Fenolii sunt compuși organici cu grupa hidroxil (-OH) legată direct... Afișează mai mult
Înscrie-te pentru a vedea CONȚINUTULE gratuit!
Acces la toate documentele
Îmbunătățește notele tale!
Alătură-te milioanelor de elevi
Knowunity AI
Mai mult
Materii
Triangle Congruence and Similarity Theorems
Triangle Properties and Classification
Linear Equations and Graphs
Geometric Angle Relationships
Trigonometric Functions and Identities
Equation Solving Techniques
Circle Geometry Fundamentals
Division Operations and Methods
Basic Differentiation Rules
Exponent and Logarithm Properties
Afișează toate materiile
Human Organ Systems
Reproductive Cell Cycles
Biological Sciences Subdisciplines
Cellular Energy Metabolism
Autotrophic Energy Processes
Inheritance Patterns and Principles
Biomolecular Structure and Organization
Cell Cycle and Division Mechanics
Cellular Organization and Development
Biological Structural Organization
Afișează toate materiile
Chemical Sciences and Applications
Atomic Structure and Composition
Molecular Electron Structure Representation
Atomic Electron Behavior
Matter Properties and Water
Mole Concept and Calculations
Gas Laws and Behavior
Periodic Table Organization
Chemical Thermodynamics Fundamentals
Chemical Bond Types and Properties
Afișează toate materiile
European Renaissance and Enlightenment
European Cultural Movements 800-1920
American Revolution Era 1763-1797
American Civil War 1861-1865
Global Imperial Systems
Mongol and Chinese Dynasties
U.S. Presidents and World Leaders
Historical Sources and Documentation
World Wars Era and Impact
World Religious Systems
Afișează toate materiile
Classic and Contemporary Novels
Literary Character Analysis
Rhetorical Theory and Practice
Classic Literary Narratives
Reading Analysis and Interpretation
Narrative Structure and Techniques
English Language Components
Influential English-Language Authors
Basic Sentence Structure
Narrative Voice and Perspective
Afișează toate materiile
221
•
Actualizat Apr 4, 2026
•
Tatiana Niculae
@tatiananiculae
Fenolii sunt compuși organici cu grupa hidroxil (-OH) legată direct... Afișează mai mult









Fenolii sunt compuși ce conțin grupa hidroxil legată de un atom de carbon din nucleul aromatic. Dacă alcoolii au grupa -OH legată de un carbon alifatic, fenolii au această grupă atașată unui ciclu aromatic.
În funcție de numărul grupelor hidroxil, fenolii se clasifică în fenoli monohidroxilici (cu o singură grupă OH) și fenoli polihidroxilici (cu mai multe grupe OH). Exemple de fenoli monohidroxilici sunt fenolul simplu și 1-naftalenolul, iar dintre cei polihidroxilici putem menționa 1,3-benzendiolul și 1,3,5-benzentriolul.
Denumirea fenolilor poate urma mai multe reguli, cea mai frecventă fiind: indicii pentru poziția grupelor OH + numele arenei + prefixul pentru numărul grupelor OH + terminația "ol". De exemplu: benzenol, 1,2,3-benzentriol sau 1-naftalenol.
💡 Ca o regulă practică, reține că formula generală pentru fenolii monohidroxilici derivați din arene mononucleare este C₁₁H₂ₙ₋₆O - aceasta te va ajuta la calculele stoechiometrice!

Fenolii pot prezenta mai multe tipuri de izomerie, în funcție de complexitatea structurii lor. Pot exista izomeri de poziție (diferă poziția grupei OH), izomeri de funcțiune (cu alcoolii și eterii) și chiar enantiomeri (izomeri optici).
Moleculele fenolilor stabilesc legături de hidrogen între ele, asemănător cu alcoolii. Această proprietate influențează dramatic caracteristicile lor fizice. Din cauza acestor legături, fenolii sunt de obicei substanțe solide, cristaline la temperatura camerei.
Solubilitatea fenolilor în apă depinde de numărul grupelor hidroxil - cu cât au mai multe grupe OH, cu atât sunt mai solubili. Aceasta pentru că fiecare grupă OH poate forma legături de hidrogen cu moleculele de apă.
🧪 Când experimentezi cu fenoli, fii atent! Fenolul simplu (C₆H₅OH) este higroscopic și toxic, producând arsuri grave la contactul cu pielea. În plus, se oxidează în aer și capătă o culoare roșiatică.

