Alcanii reprezintă o clasă fundamentală de hidrocarburi saturate cu legături... Afișează mai mult
Înscrie-te pentru a vedea CONȚINUTULE gratuit!
Acces la toate documentele
Îmbunătățește notele tale!
Alătură-te milioanelor de elevi
Knowunity AI
Mai mult
Materii
Triangle Congruence and Similarity Theorems
Triangle Properties and Classification
Linear Equations and Graphs
Geometric Angle Relationships
Trigonometric Functions and Identities
Equation Solving Techniques
Circle Geometry Fundamentals
Division Operations and Methods
Basic Differentiation Rules
Exponent and Logarithm Properties
Afișează toate materiile
Human Organ Systems
Reproductive Cell Cycles
Biological Sciences Subdisciplines
Cellular Energy Metabolism
Autotrophic Energy Processes
Inheritance Patterns and Principles
Biomolecular Structure and Organization
Cell Cycle and Division Mechanics
Cellular Organization and Development
Biological Structural Organization
Afișează toate materiile
Chemical Sciences and Applications
Atomic Structure and Composition
Molecular Electron Structure Representation
Atomic Electron Behavior
Matter Properties and Water
Mole Concept and Calculations
Gas Laws and Behavior
Periodic Table Organization
Chemical Thermodynamics Fundamentals
Chemical Bond Types and Properties
Afișează toate materiile
European Renaissance and Enlightenment
European Cultural Movements 800-1920
American Revolution Era 1763-1797
American Civil War 1861-1865
Global Imperial Systems
Mongol and Chinese Dynasties
U.S. Presidents and World Leaders
Historical Sources and Documentation
World Wars Era and Impact
World Religious Systems
Afișează toate materiile
Classic and Contemporary Novels
Literary Character Analysis
Rhetorical Theory and Practice
Classic Literary Narratives
Reading Analysis and Interpretation
Narrative Structure and Techniques
English Language Components
Influential English-Language Authors
Basic Sentence Structure
Narrative Voice and Perspective
Afișează toate materiile
187
•
Actualizat Mar 20, 2026
•
matei
@mateiq
Alcanii reprezintă o clasă fundamentală de hidrocarburi saturate cu legături... Afișează mai mult
















Alcanii sunt hidrocarburi saturate aciclice care pot avea catenă liniară sau ramificată. Moleculele lor conțin doar legături simple C-C și C-H, fiind complet saturate (fără legături duble sau triple).
Formula generală a alcanilor este CnH2n+2 (unde n≥1), deoarece au număr de echivalenți NE=0. Raportul molar dintre carbon și hidrogen este C:H = n:2n+2, un aspect important de reținut pentru probleme.
Primii patru alcani au denumiri specifice pe care trebuie să le memorezi:
⚡ Sfat util: Pentru a verifica rapid dacă ai scris corect formula unui alcan, numără atomii de H - ar trebui să fie întotdeauna cu 2 mai mulți decât dublul numărului de atomi de C!

Alcanii cu cel puțin 5 atomi de carbon în moleculă se denumesc prin adăugarea sufixului "-an" la rădăcina care indică numărul de atomi de carbon .
Astfel, pentru alcanii liniari , denumirea este simplă:
Reține că prefixul "n-" (normal) se folosește uneori pentru a specifica alcanii cu catena liniară, de exemplu: n-butan, n-pentan.
Când vom discuta alcanii ramificați, vom vedea că aplicarea regulilor IUPAC devine mai complexă.
🔑 Reține: Denumirea alcanilor urmează regula "rădăcină + an", unde rădăcina indică numărul de atomi de carbon din catena principală.

Radicalii de hidrocarburi se obțin prin îndepărtarea unuia sau mai multor atomi de hidrogen din molecula unei hidrocarburi. Ei sunt foarte importanți pentru a înțelege denumirea compușilor organici mai complecși.
Radicalii monovalenți (alchil) se obțin prin îndepărtarea unui atom de hidrogen și se denumesc înlocuind sufixul "-an" cu "-il". Exemple importante:
Pentru butan avem mai mulți radicali posibili:
📌 Important: Diferența dintre radicalii "n-", "sec-", "izo-" și "tert-" este dată de poziția atomului de C de care este legată valența liberă!

