Mecanica reprezintă partea din fizică ce studiază mișcarea mecanică a... Afișează mai mult
Înscrie-te pentru a vedea CONȚINUTULE gratuit!
Acces la toate documentele
Îmbunătățește notele tale!
Alătură-te milioanelor de elevi
Knowunity AI
Mai mult
Materii
Triangle Congruence and Similarity Theorems
Triangle Properties and Classification
Linear Equations and Graphs
Geometric Angle Relationships
Trigonometric Functions and Identities
Equation Solving Techniques
Circle Geometry Fundamentals
Division Operations and Methods
Basic Differentiation Rules
Exponent and Logarithm Properties
Afișează toate materiile
Human Organ Systems
Reproductive Cell Cycles
Biological Sciences Subdisciplines
Cellular Energy Metabolism
Autotrophic Energy Processes
Inheritance Patterns and Principles
Biomolecular Structure and Organization
Cell Cycle and Division Mechanics
Cellular Organization and Development
Biological Structural Organization
Afișează toate materiile
Chemical Sciences and Applications
Atomic Structure and Composition
Molecular Electron Structure Representation
Atomic Electron Behavior
Matter Properties and Water
Mole Concept and Calculations
Gas Laws and Behavior
Periodic Table Organization
Chemical Thermodynamics Fundamentals
Chemical Bond Types and Properties
Afișează toate materiile
European Renaissance and Enlightenment
European Cultural Movements 800-1920
American Revolution Era 1763-1797
American Civil War 1861-1865
Global Imperial Systems
Mongol and Chinese Dynasties
U.S. Presidents and World Leaders
Historical Sources and Documentation
World Wars Era and Impact
World Religious Systems
Afișează toate materiile
Classic and Contemporary Novels
Literary Character Analysis
Rhetorical Theory and Practice
Classic Literary Narratives
Reading Analysis and Interpretation
Narrative Structure and Techniques
English Language Components
Influential English-Language Authors
Basic Sentence Structure
Narrative Voice and Perspective
Afișează toate materiile
196
•
Actualizat Mar 29, 2026
•
Bianca
@biancaaaaaaaaa
Mecanica reprezintă partea din fizică ce studiază mișcarea mecanică a... Afișează mai mult












Mecanica studiază mișcarea mecanică, un fenomen observat de om încă din timpuri străvechi. Fenomenele naturale precum căderea pietrelor, cursurile de apă sau balansul copacilor au constituit baza primelor observații ce au dus la dezvoltarea mecanicii.
Inventarea primelor mecanisme simple - pârghia, scripetele, planul înclinat sau șurubul - s-a bazat pe cunoștințele empirice acumulate din observarea naturii. Mecanica clasică sau newtoniană a fost formulată de Isaac Newton în 1687, când a prezentat cele trei legi fundamentale ale mecanicii și legea atracției universale.
Mecanica se împarte în trei capitole importante:
💡 Repausul este doar un caz particular de mișcare! Nu există repaus absolut - un corp poate fi în repaus față de un obiect, dar în mișcare față de altul.
Pentru studierea oricărui fenomen din mecanică este esențial să stabilim un sistem de referință - un ansamblu format dintr-un corp fix (reperul), un instrument pentru măsurarea timpului și unul pentru măsurarea distanțelor.

Din punct de vedere matematic, sistemul de referință se reprezintă printr-un ansamblu de trei axe concurente numite axe de coordonate. Punctul de intersecție al acestora reprezintă originea sistemului, iar proiecțiile unui punct P pe aceste axe reprezintă coordonatele sale matematice.
Modelul punctului material este cel mai simplu model din mecanică. Acesta poate fi folosit pentru studierea mișcării de translație a unui obiect ale cărui dimensiuni sunt mult mai mici decât distanțele parcurse. În acest model, considerăm că întreaga masă a corpului este concentrată într-un singur punct, de obicei centrul său de greutate.
Chiar și corpuri de dimensiuni gigantice (planete, stele) pot fi tratate ca puncte materiale când studiăm mișcarea lor la scară astronomică. La fel, particule microscopice precum atomii sau electronii pot fi modelate ca puncte materiale.
Traiectoria reprezintă drumul parcurs de un mobil în spațiu și se reprezintă grafic printr-o linie continuă. Un exemplu de sistem de referință pe care îl folosim zilnic este harta geografică, unde cursurile de apă, drumurile sau căile ferate reprezintă traiectorii.
💡 Coordonatele geografice utilizează latitudinea și longitudinea pentru a determina poziția unui punct pe suprafața Pământului. Acest sistem stă la baza tehnologiei moderne GPS (Global Positioning System).
Legea de mișcare este funcția ce descrie dependența coordonatei spațiale de timp: . Aceasta poate fi exprimată pe componente: , , .