Punctele de topire ale fenolilor cresc odată cu numărul grupărilor hidroxil din moleculă. Interesant este că pozițiile acestor grupe influențează și ele punctele de topire - fenolii cu grupe în poziția orto au puncte de topire mai scăzute decât izomerii meta și para.
Fenolii se pot obține prin mai multe metode industriale importante. Prima metodă este extracția din gudroanele de cărbuni, un proces care implică tratarea cu soluție de NaOH, apoi cu acizi minerali și în final extracția cu solvenți organici.
A doua metodă principală este topirea alcalină a sărurilor acizilor sulfonici aromatici. Reacția are loc la temperaturi de 250-300°C și produce fenoxi și sulfit de sodiu: Ar-SO₃Na + NaOH → Ar-OH + Na₂SO₃.
🔍 Crezolii, derivați ai fenolului, au proprietăți bactericide puternice și sunt folosiți ca dezinfectanți. Acest lucru explică de ce mulți dezinfectanți din spitale au la bază compuși fenolici!

Spre deosebire de alcooli, fenolii formează esteri în reacție cu acizii doar în condiții speciale, când apa este eliminată continuu din mediul de reacție. Mai frecvent, esterii fenolici se obțin din reacțiile cu cloruri acide sau anhidride acide.
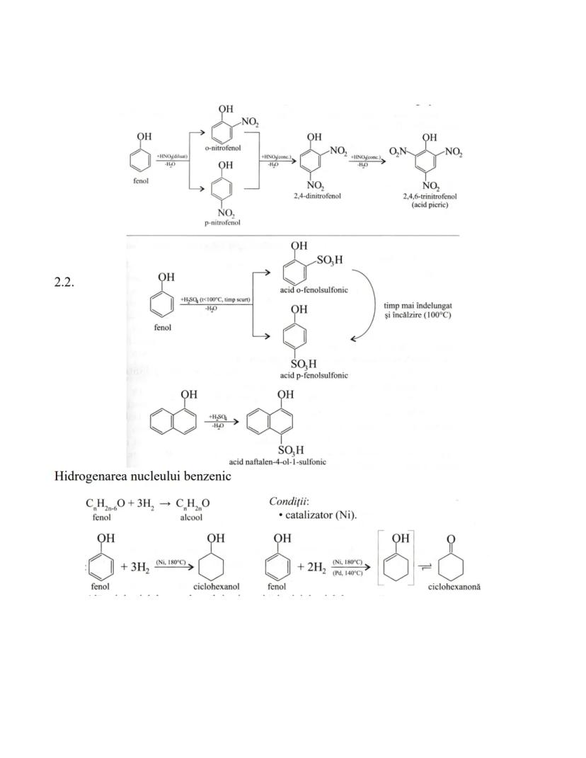
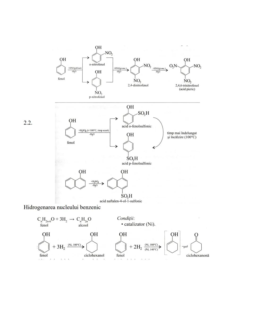
Nucleul aromatic al fenolilor participă la reacții de substituție specifice. Grupa OH activează nucleul, orientând substituenții în pozițiile orto și para. Un exemplu clasic este bromurarea fenolului, care poate duce la formarea de o-bromofenol, p-bromofenol, 2,4-dibromofenol sau chiar 2,4,6-tribromofenol.
Alte reacții de substituție includ alchilarea (cu propene) și acilarea (cu cloruri acide). Aceste reacții sunt esențiale în sinteza organică pentru obținerea de derivați fenolici cu diverse aplicații industriale.
📝 Reține că grupa hidroxil din fenoli are efect activator asupra nucleului benzenic și orientează substituenții preponderent în pozițiile orto și para - acesta este un concept esențial pentru a înțelege reactivitatea fenolilor!