Radicalii divalenți se obțin prin îndepărtarea a doi atomi de hidrogen din molecula unui alcan. Denumirea lor depinde de poziția valențelor libere.
Când valențele libere sunt la același atom de carbon, denumirea se formează înlocuind sufixul "-an" cu "-iliden":
Când valențele libere sunt la atomi de carbon diferiți, folosim sufixul "-ilen":
Acești radicali sunt frecvent întâlniți în structura compușilor organici mai complecși și în reacții organice.
💡 Sfat: Observă diferența dintre sufixele "-iliden" (valențe libere la același atom de C) și "-ilen" (valențe libere la atomi de C diferiți)!

Radicalii trivalenți se obțin prin îndepărtarea a trei atomi de hidrogen din molecula unei hidrocarburi. Nomenclatura lor urmează reguli similare cu radicalii divalenți.
Când toate cele trei valențe libere sunt la același atom de carbon, se folosesc sufixele "-in" sau "-idin":
Când valențele libere sunt la atomi de carbon diferiți, se specifică pozițiile prin indicii numerici:
Acești radicali sunt mai puțin frecvenți decât cei mono- și divalenți, dar sunt importanți pentru înțelegerea structurii unor compuși organici complecși.
🔍 Observație: Cu cât numărul de valențe libere crește, cu atât radicalul devine mai reactiv și mai instabil în stare liberă!

Izomerii de catenă sunt alcani cu aceeași formulă moleculară, dar care diferă prin forma catenei (liniară sau ramificată). Alcanii cu cel puțin 4 atomi de carbon prezintă izomerie de catenă.
Pentru formula C4H10 există doi izomeri:
Pentru C5H12 avem trei izomeri:
Cu creșterea numărului de atomi de carbon, numărul de izomeri crește exponențial. De exemplu, pentru C10H22 există 75 de izomeri posibili!
⭐ Conceptul cheie: Cu cât crește numărul de atomi de C, cu atât crește dramatic numărul de izomeri de catenă posibili!

Pentru denumirea alcanilor ramificați conform regulilor IUPAC, urmează acești pași:
Pasul 1: Identifică cea mai lungă catenă de atomi de carbon (catena de bază). Dacă există două catene cu același număr maxim de atomi, alege-o pe cea cu mai multe ramificații.
Pasul 2: Numerotează atomii de carbon din catena de bază astfel încât suma indicilor de poziție pentru ramificații să fie minimă.
Pasul 3: Denumește compusul menționând radicalii (ramificațiile) în ordine alfabetică, precedați de indicii lor de poziție și de prefixele di-, tri-, tetra- etc. (dacă apar de mai multe ori).
De exemplu, pentru compusul:
CH₃-CH₂
|
CH₃-CH-CH₂-CH₂
|
CH₃
Denumirea este 3-etil-2,3,4-trimetilhexan, deoarece:
🧩 Trucul meu: Imaginează-ți catena principală ca o autostradă și ramificațiile ca niște drumuri laterale. Numeri "kilometrii" de pe autostradă astfel încât "drumurile laterale" să fie cât mai aproape de început!

Starea de agregare a alcanilor depinde de numărul de atomi de carbon:
Punctele de fierbere și de topire cresc odată cu numărul de atomi de carbon. Dintre izomeri, cei cu catenă ramificată au puncte de fierbere mai mici decât izomerii liniari .
Solubilitatea: alcanii sunt insolubili în apă , dar sunt solubili în solvenți nepolari precum CCl₄, CS₂, benzen sau toluen.
Densitatea: alcanii lichizi și solizi au densitate mai mică decât apa, motiv pentru care plutesc pe apă (important pentru accidentele cu petrol!).
🌊 Aplicație practică: Datorită densității mai mici decât a apei și insolubilității, petrolul (amestec de hidrocarburi) formează pete la suprafața apei în caz de scurgeri, ceea ce face dificilă curățarea oceanelor după dezastre!