Vectorul de poziție arată poziția unui corp în spațiu față de un sistem de referință. Pentru o traiectorie în plan XOY, vectorii și reprezintă vectori de poziție pentru punctele A și B.
Vectorul deplasare indică schimbarea de poziție a unui corp și se calculează ca diferența dintre vectorii de poziție: . Este important să facem distincția între vectorul deplasare și deplasarea propriu-zisă (arcul AB de pe traiectorie).
Viteza este mărimea fizică asociată proprietății corpurilor de a fi în mișcare. Matematic, viteza se definește ca raportul dintre spațiul parcurs și intervalul de timp:
Unitatea de măsură în SI pentru viteză este m/s.
Avem două tipuri importante de viteză:
💡 Vectorul viteză momentană este tangent la traiectorie în orice punct, în timp ce vectorul viteză medie are direcția și sensul vectorului deplasare.
Pentru mișcarea unidirecțională (în linie dreaptă), vectorul viteză momentană are aceeași direcție și sens cu vectorul viteză medie, în orice punct al traiectoriei.

Accelerația este mărimea fizică asociată proprietății corpurilor de a-și modifica viteza în intervale de timp diferite. Matematic, accelerația se definește ca:
Unitatea de măsură în SI pentru accelerație este m/s².
Există două tipuri de accelerație:
Vectorul accelerație momentană este orientat spre interiorul traiectoriei, spre centrul de curbură. Important de reținut: dacă viteza este constantă , accelerația este zero .
Clasificarea mișcărilor punctului material se face după două criterii:
După forma traiectoriei:
După dependența modulului vitezei de timp:
💡 Când un corp participă simultan la mai multe mișcări, deplasările și vitezele se compun după regula de compunere a vectorilor.
De exemplu, pentru un om care traversează un râu cu barca, viteza rezultantă este suma vectorială a vitezei bărcii față de apă și viteza de curgere a apei: . Deși barcagiul vâslește perpendicular pe maluri, traiectoria reală va fi oblică din cauza curentului apei.

Pentru mișcarea circulară, viteza este o mărime vectorială și se poate exprima ca un produs vectorial:
Această relație ne arată că cei trei vectori $\vec{v}$, $\vec{\omega}$ și $\vec{r}$ sunt perpendiculari, fiecare pe planul format de ceilalți doi. Vectorul viteză este perpendicular pe planul vectorilor și .
Pentru mișcarea circulară uniformă avem relația:
unde T este perioada mișcării.
Accelerația centripetă apare în mișcarea circulară uniformă. Deși modulul vitezei rămâne constant $|\vec{v}| = v = const.$, direcția și sensul vectorului viteză se modifică continuu, ceea ce determină apariția accelerației.
Accelerația centripetă se calculează:
Vectorial, aceasta se scrie:
💡 Vectorul accelerație centripetă este orientat spre centrul traiectoriei, pe direcția razei cercului, dar în sens opus acesteia. De aceea se numește "centripetă" (care tinde spre centru).
Accelerația centripetă se mai numește și accelerație normală, deoarece este perpendiculară (normală) pe vectorul viteză. Pentru ca un corp să execute o mișcare circulară uniformă, este necesar să i se imprime o accelerație constantă în modul și orientată radial spre centrul cercului.