Fenolii pot suferi reacții de hidrogenare a nucleului benzenic. Această transformare, care se realizează în prezența catalizatorilor precum nichelul, convertește fenolii (CₙH₂ₙ₋₆O) în alcooli ciclici saturați (CₙH₂ₙO).
Procesul de hidrogenare modifică radical proprietățile chimice ale compusului, deoarece noul produs nu mai are caracterul aromatic al fenolului inițial. Această reacție este importantă în industria chimică pentru obținerea unor intermediari valoroși.
Pentru a realiza hidrogenarea eficient, este necesar un catalizator metalic și condiții de reacție bine controlate. Aplicațiile practice ale acestei reacții sunt diverse, de la sinteza medicamentelor la obținerea de aditivi pentru combustibili.
⚠️ La examinare, profesorii cer adesea să scrii ecuațiile de hidrogenare a fenolilor - asigură-te că știi să adaugi corect cele 3 molecule de H₂ necesare pentru saturarea completă a nucleului aromatic!

Fenolii participă la numeroase reacții caracteristice. Ei pot condensa cu compuși carbonilici, pot forma cuplu cu sărurile de diazoniu și dau reacții de culoare cu FeCl₃. Aceste reacții colorimetrice sunt importante pentru identificarea fenolilor - fenolul simplu dă o culoare violetă, crezolii și hidrochinona dau albastru, iar β-naftolul verde.
O proprietate interesantă a fenolilor 1,2- și 1,4-dihidroxilici este capacitatea lor de a participa la reacții redox reversibile. De exemplu, hidrochinona se poate oxida la benzochinonă și invers. Această proprietate face ca acești compuși să fie utilizați ca agenți reducători în fotografie.
Fenolii au numeroase aplicații practice. Fenolul simplu este materie primă pentru medicamente, coloranți, materiale plastice (novolac, bachelită) și fibre sintetice. Crezolii sunt componenți ai dezinfectanților precum creolina, iar hidrochinona este folosită ca revelator fotografic.
🌟 Sistemele redox ale fenolilor 1,2 și 1,4 au fost esențiale pentru dezvoltarea fotografiei alb-negru! Când vei merge la un laborator foto, gândește-te că aceeași chimie a fenolilor face posibilă developarea filmului!