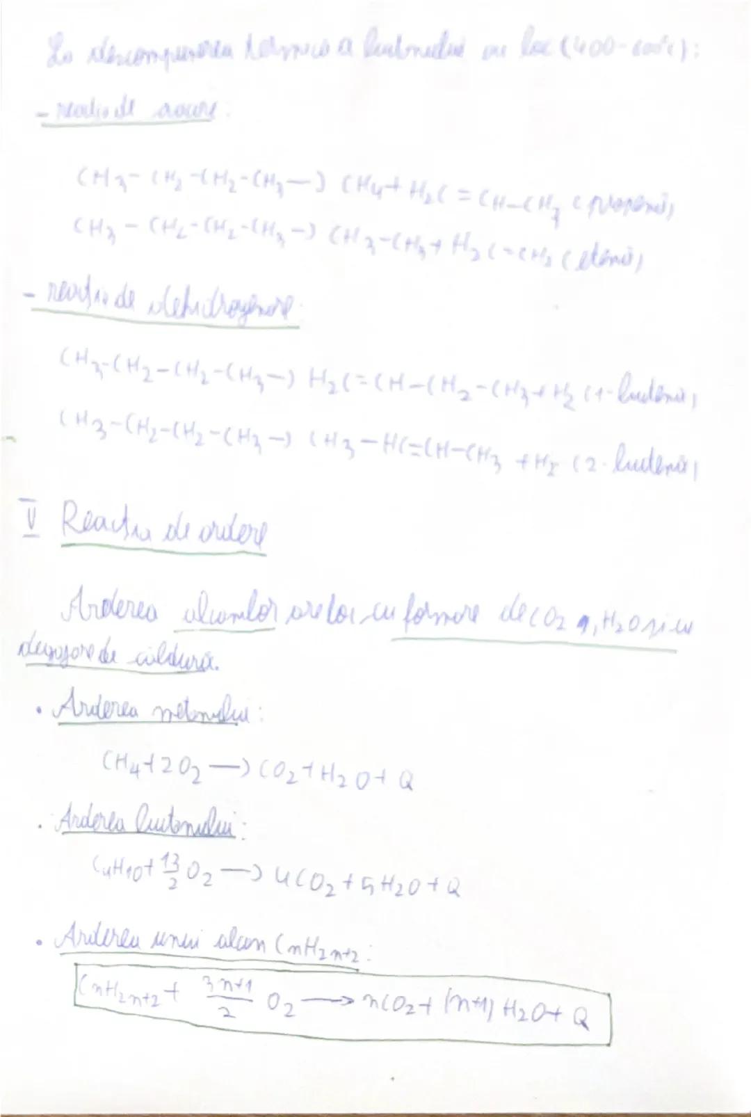
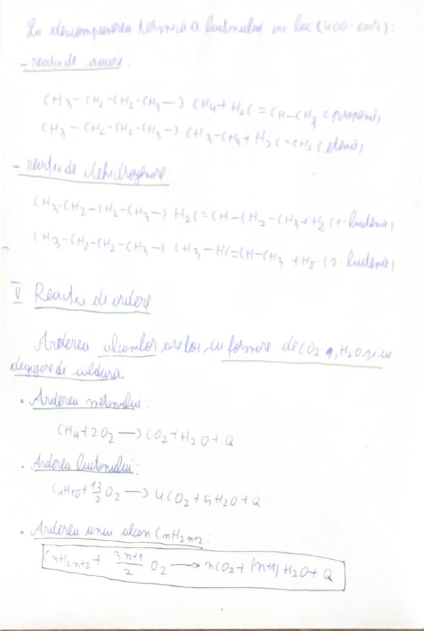
Alcanii sunt numiți și parafine datorită reactivității scăzute. Legăturile C-C și C-H sunt foarte stabile, ceea ce explică inerția lor chimică. Totuși, în condiții energice, ei pot participa la anumite reacții:
I. Reacția de substituție implică înlocuirea unui atom de H din molecula unui alcan cu un alt atom sau o grupare de atomi: R-H + A-B → R-B + H-A
II. Reacția de halogenare este o reacție de substituție caracteristică alcanilor, în care un atom de H este înlocuit cu un halogen (Cl sau Br). Aceasta poate avea loc:
De exemplu, clorurarea metanului: CH₄ + Cl₂ → CH₃Cl + HCl
🔥 Atenție: Reactivitatea atomilor de H din molecula unui alcan scade în ordinea: H-(terțiar) > H-(secundar) > H-(primar), ceea ce explică de ce halogenarea poate da amestecuri de produși când există diferiți atomi de H!

