮
Sarah L
utilizator Android
Este foarte bună te ajută la teme te face să înțelegi lecțiile am înțeles o lecție în 20 de minute i singură nu reușeam să o învăț dar cu Knowunity am învățat-o foarte ușor
Alessia V
utilizator iOS
Aplicația este foarte ușor de utilizat și bine concepută. Am găsit tot ce căutam până acum și am reușit să învăț multe din prezentări! Cu siguranță voi folosi aplicația pentru o temă la clasă! Și desigur, ajută mult ca sursă de inspirație.
Ștefan S
utilizator iOS
Această aplicație este super. Sunt atât de multe materiale de studiu și ajutor pentru elevi [...]. Materia mea mai problematică este franceza, de exemplu, și aplicația oferă foarte multe materiale ajutătoare. Mulțumită acestei aplicații, mi-am îmbunătățit franceza. Aș recomanda-o oricui.
Samantha Klich
utilizator Android
Wow, sunt cu adevărat impresionat. Am încercat aplicația pentru că am văzut-o promovată de multe ori și am rămas uimit. Aceasta este AJUTORUL de care ai nevoie pentru școală și, mai presus de toate, oferă atât de multe lucruri, precum exerciții și fișe de informații, care mi-au fost FOARTE de ajutor.
Anna
utilizator iOS
Te ajută să înveți foarte repede și ști foarte bine ce ai dori tu să înveți, vă recomand cu drag să încercați și să învățați mai repede.!
Thomas R
utilizator iOS
Foarte bună aplicația!!!! Mă ajută să înțeleg mult mai bine lecțiile și temele le termin mult mai repede.👍❤️
Paul P
utilizator Android
Te ajută foarte bine la teme acest robot,recomand!
David K
utilizator iOS
Aplicația e grozavă! Tot ce trebuie să fac este să introduc subiectul în bara de căutare și primesc răspunsul foarte rapid. Nu mai trebuie să mă uit la 10 videoclipuri pe YouTube pentru a înțelege ceva, deci îmi economisesc timpul. Super recomandat!
Sudenaz Ocak
utilizator Android
La școală eram chiar slab la matematică, dar datorită aplicației, mă descurc mai bine acum. Sunt atât de recunoscător că ai creat aplicația.
Greenlight Bonnie
utilizator Android
Această aplicație e super interesantă și seamănă ca tiktok-ul doar că tu ai doar teorie și explicații.
Karla S
utilizator Android
Nu mai trebuie să stau cu orele să învăț după caiet când pot să citesc de 2 ori lecțiile care apar aici și iau 10 la test ! Knowunity m-a ajutat să iau nota 9,20 la română ! Voi recomanda ff tare aceasta aplicate , să nu uităm ca are și chat GPT !👍🏻
Denisa B
utilizator iOS
CHESTIONARELE ȘI FLASHCARD-URILE SUNT ATÂT DE UTILE ȘI IUBESC Knowunity AI. E LITERALMENTE CA CHATGPT DOAR CĂ MAI DEȘTEPT!! M-A AJUTAT ȘI CU PROBLEMELE MELE CU MASCARA!! PLUS CU MATERIILE MELE ADEVĂRATE! EVIDENT 😍😁😲🤑💗✨🎀😮
Sarah L
utilizator Android
Este foarte bună te ajută la teme te face să înțelegi lecțiile am înțeles o lecție în 20 de minute i singură nu reușeam să o învăț dar cu Knowunity am învățat-o foarte ușor
Alessia V
utilizator iOS