Companionul nostru AI este creat special pentru nevoile studenților. Bazându-ne pe milioanele de materiale de pe platformă, putem oferi răspunsuri exacte și relevante pentru studenți. Dar nu este vorba doar despre răspunsuri, companionul este mai ales despre ghidarea studenților prin provocările zilnice de învățare, cu planuri de studiu personalizate, chestionare sau conținuturi în chat și personalizare 100% bazată pe abilitățile și evoluțiile studenților.
Aplicația este disponibilă în Google Play Store și Apple App Store.
Da! Bucură-te de access la materiale de studiu, conectează-te cu alți elevi, și primește ajutor instant - toate acestea la un click distanță. În plus, câștigă puncte ca să deblochezi mai multe funcționalități!
App Store
Google Play
Aplicația este foarte ușor de utilizat și bine concepută. Am găsit tot ce căutam până acum și am reușit să învăț multe din prezentări! Cu siguranță voi folosi aplicația pentru o temă la clasă! Și desigur, ajută mult ca sursă de inspirație.
Ștefan S
utilizator iOS
Această aplicație este super. Sunt atât de multe materiale de studiu și ajutor pentru elevi [...]. Materia mea mai problematică este franceza, de exemplu, și aplicația oferă foarte multe materiale ajutătoare. Mulțumită acestei aplicații, mi-am îmbunătățit franceza. Aș recomanda-o oricui.
Samantha Klich
utilizator Android
Wow, sunt cu adevărat impresionat. Am încercat aplicația pentru că am văzut-o promovată de multe ori și am rămas uimit. Aceasta este AJUTORUL de care ai nevoie pentru școală și, mai presus de toate, oferă atât de multe lucruri, precum exerciții și fișe de informații, care mi-au fost FOARTE de ajutor.
Anna
utilizator iOS
Te ajută să înveți foarte repede și ști foarte bine ce ai dori tu să înveți, vă recomand cu drag să încercați și să învățați mai repede.!
Thomas R
utilizator iOS
Foarte bună aplicația!!!! Mă ajută să înțeleg mult mai bine lecțiile și temele le termin mult mai repede.👍❤️
Paul P
utilizator Android
Te ajută foarte bine la teme acest robot,recomand!
David K
utilizator iOS
Aplicația e grozavă! Tot ce trebuie să fac este să introduc subiectul în bara de căutare și primesc răspunsul foarte rapid. Nu mai trebuie să mă uit la 10 videoclipuri pe YouTube pentru a înțelege ceva, deci îmi economisesc timpul. Super recomandat!
Sudenaz Ocak
utilizator Android
La școală eram chiar slab la matematică, dar datorită aplicației, mă descurc mai bine acum. Sunt atât de recunoscător că ai creat aplicația.
Greenlight Bonnie
utilizator Android
Această aplicație e super interesantă și seamănă ca tiktok-ul doar că tu ai doar teorie și explicații.
Karla S
utilizator Android
Nu mai trebuie să stau cu orele să învăț după caiet când pot să citesc de 2 ori lecțiile care apar aici și iau 10 la test ! Knowunity m-a ajutat să iau nota 9,20 la română ! Voi recomanda ff tare aceasta aplicate , să nu uităm ca are și chat GPT !👍🏻
Denisa B
utilizator iOS
CHESTIONARELE ȘI FLASHCARD-URILE SUNT ATÂT DE UTILE ȘI IUBESC Knowunity AI. E LITERALMENTE CA CHATGPT DOAR CĂ MAI DEȘTEPT!! M-A AJUTAT ȘI CU PROBLEMELE MELE CU MASCARA!! PLUS CU MATERIILE MELE ADEVĂRATE! EVIDENT 😍😁😲🤑💗✨🎀😮
Sarah L
utilizator Android
Este foarte bună te ajută la teme te face să înțelegi lecțiile am înțeles o lecție în 20 de minute i singură nu reușeam să o învăț dar cu Knowunity am învățat-o foarte ușor
Alessia V
utilizator iOS
Aplicația este foarte ușor de utilizat și bine concepută. Am găsit tot ce căutam până acum și am reușit să învăț multe din prezentări! Cu siguranță voi folosi aplicația pentru o temă la clasă! Și desigur, ajută mult ca sursă de inspirație.
Ștefan S
utilizator iOS
Această aplicație este super. Sunt atât de multe materiale de studiu și ajutor pentru elevi [...]. Materia mea mai problematică este franceza, de exemplu, și aplicația oferă foarte multe materiale ajutătoare. Mulțumită acestei aplicații, mi-am îmbunătățit franceza. Aș recomanda-o oricui.
Samantha Klich
utilizator Android
Wow, sunt cu adevărat impresionat. Am încercat aplicația pentru că am văzut-o promovată de multe ori și am rămas uimit. Aceasta este AJUTORUL de care ai nevoie pentru școală și, mai presus de toate, oferă atât de multe lucruri, precum exerciții și fișe de informații, care mi-au fost FOARTE de ajutor.
Anna
utilizator iOS
Te ajută să înveți foarte repede și ști foarte bine ce ai dori tu să înveți, vă recomand cu drag să încercați și să învățați mai repede.!
Thomas R
utilizator iOS
Foarte bună aplicația!!!! Mă ajută să înțeleg mult mai bine lecțiile și temele le termin mult mai repede.👍❤️
Paul P
utilizator Android
Te ajută foarte bine la teme acest robot,recomand!
David K
utilizator iOS
Aplicația e grozavă! Tot ce trebuie să fac este să introduc subiectul în bara de căutare și primesc răspunsul foarte rapid. Nu mai trebuie să mă uit la 10 videoclipuri pe YouTube pentru a înțelege ceva, deci îmi economisesc timpul. Super recomandat!
Sudenaz Ocak
utilizator Android
La școală eram chiar slab la matematică, dar datorită aplicației, mă descurc mai bine acum. Sunt atât de recunoscător că ai creat aplicația.
Greenlight Bonnie
utilizator Android
Această aplicație e super interesantă și seamănă ca tiktok-ul doar că tu ai doar teorie și explicații.
Karla S
utilizator Android
Nu mai trebuie să stau cu orele să învăț după caiet când pot să citesc de 2 ori lecțiile care apar aici și iau 10 la test ! Knowunity m-a ajutat să iau nota 9,20 la română ! Voi recomanda ff tare aceasta aplicate , să nu uităm ca are și chat GPT !👍🏻
Denisa B
utilizator iOS
CHESTIONARELE ȘI FLASHCARD-URILE SUNT ATÂT DE UTILE ȘI IUBESC Knowunity AI. E LITERALMENTE CA CHATGPT DOAR CĂ MAI DEȘTEPT!! M-A AJUTAT ȘI CU PROBLEMELE MELE CU MASCARA!! PLUS CU MATERIILE MELE ADEVĂRATE! EVIDENT 😍😁😲🤑💗✨🎀😮
Sarah L
utilizator Android
Este foarte bună te ajută la teme te face să înțelegi lecțiile am înțeles o lecție în 20 de minute i singură nu reușeam să o învăț dar cu Knowunity am învățat-o foarte ușor
Alessia V
utilizator iOS
Tatiana Niculae
@tatiananiculae
Fenolii sunt compuși organici cu grupa hidroxil (-OH) legată direct de un nucleu aromatic. Aceste substanțe au proprietăți specifice și aplicații variate în industrie, medicină și tehnologie. Vom explora structura, clasificarea și comportamentul chimic al fenolilor într-un mod accesibil și... Afișează mai mult