În reacțiile de halogenare, proporțiile produșilor depind de tipul atomilor de hidrogen care sunt înlocuiți. Iată câteva exemple:
Bromurarea propanului: H₃C-CH₂-CH₃ + Br₂ → H₃C-CH₂-CH₂-Br + H₃C-CH-CH₃ | Br
Observăm că se formează predominant 2-bromopropan, deoarece atomul de H secundar este mai reactiv.
III. Reacția de izomerizare
Această reacție constă în transformarea reversibilă a unui alcan într-un izomer al său, în prezența unui catalizator (AlCl₃ sau AlBr₃) și a urmelor de apă, la 50-100°C:
n-butan ⟷ izobutan H₃C-CH₂-CH₂-CH₃ ⟷ H₃C-CH-CH₃ | CH₃
Reacția de izomerizare este folosită în industria petrolieră pentru a obține alcani ramificați care au cifra octanică mai mare, îmbunătățind calitatea combustibililor.
🚗 Aplicație practică: Izomerizarea este esențială în industria petrolieră pentru obținerea benzinei cu cifră octanică ridicată, care previne detonarea prematură în motoare și asigură o funcționare mai eficientă!





Companionul nostru AI este creat special pentru nevoile studenților. Bazându-ne pe milioanele de materiale de pe platformă, putem oferi răspunsuri exacte și relevante pentru studenți. Dar nu este vorba doar despre răspunsuri, companionul este mai ales despre ghidarea studenților prin provocările zilnice de învățare, cu planuri de studiu personalizate, chestionare sau conținuturi în chat și personalizare 100% bazată pe abilitățile și evoluțiile studenților.
Aplicația este disponibilă în Google Play Store și Apple App Store.
Da! Bucură-te de access la materiale de studiu, conectează-te cu alți elevi, și primește ajutor instant - toate acestea la un click distanță. În plus, câștigă puncte ca să deblochezi mai multe funcționalități!
Sintetizat
App Store
Google Play
Aplicația este foarte ușor de utilizat și bine concepută. Am găsit tot ce căutam până acum și am reușit să învăț multe din prezentări! Cu siguranță voi folosi aplicația pentru o temă la clasă! Și desigur, ajută mult ca sursă de inspirație.
Ștefan S
utilizator iOS
Această aplicație este super. Sunt atât de multe materiale de studiu și ajutor pentru elevi [...]. Materia mea mai problematică este franceza, de exemplu, și aplicația oferă foarte multe materiale ajutătoare. Mulțumită acestei aplicații, mi-am îmbunătățit franceza. Aș recomanda-o oricui.
Samantha Klich
utilizator Android
Wow, sunt cu adevărat impresionat. Am încercat aplicația pentru că am văzut-o promovată de multe ori și am rămas uimit. Aceasta este AJUTORUL de care ai nevoie pentru școală și, mai presus de toate, oferă atât de multe lucruri, precum exerciții și fișe de informații, care mi-au fost FOARTE de ajutor.
Anna
utilizator iOS
Te ajută să înveți foarte repede și ști foarte bine ce ai dori tu să înveți, vă recomand cu drag să încercați și să învățați mai repede.!
Thomas R
utilizator iOS
Foarte bună aplicația!!!! Mă ajută să înțeleg mult mai bine lecțiile și temele le termin mult mai repede.👍❤️
Paul P
utilizator Android
Te ajută foarte bine la teme acest robot,recomand!
David K
utilizator iOS
Aplicația e grozavă! Tot ce trebuie să fac este să introduc subiectul în bara de căutare și primesc răspunsul foarte rapid. Nu mai trebuie să mă uit la 10 videoclipuri pe YouTube pentru a înțelege ceva, deci îmi economisesc timpul. Super recomandat!
Sudenaz Ocak
utilizator Android
La școală eram chiar slab la matematică, dar datorită aplicației, mă descurc mai bine acum. Sunt atât de recunoscător că ai creat aplicația.
Greenlight Bonnie
utilizator Android
Această aplicație e super interesantă și seamănă ca tiktok-ul doar că tu ai doar teorie și explicații.
Karla S
utilizator Android