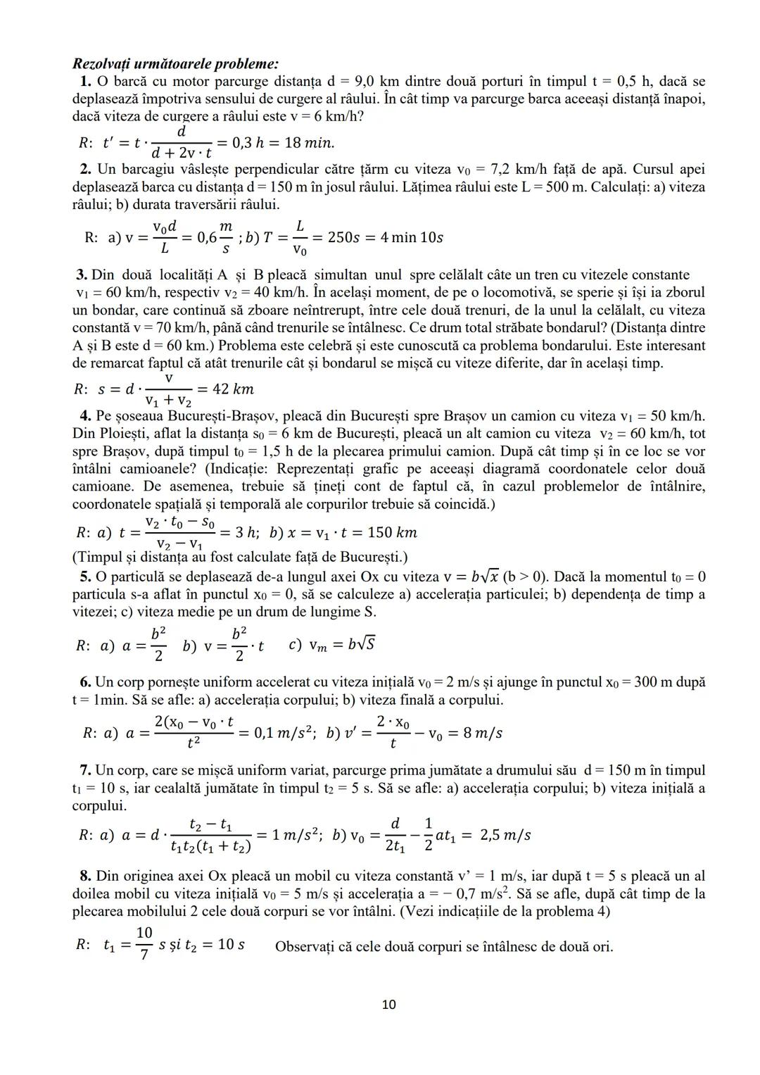
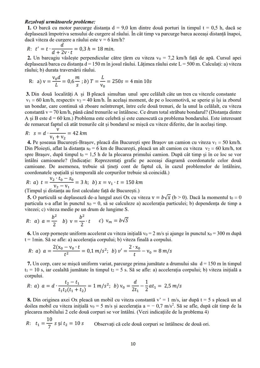
Iată câteva tipuri de probleme pe care le poți rezolva aplicând conceptele de cinematică:
Probleme cu deplasare pe un râu: O barcă traversează un râu cu curent. Trebuie să calculezi timpul de traversare sau viteza curentului ținând cont că mișcarea rezultă din compunerea vectorială a vitezelor.
Probleme de întâlnire: Două mobile pornesc din locuri diferite și trebuie să determini când și unde se vor întâlni. Este important să reprezinți grafic coordonatele și să ții cont că, la întâlnire, coordonatele spațială și temporală trebuie să coincidă.
Probleme cu mișcare uniform variată: Trebuie să calculezi accelerația, viteza finală sau viteza medie pe baza datelor despre distanțe și timpi.
Probleme cu mișcare pe traiectorii complexe: Pot implica compunerea mai multor mișcări, cum este celebra "problemă a bondarului" care zboară neîntrerupt între două trenuri care se apropie.
💡 La rezolvarea problemelor de cinematică, desenează întotdeauna un grafic pentru a vizualiza mai ușor situația și stabilește cu atenție sistemul de referință. Verifică dacă rezultatele obținute au sens fizic!
Pentru probleme de mișcare uniform variată, folosește formule precum:
Exercițiile propuse îți oferă ocazia să aplici toate conceptele învățate despre mișcarea mecanică în diverse situații practice.