Acces la toate documentele
Îmbunătățește notele tale!
Alătură-te milioanelor de elevi
Fenolii sunt compuși ce conțin grupa hidroxil legată de un atom de carbon din nucleul aromatic. Dacă alcoolii au grupa -OH legată de un carbon alifatic, fenolii au această grupă atașată unui ciclu aromatic.
În funcție de numărul grupelor hidroxil, fenolii se clasifică în fenoli monohidroxilici (cu o singură grupă OH) și fenoli polihidroxilici (cu mai multe grupe OH). Exemple de fenoli monohidroxilici sunt fenolul simplu și 1-naftalenolul, iar dintre cei polihidroxilici putem menționa 1,3-benzendiolul și 1,3,5-benzentriolul.
Denumirea fenolilor poate urma mai multe reguli, cea mai frecventă fiind: indicii pentru poziția grupelor OH + numele arenei + prefixul pentru numărul grupelor OH + terminația "ol". De exemplu: benzenol, 1,2,3-benzentriol sau 1-naftalenol.
💡 Ca o regulă practică, reține că formula generală pentru fenolii monohidroxilici derivați din arene mononucleare este C₁₁H₂ₙ₋₆O - aceasta te va ajuta la calculele stoechiometrice!

Acces la toate documentele
Îmbunătățește notele tale!
Alătură-te milioanelor de elevi
Fenolii pot prezenta mai multe tipuri de izomerie, în funcție de complexitatea structurii lor. Pot exista izomeri de poziție (diferă poziția grupei OH), izomeri de funcțiune (cu alcoolii și eterii) și chiar enantiomeri (izomeri optici).
Moleculele fenolilor stabilesc legături de hidrogen între ele, asemănător cu alcoolii. Această proprietate influențează dramatic caracteristicile lor fizice. Din cauza acestor legături, fenolii sunt de obicei substanțe solide, cristaline la temperatura camerei.
Solubilitatea fenolilor în apă depinde de numărul grupelor hidroxil - cu cât au mai multe grupe OH, cu atât sunt mai solubili. Aceasta pentru că fiecare grupă OH poate forma legături de hidrogen cu moleculele de apă.
🧪 Când experimentezi cu fenoli, fii atent! Fenolul simplu (C₆H₅OH) este higroscopic și toxic, producând arsuri grave la contactul cu pielea. În plus, se oxidează în aer și capătă o culoare roșiatică.