Nu mai trebuie să stau cu orele să învăț după caiet când pot să citesc de 2 ori lecțiile care apar aici și iau 10 la test ! Knowunity m-a ajutat să iau nota 9,20 la română ! Voi recomanda ff tare aceasta aplicate , să nu uităm ca are și chat GPT !👍🏻
Denisa B
utilizator iOS
CHESTIONARELE ȘI FLASHCARD-URILE SUNT ATÂT DE UTILE ȘI IUBESC Knowunity AI. E LITERALMENTE CA CHATGPT DOAR CĂ MAI DEȘTEPT!! M-A AJUTAT ȘI CU PROBLEMELE MELE CU MASCARA!! PLUS CU MATERIILE MELE ADEVĂRATE! EVIDENT 😍😁😲🤑💗✨🎀😮
Sarah L
utilizator Android
Este foarte bună te ajută la teme te face să înțelegi lecțiile am înțeles o lecție în 20 de minute i singură nu reușeam să o învăț dar cu Knowunity am învățat-o foarte ușor
Alessia V
utilizator iOS
Aplicația este foarte ușor de utilizat și bine concepută. Am găsit tot ce căutam până acum și am reușit să învăț multe din prezentări! Cu siguranță voi folosi aplicația pentru o temă la clasă! Și desigur, ajută mult ca sursă de inspirație.
Ștefan S
utilizator iOS
Această aplicație este super. Sunt atât de multe materiale de studiu și ajutor pentru elevi [...]. Materia mea mai problematică este franceza, de exemplu, și aplicația oferă foarte multe materiale ajutătoare. Mulțumită acestei aplicații, mi-am îmbunătățit franceza. Aș recomanda-o oricui.
Samantha Klich
utilizator Android
Wow, sunt cu adevărat impresionat. Am încercat aplicația pentru că am văzut-o promovată de multe ori și am rămas uimit. Aceasta este AJUTORUL de care ai nevoie pentru școală și, mai presus de toate, oferă atât de multe lucruri, precum exerciții și fișe de informații, care mi-au fost FOARTE de ajutor.
Anna
utilizator iOS
Te ajută să înveți foarte repede și ști foarte bine ce ai dori tu să înveți, vă recomand cu drag să încercați și să învățați mai repede.!
Thomas R
utilizator iOS
Foarte bună aplicația!!!! Mă ajută să înțeleg mult mai bine lecțiile și temele le termin mult mai repede.👍❤️
Paul P
utilizator Android
Te ajută foarte bine la teme acest robot,recomand!
David K
utilizator iOS
Aplicația e grozavă! Tot ce trebuie să fac este să introduc subiectul în bara de căutare și primesc răspunsul foarte rapid. Nu mai trebuie să mă uit la 10 videoclipuri pe YouTube pentru a înțelege ceva, deci îmi economisesc timpul. Super recomandat!
Sudenaz Ocak
utilizator Android
La școală eram chiar slab la matematică, dar datorită aplicației, mă descurc mai bine acum. Sunt atât de recunoscător că ai creat aplicația.
Greenlight Bonnie
utilizator Android
Această aplicație e super interesantă și seamănă ca tiktok-ul doar că tu ai doar teorie și explicații.
Karla S
utilizator Android
Nu mai trebuie să stau cu orele să învăț după caiet când pot să citesc de 2 ori lecțiile care apar aici și iau 10 la test ! Knowunity m-a ajutat să iau nota 9,20 la română ! Voi recomanda ff tare aceasta aplicate , să nu uităm ca are și chat GPT !👍🏻
Denisa B
utilizator iOS
CHESTIONARELE ȘI FLASHCARD-URILE SUNT ATÂT DE UTILE ȘI IUBESC Knowunity AI. E LITERALMENTE CA CHATGPT DOAR CĂ MAI DEȘTEPT!! M-A AJUTAT ȘI CU PROBLEMELE MELE CU MASCARA!! PLUS CU MATERIILE MELE ADEVĂRATE! EVIDENT 😍😁😲🤑💗✨🎀😮
Sarah L
utilizator Android
Este foarte bună te ajută la teme te face să înțelegi lecțiile am înțeles o lecție în 20 de minute i singură nu reușeam să o învăț dar cu Knowunity am învățat-o foarte ușor
Alessia V
utilizator iOS
matei
@mateiq
Alcanii reprezintă o clasă fundamentală de hidrocarburi saturate cu legături simple între atomi de carbon. Ei sunt compuși chimici formați doar din carbon și hidrogen, având o reactivitate redusă, motiv pentru care sunt numiți și parafine. Acest ghid te va... Afișează mai mult