Companionul nostru AI este creat special pentru nevoile studenților. Bazându-ne pe milioanele de materiale de pe platformă, putem oferi răspunsuri exacte și relevante pentru studenți. Dar nu este vorba doar despre răspunsuri, companionul este mai ales despre ghidarea studenților prin provocările zilnice de învățare, cu planuri de studiu personalizate, chestionare sau conținuturi în chat și personalizare 100% bazată pe abilitățile și evoluțiile studenților.
Aplicația este disponibilă în Google Play Store și Apple App Store.
Da! Bucură-te de access la materiale de studiu, conectează-te cu alți elevi, și primește ajutor instant - toate acestea la un click distanță. În plus, câștigă puncte ca să deblochezi mai multe funcționalități!
App Store
Google Play
Aplicația este foarte ușor de utilizat și bine concepută. Am găsit tot ce căutam până acum și am reușit să învăț multe din prezentări! Cu siguranță voi folosi aplicația pentru o temă la clasă! Și desigur, ajută mult ca sursă de inspirație.
Ștefan S
utilizator iOS
Această aplicație este super. Sunt atât de multe materiale de studiu și ajutor pentru elevi [...]. Materia mea mai problematică este franceza, de exemplu, și aplicația oferă foarte multe materiale ajutătoare. Mulțumită acestei aplicații, mi-am îmbunătățit franceza. Aș recomanda-o oricui.
Samantha Klich
utilizator Android
Wow, sunt cu adevărat impresionat. Am încercat aplicația pentru că am văzut-o promovată de multe ori și am rămas uimit. Aceasta este AJUTORUL de care ai nevoie pentru școală și, mai presus de toate, oferă atât de multe lucruri, precum exerciții și fișe de informații, care mi-au fost FOARTE de ajutor.
Anna
utilizator iOS
Te ajută să înveți foarte repede și ști foarte bine ce ai dori tu să înveți, vă recomand cu drag să încercați și să învățați mai repede.!
Thomas R
utilizator iOS
Foarte bună aplicația!!!! Mă ajută să înțeleg mult mai bine lecțiile și temele le termin mult mai repede.👍❤️
Paul P
utilizator Android
Te ajută foarte bine la teme acest robot,recomand!
David K
utilizator iOS
Aplicația e grozavă! Tot ce trebuie să fac este să introduc subiectul în bara de căutare și primesc răspunsul foarte rapid. Nu mai trebuie să mă uit la 10 videoclipuri pe YouTube pentru a înțelege ceva, deci îmi economisesc timpul. Super recomandat!
Sudenaz Ocak
utilizator Android
La școală eram chiar slab la matematică, dar datorită aplicației, mă descurc mai bine acum. Sunt atât de recunoscător că ai creat aplicația.
Greenlight Bonnie
utilizator Android
Această aplicație e super interesantă și seamănă ca tiktok-ul doar că tu ai doar teorie și explicații.
Karla S
utilizator Android
Nu mai trebuie să stau cu orele să învăț după caiet când pot să citesc de 2 ori lecțiile care apar aici și iau 10 la test ! Knowunity m-a ajutat să iau nota 9,20 la română ! Voi recomanda ff tare aceasta aplicate , să nu uităm ca are și chat GPT !👍🏻
Denisa B
utilizator iOS
CHESTIONARELE ȘI FLASHCARD-URILE SUNT ATÂT DE UTILE ȘI IUBESC Knowunity AI. E LITERALMENTE CA CHATGPT DOAR CĂ MAI DEȘTEPT!! M-A AJUTAT ȘI CU PROBLEMELE MELE CU MASCARA!! PLUS CU MATERIILE MELE ADEVĂRATE! EVIDENT 😍😁😲🤑💗✨🎀😮
Sarah L
utilizator Android
Este foarte bună te ajută la teme te face să înțelegi lecțiile am înțeles o lecție în 20 de minute i singură nu reușeam să o învăț dar cu Knowunity am învățat-o foarte ușor
Alessia V
utilizator iOS
Aplicația este foarte ușor de utilizat și bine concepută. Am găsit tot ce căutam până acum și am reușit să învăț multe din prezentări! Cu siguranță voi folosi aplicația pentru o temă la clasă! Și desigur, ajută mult ca sursă de inspirație.
Ștefan S
utilizator iOS
Această aplicație este super. Sunt atât de multe materiale de studiu și ajutor pentru elevi [...]. Materia mea mai problematică este franceza, de exemplu, și aplicația oferă foarte multe materiale ajutătoare. Mulțumită acestei aplicații, mi-am îmbunătățit franceza. Aș recomanda-o oricui.
Samantha Klich
utilizator Android
Wow, sunt cu adevărat impresionat. Am încercat aplicația pentru că am văzut-o promovată de multe ori și am rămas uimit. Aceasta este AJUTORUL de care ai nevoie pentru școală și, mai presus de toate, oferă atât de multe lucruri, precum exerciții și fișe de informații, care mi-au fost FOARTE de ajutor.
Anna
utilizator iOS
Te ajută să înveți foarte repede și ști foarte bine ce ai dori tu să înveți, vă recomand cu drag să încercați și să învățați mai repede.!
Thomas R
utilizator iOS
Foarte bună aplicația!!!! Mă ajută să înțeleg mult mai bine lecțiile și temele le termin mult mai repede.👍❤️
Paul P
utilizator Android
Te ajută foarte bine la teme acest robot,recomand!
David K
utilizator iOS
Aplicația e grozavă! Tot ce trebuie să fac este să introduc subiectul în bara de căutare și primesc răspunsul foarte rapid. Nu mai trebuie să mă uit la 10 videoclipuri pe YouTube pentru a înțelege ceva, deci îmi economisesc timpul. Super recomandat!
Sudenaz Ocak
utilizator Android
La școală eram chiar slab la matematică, dar datorită aplicației, mă descurc mai bine acum. Sunt atât de recunoscător că ai creat aplicația.
Greenlight Bonnie
utilizator Android
Această aplicație e super interesantă și seamănă ca tiktok-ul doar că tu ai doar teorie și explicații.
Karla S
utilizator Android
Nu mai trebuie să stau cu orele să învăț după caiet când pot să citesc de 2 ori lecțiile care apar aici și iau 10 la test ! Knowunity m-a ajutat să iau nota 9,20 la română ! Voi recomanda ff tare aceasta aplicate , să nu uităm ca are și chat GPT !👍🏻
Denisa B
utilizator iOS
CHESTIONARELE ȘI FLASHCARD-URILE SUNT ATÂT DE UTILE ȘI IUBESC Knowunity AI. E LITERALMENTE CA CHATGPT DOAR CĂ MAI DEȘTEPT!! M-A AJUTAT ȘI CU PROBLEMELE MELE CU MASCARA!! PLUS CU MATERIILE MELE ADEVĂRATE! EVIDENT 😍😁😲🤑💗✨🎀😮
Sarah L
utilizator Android
Este foarte bună te ajută la teme te face să înțelegi lecțiile am înțeles o lecție în 20 de minute i singură nu reușeam să o învăț dar cu Knowunity am învățat-o foarte ușor
Alessia V
utilizator iOS
Bianca
@biancaaaaaaaaa
Mecanica reprezintă partea din fizică ce studiază mișcarea mecanică a corpurilor, prima și cea mai simplă formă de mișcare observată de om. Dezvoltată de Isaac Newton și expusă în lucrarea sa "Principiile matematice ale filosofiei naturii" (1687), mecanica clasică se... Afișează mai mult