Acces la toate documentele
Îmbunătățește notele tale!
Alătură-te milioanelor de elevi
Punctele de topire ale fenolilor cresc odată cu numărul grupărilor hidroxil din moleculă. Interesant este că pozițiile acestor grupe influențează și ele punctele de topire - fenolii cu grupe în poziția orto au puncte de topire mai scăzute decât izomerii meta și para.
Fenolii se pot obține prin mai multe metode industriale importante. Prima metodă este extracția din gudroanele de cărbuni, un proces care implică tratarea cu soluție de NaOH, apoi cu acizi minerali și în final extracția cu solvenți organici.
A doua metodă principală este topirea alcalină a sărurilor acizilor sulfonici aromatici. Reacția are loc la temperaturi de 250-300°C și produce fenoxi și sulfit de sodiu: Ar-SO₃Na + NaOH → Ar-OH + Na₂SO₃.
🔍 Crezolii, derivați ai fenolului, au proprietăți bactericide puternice și sunt folosiți ca dezinfectanți. Acest lucru explică de ce mulți dezinfectanți din spitale au la bază compuși fenolici!

Acces la toate documentele
Îmbunătățește notele tale!
Alătură-te milioanelor de elevi
Spre deosebire de alcooli, fenolii formează esteri în reacție cu acizii doar în condiții speciale, când apa este eliminată continuu din mediul de reacție. Mai frecvent, esterii fenolici se obțin din reacțiile cu cloruri acide sau anhidride acide.
Nucleul aromatic al fenolilor participă la reacții de substituție specifice. Grupa OH activează nucleul, orientând substituenții în pozițiile orto și para. Un exemplu clasic este bromurarea fenolului, care poate duce la formarea de o-bromofenol, p-bromofenol, 2,4-dibromofenol sau chiar 2,4,6-tribromofenol.
Alte reacții de substituție includ alchilarea (cu propene) și acilarea (cu cloruri acide). Aceste reacții sunt esențiale în sinteza organică pentru obținerea de derivați fenolici cu diverse aplicații industriale.
📝 Reține că grupa hidroxil din fenoli are efect activator asupra nucleului benzenic și orientează substituenții preponderent în pozițiile orto și para - acesta este un concept esențial pentru a înțelege reactivitatea fenolilor!

Acces la toate documentele
Îmbunătățește notele tale!
Alătură-te milioanelor de elevi
Fenolii pot suferi reacții de hidrogenare a nucleului benzenic. Această transformare, care se realizează în prezența catalizatorilor precum nichelul, convertește fenolii (CₙH₂ₙ₋₆O) în alcooli ciclici saturați (CₙH₂ₙO).
Procesul de hidrogenare modifică radical proprietățile chimice ale compusului, deoarece noul produs nu mai are caracterul aromatic al fenolului inițial. Această reacție este importantă în industria chimică pentru obținerea unor intermediari valoroși.
Pentru a realiza hidrogenarea eficient, este necesar un catalizator metalic și condiții de reacție bine controlate. Aplicațiile practice ale acestei reacții sunt diverse, de la sinteza medicamentelor la obținerea de aditivi pentru combustibili.
⚠️ La examinare, profesorii cer adesea să scrii ecuațiile de hidrogenare a fenolilor - asigură-te că știi să adaugi corect cele 3 molecule de H₂ necesare pentru saturarea completă a nucleului aromatic!

Acces la toate documentele
Îmbunătățește notele tale!
Alătură-te milioanelor de elevi
Fenolii participă la numeroase reacții caracteristice. Ei pot condensa cu compuși carbonilici, pot forma cuplu cu sărurile de diazoniu și dau reacții de culoare cu FeCl₃. Aceste reacții colorimetrice sunt importante pentru identificarea fenolilor - fenolul simplu dă o culoare violetă, crezolii și hidrochinona dau albastru, iar β-naftolul verde.
O proprietate interesantă a fenolilor 1,2- și 1,4-dihidroxilici este capacitatea lor de a participa la reacții redox reversibile. De exemplu, hidrochinona se poate oxida la benzochinonă și invers. Această proprietate face ca acești compuși să fie utilizați ca agenți reducători în fotografie.
Fenolii au numeroase aplicații practice. Fenolul simplu este materie primă pentru medicamente, coloranți, materiale plastice (novolac, bachelită) și fibre sintetice. Crezolii sunt componenți ai dezinfectanților precum creolina, iar hidrochinona este folosită ca revelator fotografic.
🌟 Sistemele redox ale fenolilor 1,2 și 1,4 au fost esențiale pentru dezvoltarea fotografiei alb-negru! Când vei merge la un laborator foto, gândește-te că aceeași chimie a fenolilor face posibilă developarea filmului!