Acces la toate documentele
Îmbunătățește notele tale!
Alătură-te milioanelor de elevi
Alcanii sunt hidrocarburi saturate aciclice care pot avea catenă liniară sau ramificată. Moleculele lor conțin doar legături simple C-C și C-H, fiind complet saturate (fără legături duble sau triple).
Formula generală a alcanilor este CnH2n+2 (unde n≥1), deoarece au număr de echivalenți NE=0. Raportul molar dintre carbon și hidrogen este C:H = n:2n+2, un aspect important de reținut pentru probleme.
Primii patru alcani au denumiri specifice pe care trebuie să le memorezi:
⚡ Sfat util: Pentru a verifica rapid dacă ai scris corect formula unui alcan, numără atomii de H - ar trebui să fie întotdeauna cu 2 mai mulți decât dublul numărului de atomi de C!

Acces la toate documentele
Îmbunătățește notele tale!
Alătură-te milioanelor de elevi
Alcanii cu cel puțin 5 atomi de carbon în moleculă se denumesc prin adăugarea sufixului "-an" la rădăcina care indică numărul de atomi de carbon .
Astfel, pentru alcanii liniari , denumirea este simplă:
Reține că prefixul "n-" (normal) se folosește uneori pentru a specifica alcanii cu catena liniară, de exemplu: n-butan, n-pentan.
Când vom discuta alcanii ramificați, vom vedea că aplicarea regulilor IUPAC devine mai complexă.
🔑 Reține: Denumirea alcanilor urmează regula "rădăcină + an", unde rădăcina indică numărul de atomi de carbon din catena principală.

Acces la toate documentele
Îmbunătățește notele tale!
Alătură-te milioanelor de elevi
Radicalii de hidrocarburi se obțin prin îndepărtarea unuia sau mai multor atomi de hidrogen din molecula unei hidrocarburi. Ei sunt foarte importanți pentru a înțelege denumirea compușilor organici mai complecși.
Radicalii monovalenți (alchil) se obțin prin îndepărtarea unui atom de hidrogen și se denumesc înlocuind sufixul "-an" cu "-il". Exemple importante:
Pentru butan avem mai mulți radicali posibili:
📌 Important: Diferența dintre radicalii "n-", "sec-", "izo-" și "tert-" este dată de poziția atomului de C de care este legată valența liberă!