Acces la toate documentele
Îmbunătățește notele tale!
Alătură-te milioanelor de elevi
Mecanica studiază mișcarea mecanică, un fenomen observat de om încă din timpuri străvechi. Fenomenele naturale precum căderea pietrelor, cursurile de apă sau balansul copacilor au constituit baza primelor observații ce au dus la dezvoltarea mecanicii.
Inventarea primelor mecanisme simple - pârghia, scripetele, planul înclinat sau șurubul - s-a bazat pe cunoștințele empirice acumulate din observarea naturii. Mecanica clasică sau newtoniană a fost formulată de Isaac Newton în 1687, când a prezentat cele trei legi fundamentale ale mecanicii și legea atracției universale.
Mecanica se împarte în trei capitole importante:
💡 Repausul este doar un caz particular de mișcare! Nu există repaus absolut - un corp poate fi în repaus față de un obiect, dar în mișcare față de altul.
Pentru studierea oricărui fenomen din mecanică este esențial să stabilim un sistem de referință - un ansamblu format dintr-un corp fix (reperul), un instrument pentru măsurarea timpului și unul pentru măsurarea distanțelor.

Acces la toate documentele
Îmbunătățește notele tale!
Alătură-te milioanelor de elevi
Din punct de vedere matematic, sistemul de referință se reprezintă printr-un ansamblu de trei axe concurente numite axe de coordonate. Punctul de intersecție al acestora reprezintă originea sistemului, iar proiecțiile unui punct P pe aceste axe reprezintă coordonatele sale matematice.
Modelul punctului material este cel mai simplu model din mecanică. Acesta poate fi folosit pentru studierea mișcării de translație a unui obiect ale cărui dimensiuni sunt mult mai mici decât distanțele parcurse. În acest model, considerăm că întreaga masă a corpului este concentrată într-un singur punct, de obicei centrul său de greutate.
Chiar și corpuri de dimensiuni gigantice (planete, stele) pot fi tratate ca puncte materiale când studiăm mișcarea lor la scară astronomică. La fel, particule microscopice precum atomii sau electronii pot fi modelate ca puncte materiale.
Traiectoria reprezintă drumul parcurs de un mobil în spațiu și se reprezintă grafic printr-o linie continuă. Un exemplu de sistem de referință pe care îl folosim zilnic este harta geografică, unde cursurile de apă, drumurile sau căile ferate reprezintă traiectorii.
💡 Coordonatele geografice utilizează latitudinea și longitudinea pentru a determina poziția unui punct pe suprafața Pământului. Acest sistem stă la baza tehnologiei moderne GPS (Global Positioning System).
Legea de mișcare este funcția ce descrie dependența coordonatei spațiale de timp: . Aceasta poate fi exprimată pe componente: , , .