Acces la toate documentele
Îmbunătățește notele tale!
Alătură-te milioanelor de elevi

Acces la toate documentele
Îmbunătățește notele tale!
Alătură-te milioanelor de elevi
Companionul nostru AI este creat special pentru nevoile studenților. Bazându-ne pe milioanele de materiale de pe platformă, putem oferi răspunsuri exacte și relevante pentru studenți. Dar nu este vorba doar despre răspunsuri, companionul este mai ales despre ghidarea studenților prin provocările zilnice de învățare, cu planuri de studiu personalizate, chestionare sau conținuturi în chat și personalizare 100% bazată pe abilitățile și evoluțiile studenților.
Aplicația este disponibilă în Google Play Store și Apple App Store.
Da! Bucură-te de access la materiale de studiu, conectează-te cu alți elevi, și primește ajutor instant - toate acestea la un click distanță. În plus, câștigă puncte ca să deblochezi mai multe funcționalități!
2
Instrumente inteligente NOU
Transformă această notiță în: ✓ 50+ întrebări de exersare ✓ Flashcard-uri interactive ✓ Examen de practică complet ✓ Planuri de eseu
App Store
Google Play
Aplicația este foarte ușor de utilizat și bine concepută. Am găsit tot ce căutam până acum și am reușit să învăț multe din prezentări! Cu siguranță voi folosi aplicația pentru o temă la clasă! Și desigur, ajută mult ca sursă de inspirație.
Ștefan S
utilizator iOS
Această aplicație este super. Sunt atât de multe materiale de studiu și ajutor pentru elevi [...]. Materia mea mai problematică este franceza, de exemplu, și aplicația oferă foarte multe materiale ajutătoare. Mulțumită acestei aplicații, mi-am îmbunătățit franceza. Aș recomanda-o oricui.
Samantha Klich
utilizator Android
Wow, sunt cu adevărat impresionat. Am încercat aplicația pentru că am văzut-o promovată de multe ori și am rămas uimit. Aceasta este AJUTORUL de care ai nevoie pentru școală și, mai presus de toate, oferă atât de multe lucruri, precum exerciții și fișe de informații, care mi-au fost FOARTE de ajutor.
Anna
utilizator iOS
Te ajută să înveți foarte repede și ști foarte bine ce ai dori tu să înveți, vă recomand cu drag să încercați și să învățați mai repede.!
Thomas R
utilizator iOS
Foarte bună aplicația!!!! Mă ajută să înțeleg mult mai bine lecțiile și temele le termin mult mai repede.👍❤️
Paul P
utilizator Android
Te ajută foarte bine la teme acest robot,recomand!
David K
utilizator iOS
Aplicația e grozavă! Tot ce trebuie să fac este să introduc subiectul în bara de căutare și primesc răspunsul foarte rapid. Nu mai trebuie să mă uit la 10 videoclipuri pe YouTube pentru a înțelege ceva, deci îmi economisesc timpul. Super recomandat!
Sudenaz Ocak
utilizator Android
La școală eram chiar slab la matematică, dar datorită aplicației, mă descurc mai bine acum. Sunt atât de recunoscător că ai creat aplicația.
Greenlight Bonnie
utilizator Android
Această aplicație e super interesantă și seamănă ca tiktok-ul doar că tu ai doar teorie și explicații.
Karla S
utilizator Android
Nu mai trebuie să stau cu orele să învăț după caiet când pot să citesc de 2 ori lecțiile care apar aici și iau 10 la test ! Knowunity m-a ajutat să iau nota 9,20 la română ! Voi recomanda ff tare aceasta aplicate , să nu uităm ca are și chat GPT !👍🏻