Acces la toate documentele
Îmbunătățește notele tale!
Alătură-te milioanelor de elevi
Radicalii divalenți se obțin prin îndepărtarea a doi atomi de hidrogen din molecula unui alcan. Denumirea lor depinde de poziția valențelor libere.
Când valențele libere sunt la același atom de carbon, denumirea se formează înlocuind sufixul "-an" cu "-iliden":
Când valențele libere sunt la atomi de carbon diferiți, folosim sufixul "-ilen":
Acești radicali sunt frecvent întâlniți în structura compușilor organici mai complecși și în reacții organice.
💡 Sfat: Observă diferența dintre sufixele "-iliden" (valențe libere la același atom de C) și "-ilen" (valențe libere la atomi de C diferiți)!

Acces la toate documentele
Îmbunătățește notele tale!
Alătură-te milioanelor de elevi
Radicalii trivalenți se obțin prin îndepărtarea a trei atomi de hidrogen din molecula unei hidrocarburi. Nomenclatura lor urmează reguli similare cu radicalii divalenți.
Când toate cele trei valențe libere sunt la același atom de carbon, se folosesc sufixele "-in" sau "-idin":
Când valențele libere sunt la atomi de carbon diferiți, se specifică pozițiile prin indicii numerici:
Acești radicali sunt mai puțin frecvenți decât cei mono- și divalenți, dar sunt importanți pentru înțelegerea structurii unor compuși organici complecși.
🔍 Observație: Cu cât numărul de valențe libere crește, cu atât radicalul devine mai reactiv și mai instabil în stare liberă!

Acces la toate documentele
Îmbunătățește notele tale!
Alătură-te milioanelor de elevi
Izomerii de catenă sunt alcani cu aceeași formulă moleculară, dar care diferă prin forma catenei (liniară sau ramificată). Alcanii cu cel puțin 4 atomi de carbon prezintă izomerie de catenă.
Pentru formula C4H10 există doi izomeri:
Pentru C5H12 avem trei izomeri:
Cu creșterea numărului de atomi de carbon, numărul de izomeri crește exponențial. De exemplu, pentru C10H22 există 75 de izomeri posibili!
⭐ Conceptul cheie: Cu cât crește numărul de atomi de C, cu atât crește dramatic numărul de izomeri de catenă posibili!

Acces la toate documentele
Îmbunătățește notele tale!
Alătură-te milioanelor de elevi
Pentru denumirea alcanilor ramificați conform regulilor IUPAC, urmează acești pași:
Pasul 1: Identifică cea mai lungă catenă de atomi de carbon (catena de bază). Dacă există două catene cu același număr maxim de atomi, alege-o pe cea cu mai multe ramificații.
Pasul 2: Numerotează atomii de carbon din catena de bază astfel încât suma indicilor de poziție pentru ramificații să fie minimă.
Pasul 3: Denumește compusul menționând radicalii (ramificațiile) în ordine alfabetică, precedați de indicii lor de poziție și de prefixele di-, tri-, tetra- etc. (dacă apar de mai multe ori).
De exemplu, pentru compusul:
CH₃-CH₂
|
CH₃-CH-CH₂-CH₂
|
CH₃
Denumirea este 3-etil-2,3,4-trimetilhexan, deoarece:
🧩 Trucul meu: Imaginează-ți catena principală ca o autostradă și ramificațiile ca niște drumuri laterale. Numeri "kilometrii" de pe autostradă astfel încât "drumurile laterale" să fie cât mai aproape de început!