Acces la toate documentele
Îmbunătățește notele tale!
Alătură-te milioanelor de elevi
Vectorul de poziție arată poziția unui corp în spațiu față de un sistem de referință. Pentru o traiectorie în plan XOY, vectorii și reprezintă vectori de poziție pentru punctele A și B.
Vectorul deplasare indică schimbarea de poziție a unui corp și se calculează ca diferența dintre vectorii de poziție: . Este important să facem distincția între vectorul deplasare și deplasarea propriu-zisă (arcul AB de pe traiectorie).
Viteza este mărimea fizică asociată proprietății corpurilor de a fi în mișcare. Matematic, viteza se definește ca raportul dintre spațiul parcurs și intervalul de timp:
Unitatea de măsură în SI pentru viteză este m/s.
Avem două tipuri importante de viteză:
💡 Vectorul viteză momentană este tangent la traiectorie în orice punct, în timp ce vectorul viteză medie are direcția și sensul vectorului deplasare.
Pentru mișcarea unidirecțională (în linie dreaptă), vectorul viteză momentană are aceeași direcție și sens cu vectorul viteză medie, în orice punct al traiectoriei.

Acces la toate documentele
Îmbunătățește notele tale!
Alătură-te milioanelor de elevi
Accelerația este mărimea fizică asociată proprietății corpurilor de a-și modifica viteza în intervale de timp diferite. Matematic, accelerația se definește ca:
Unitatea de măsură în SI pentru accelerație este m/s².
Există două tipuri de accelerație:
Vectorul accelerație momentană este orientat spre interiorul traiectoriei, spre centrul de curbură. Important de reținut: dacă viteza este constantă , accelerația este zero .
Clasificarea mișcărilor punctului material se face după două criterii:
După forma traiectoriei:
După dependența modulului vitezei de timp:
💡 Când un corp participă simultan la mai multe mișcări, deplasările și vitezele se compun după regula de compunere a vectorilor.
De exemplu, pentru un om care traversează un râu cu barca, viteza rezultantă este suma vectorială a vitezei bărcii față de apă și viteza de curgere a apei: . Deși barcagiul vâslește perpendicular pe maluri, traiectoria reală va fi oblică din cauza curentului apei.

Acces la toate documentele
Îmbunătățește notele tale!
Alătură-te milioanelor de elevi
Pentru mișcarea circulară, viteza este o mărime vectorială și se poate exprima ca un produs vectorial:
Această relație ne arată că cei trei vectori $\vec{v}$, $\vec{\omega}$ și $\vec{r}$ sunt perpendiculari, fiecare pe planul format de ceilalți doi. Vectorul viteză este perpendicular pe planul vectorilor și .
Pentru mișcarea circulară uniformă avem relația:
unde T este perioada mișcării.
Accelerația centripetă apare în mișcarea circulară uniformă. Deși modulul vitezei rămâne constant $|\vec{v}| = v = const.$, direcția și sensul vectorului viteză se modifică continuu, ceea ce determină apariția accelerației.
Accelerația centripetă se calculează:
Vectorial, aceasta se scrie:
💡 Vectorul accelerație centripetă este orientat spre centrul traiectoriei, pe direcția razei cercului, dar în sens opus acesteia. De aceea se numește "centripetă" (care tinde spre centru).
Accelerația centripetă se mai numește și accelerație normală, deoarece este perpendiculară (normală) pe vectorul viteză. Pentru ca un corp să execute o mișcare circulară uniformă, este necesar să i se imprime o accelerație constantă în modul și orientată radial spre centrul cercului.