Denisa B
utilizator iOS
CHESTIONARELE ȘI FLASHCARD-URILE SUNT ATÂT DE UTILE ȘI IUBESC Knowunity AI. E LITERALMENTE CA CHATGPT DOAR CĂ MAI DEȘTEPT!! M-A AJUTAT ȘI CU PROBLEMELE MELE CU MASCARA!! PLUS CU MATERIILE MELE ADEVĂRATE! EVIDENT 😍😁😲🤑💗✨🎀😮
Sarah L
utilizator Android
Este foarte bună te ajută la teme te face să înțelegi lecțiile am înțeles o lecție în 20 de minute i singură nu reușeam să o învăț dar cu Knowunity am învățat-o foarte ușor
Alessia V
utilizator iOS
Aplicația este foarte ușor de utilizat și bine concepută. Am găsit tot ce căutam până acum și am reușit să învăț multe din prezentări! Cu siguranță voi folosi aplicația pentru o temă la clasă! Și desigur, ajută mult ca sursă de inspirație.
Ștefan S
utilizator iOS
Această aplicație este super. Sunt atât de multe materiale de studiu și ajutor pentru elevi [...]. Materia mea mai problematică este franceza, de exemplu, și aplicația oferă foarte multe materiale ajutătoare. Mulțumită acestei aplicații, mi-am îmbunătățit franceza. Aș recomanda-o oricui.
Samantha Klich
utilizator Android
Wow, sunt cu adevărat impresionat. Am încercat aplicația pentru că am văzut-o promovată de multe ori și am rămas uimit. Aceasta este AJUTORUL de care ai nevoie pentru școală și, mai presus de toate, oferă atât de multe lucruri, precum exerciții și fișe de informații, care mi-au fost FOARTE de ajutor.
Anna
utilizator iOS
Te ajută să înveți foarte repede și ști foarte bine ce ai dori tu să înveți, vă recomand cu drag să încercați și să învățați mai repede.!
Thomas R
utilizator iOS
Foarte bună aplicația!!!! Mă ajută să înțeleg mult mai bine lecțiile și temele le termin mult mai repede.👍❤️
Paul P
utilizator Android
Te ajută foarte bine la teme acest robot,recomand!
David K
utilizator iOS
Aplicația e grozavă! Tot ce trebuie să fac este să introduc subiectul în bara de căutare și primesc răspunsul foarte rapid. Nu mai trebuie să mă uit la 10 videoclipuri pe YouTube pentru a înțelege ceva, deci îmi economisesc timpul. Super recomandat!
Sudenaz Ocak
utilizator Android
La școală eram chiar slab la matematică, dar datorită aplicației, mă descurc mai bine acum. Sunt atât de recunoscător că ai creat aplicația.
Greenlight Bonnie
utilizator Android
Această aplicație e super interesantă și seamănă ca tiktok-ul doar că tu ai doar teorie și explicații.
Karla S
utilizator Android
Nu mai trebuie să stau cu orele să învăț după caiet când pot să citesc de 2 ori lecțiile care apar aici și iau 10 la test ! Knowunity m-a ajutat să iau nota 9,20 la română ! Voi recomanda ff tare aceasta aplicate , să nu uităm ca are și chat GPT !👍🏻
Denisa B
utilizator iOS
CHESTIONARELE ȘI FLASHCARD-URILE SUNT ATÂT DE UTILE ȘI IUBESC Knowunity AI. E LITERALMENTE CA CHATGPT DOAR CĂ MAI DEȘTEPT!! M-A AJUTAT ȘI CU PROBLEMELE MELE CU MASCARA!! PLUS CU MATERIILE MELE ADEVĂRATE! EVIDENT 😍😁😲🤑💗✨🎀😮
Sarah L
utilizator Android
Este foarte bună te ajută la teme te face să înțelegi lecțiile am înțeles o lecție în 20 de minute i singură nu reușeam să o învăț dar cu Knowunity am învățat-o foarte ușor
Alessia V
utilizator iOS