Acces la toate documentele
Îmbunătățește notele tale!
Alătură-te milioanelor de elevi
Iată câteva tipuri de probleme pe care le poți rezolva aplicând conceptele de cinematică:
Probleme cu deplasare pe un râu: O barcă traversează un râu cu curent. Trebuie să calculezi timpul de traversare sau viteza curentului ținând cont că mișcarea rezultă din compunerea vectorială a vitezelor.
Probleme de întâlnire: Două mobile pornesc din locuri diferite și trebuie să determini când și unde se vor întâlni. Este important să reprezinți grafic coordonatele și să ții cont că, la întâlnire, coordonatele spațială și temporală trebuie să coincidă.
Probleme cu mișcare uniform variată: Trebuie să calculezi accelerația, viteza finală sau viteza medie pe baza datelor despre distanțe și timpi.
Probleme cu mișcare pe traiectorii complexe: Pot implica compunerea mai multor mișcări, cum este celebra "problemă a bondarului" care zboară neîntrerupt între două trenuri care se apropie.
💡 La rezolvarea problemelor de cinematică, desenează întotdeauna un grafic pentru a vizualiza mai ușor situația și stabilește cu atenție sistemul de referință. Verifică dacă rezultatele obținute au sens fizic!
Pentru probleme de mișcare uniform variată, folosește formule precum:
Exercițiile propuse îți oferă ocazia să aplici toate conceptele învățate despre mișcarea mecanică în diverse situații practice.

Acces la toate documentele
Îmbunătățește notele tale!
Alătură-te milioanelor de elevi

Acces la toate documentele
Îmbunătățește notele tale!
Alătură-te milioanelor de elevi

Acces la toate documentele
Îmbunătățește notele tale!
Alătură-te milioanelor de elevi

Acces la toate documentele
Îmbunătățește notele tale!
Alătură-te milioanelor de elevi

Acces la toate documentele
Îmbunătățește notele tale!
Alătură-te milioanelor de elevi
Companionul nostru AI este creat special pentru nevoile studenților. Bazându-ne pe milioanele de materiale de pe platformă, putem oferi răspunsuri exacte și relevante pentru studenți. Dar nu este vorba doar despre răspunsuri, companionul este mai ales despre ghidarea studenților prin provocările zilnice de învățare, cu planuri de studiu personalizate, chestionare sau conținuturi în chat și personalizare 100% bazată pe abilitățile și evoluțiile studenților.
Aplicația este disponibilă în Google Play Store și Apple App Store.
Da! Bucură-te de access la materiale de studiu, conectează-te cu alți elevi, și primește ajutor instant - toate acestea la un click distanță. În plus, câștigă puncte ca să deblochezi mai multe funcționalități!
1
Instrumente inteligente NOU
Transformă această notiță în: ✓ 50+ întrebări de exersare ✓ Flashcard-uri interactive ✓ Examen de practică complet ✓ Planuri de eseu
App Store
Google Play
Aplicația este foarte ușor de utilizat și bine concepută. Am găsit tot ce căutam până acum și am reușit să învăț multe din prezentări! Cu siguranță voi folosi aplicația pentru o temă la clasă! Și desigur, ajută mult ca sursă de inspirație.
Ștefan S
utilizator iOS
Această aplicație este super. Sunt atât de multe materiale de studiu și ajutor pentru elevi [...]. Materia mea mai problematică este franceza, de exemplu, și aplicația oferă foarte multe materiale ajutătoare. Mulțumită acestei aplicații, mi-am îmbunătățit franceza. Aș recomanda-o oricui.
Samantha Klich
utilizator Android
Wow, sunt cu adevărat impresionat. Am încercat aplicația pentru că am văzut-o promovată de multe ori și am rămas uimit. Aceasta este AJUTORUL de care ai nevoie pentru școală și, mai presus de toate, oferă atât de multe lucruri, precum exerciții și fișe de informații, care mi-au fost FOARTE de ajutor.
Anna
utilizator iOS
Te ajută să înveți foarte repede și ști foarte bine ce ai dori tu să înveți, vă recomand cu drag să încercați și să învățați mai repede.!
Thomas R
utilizator iOS
Foarte bună aplicația!!!! Mă ajută să înțeleg mult mai bine lecțiile și temele le termin mult mai repede.👍❤️
Paul P
utilizator Android
Te ajută foarte bine la teme acest robot,recomand!
David K
utilizator iOS
Aplicația e grozavă! Tot ce trebuie să fac este să introduc subiectul în bara de căutare și primesc răspunsul foarte rapid. Nu mai trebuie să mă uit la 10 videoclipuri pe YouTube pentru a înțelege ceva, deci îmi economisesc timpul. Super recomandat!
Sudenaz Ocak
utilizator Android
La școală eram chiar slab la matematică, dar datorită aplicației, mă descurc mai bine acum. Sunt atât de recunoscător că ai creat aplicația.
Greenlight Bonnie
utilizator Android
Această aplicație e super interesantă și seamănă ca tiktok-ul doar că tu ai doar teorie și explicații.
Karla S
utilizator Android
Nu mai trebuie să stau cu orele să învăț după caiet când pot să citesc de 2 ori lecțiile care apar aici și iau 10 la test ! Knowunity m-a ajutat să iau nota 9,20 la română ! Voi recomanda ff tare aceasta aplicate , să nu uităm ca are și chat GPT !👍🏻
Denisa B
utilizator iOS
CHESTIONARELE ȘI FLASHCARD-URILE SUNT ATÂT DE UTILE ȘI IUBESC Knowunity AI. E LITERALMENTE CA CHATGPT DOAR CĂ MAI DEȘTEPT!! M-A AJUTAT ȘI CU PROBLEMELE MELE CU MASCARA!! PLUS CU MATERIILE MELE ADEVĂRATE! EVIDENT 😍😁😲🤑💗✨🎀😮
Sarah L
utilizator Android
Este foarte bună te ajută la teme te face să înțelegi lecțiile am înțeles o lecție în 20 de minute i singură nu reușeam să o învăț dar cu Knowunity am învățat-o foarte ușor
Alessia V
utilizator iOS
Aplicația este foarte ușor de utilizat și bine concepută. Am găsit tot ce căutam până acum și am reușit să învăț multe din prezentări! Cu siguranță voi folosi aplicația pentru o temă la clasă! Și desigur, ajută mult ca sursă de inspirație.
Ștefan S
utilizator iOS
Această aplicație este super. Sunt atât de multe materiale de studiu și ajutor pentru elevi [...]. Materia mea mai problematică este franceza, de exemplu, și aplicația oferă foarte multe materiale ajutătoare. Mulțumită acestei aplicații, mi-am îmbunătățit franceza. Aș recomanda-o oricui.
Samantha Klich
utilizator Android
Wow, sunt cu adevărat impresionat. Am încercat aplicația pentru că am văzut-o promovată de multe ori și am rămas uimit. Aceasta este AJUTORUL de care ai nevoie pentru școală și, mai presus de toate, oferă atât de multe lucruri, precum exerciții și fișe de informații, care mi-au fost FOARTE de ajutor.
Anna
utilizator iOS
Te ajută să înveți foarte repede și ști foarte bine ce ai dori tu să înveți, vă recomand cu drag să încercați și să învățați mai repede.!
Thomas R
utilizator iOS
Foarte bună aplicația!!!! Mă ajută să înțeleg mult mai bine lecțiile și temele le termin mult mai repede.👍❤️
Paul P
utilizator Android
Te ajută foarte bine la teme acest robot,recomand!
David K
utilizator iOS
Aplicația e grozavă! Tot ce trebuie să fac este să introduc subiectul în bara de căutare și primesc răspunsul foarte rapid. Nu mai trebuie să mă uit la 10 videoclipuri pe YouTube pentru a înțelege ceva, deci îmi economisesc timpul. Super recomandat!
Sudenaz Ocak
utilizator Android
La școală eram chiar slab la matematică, dar datorită aplicației, mă descurc mai bine acum. Sunt atât de recunoscător că ai creat aplicația.
Greenlight Bonnie
utilizator Android
Această aplicație e super interesantă și seamănă ca tiktok-ul doar că tu ai doar teorie și explicații.
Karla S
utilizator Android
Nu mai trebuie să stau cu orele să învăț după caiet când pot să citesc de 2 ori lecțiile care apar aici și iau 10 la test ! Knowunity m-a ajutat să iau nota 9,20 la română ! Voi recomanda ff tare aceasta aplicate , să nu uităm ca are și chat GPT !👍🏻
Denisa B
utilizator iOS
CHESTIONARELE ȘI FLASHCARD-URILE SUNT ATÂT DE UTILE ȘI IUBESC Knowunity AI. E LITERALMENTE CA CHATGPT DOAR CĂ MAI DEȘTEPT!! M-A AJUTAT ȘI CU PROBLEMELE MELE CU MASCARA!! PLUS CU MATERIILE MELE ADEVĂRATE! EVIDENT 😍😁😲🤑💗✨🎀😮
Sarah L
utilizator Android
Este foarte bună te ajută la teme te face să înțelegi lecțiile am înțeles o lecție în 20 de minute i singură nu reușeam să o învăț dar cu Knowunity am învățat-o foarte ușor
Alessia V
utilizator iOS