Acces la toate documentele
Îmbunătățește notele tale!
Alătură-te milioanelor de elevi
Starea de agregare a alcanilor depinde de numărul de atomi de carbon:
Punctele de fierbere și de topire cresc odată cu numărul de atomi de carbon. Dintre izomeri, cei cu catenă ramificată au puncte de fierbere mai mici decât izomerii liniari .
Solubilitatea: alcanii sunt insolubili în apă , dar sunt solubili în solvenți nepolari precum CCl₄, CS₂, benzen sau toluen.
Densitatea: alcanii lichizi și solizi au densitate mai mică decât apa, motiv pentru care plutesc pe apă (important pentru accidentele cu petrol!).
🌊 Aplicație practică: Datorită densității mai mici decât a apei și insolubilității, petrolul (amestec de hidrocarburi) formează pete la suprafața apei în caz de scurgeri, ceea ce face dificilă curățarea oceanelor după dezastre!

Acces la toate documentele
Îmbunătățește notele tale!
Alătură-te milioanelor de elevi
Alcanii sunt numiți și parafine datorită reactivității scăzute. Legăturile C-C și C-H sunt foarte stabile, ceea ce explică inerția lor chimică. Totuși, în condiții energice, ei pot participa la anumite reacții:
I. Reacția de substituție implică înlocuirea unui atom de H din molecula unui alcan cu un alt atom sau o grupare de atomi: R-H + A-B → R-B + H-A
II. Reacția de halogenare este o reacție de substituție caracteristică alcanilor, în care un atom de H este înlocuit cu un halogen (Cl sau Br). Aceasta poate avea loc:
De exemplu, clorurarea metanului: CH₄ + Cl₂ → CH₃Cl + HCl
🔥 Atenție: Reactivitatea atomilor de H din molecula unui alcan scade în ordinea: H-(terțiar) > H-(secundar) > H-(primar), ceea ce explică de ce halogenarea poate da amestecuri de produși când există diferiți atomi de H!

Acces la toate documentele
Îmbunătățește notele tale!
Alătură-te milioanelor de elevi
În reacțiile de halogenare, proporțiile produșilor depind de tipul atomilor de hidrogen care sunt înlocuiți. Iată câteva exemple:
Bromurarea propanului: H₃C-CH₂-CH₃ + Br₂ → H₃C-CH₂-CH₂-Br + H₃C-CH-CH₃ | Br
Observăm că se formează predominant 2-bromopropan, deoarece atomul de H secundar este mai reactiv.
III. Reacția de izomerizare
Această reacție constă în transformarea reversibilă a unui alcan într-un izomer al său, în prezența unui catalizator (AlCl₃ sau AlBr₃) și a urmelor de apă, la 50-100°C:
n-butan ⟷ izobutan H₃C-CH₂-CH₂-CH₃ ⟷ H₃C-CH-CH₃ | CH₃
Reacția de izomerizare este folosită în industria petrolieră pentru a obține alcani ramificați care au cifra octanică mai mare, îmbunătățind calitatea combustibililor.
🚗 Aplicație practică: Izomerizarea este esențială în industria petrolieră pentru obținerea benzinei cu cifră octanică ridicată, care previne detonarea prematură în motoare și asigură o funcționare mai eficientă!

Acces la toate documentele
Îmbunătățește notele tale!
Alătură-te milioanelor de elevi

Acces la toate documentele
Îmbunătățește notele tale!
Alătură-te milioanelor de elevi

Acces la toate documentele
Îmbunătățește notele tale!
Alătură-te milioanelor de elevi

Acces la toate documentele
Îmbunătățește notele tale!
Alătură-te milioanelor de elevi

Acces la toate documentele
Îmbunătățește notele tale!
Alătură-te milioanelor de elevi
Companionul nostru AI este creat special pentru nevoile studenților. Bazându-ne pe milioanele de materiale de pe platformă, putem oferi răspunsuri exacte și relevante pentru studenți. Dar nu este vorba doar despre răspunsuri, companionul este mai ales despre ghidarea studenților prin provocările zilnice de învățare, cu planuri de studiu personalizate, chestionare sau conținuturi în chat și personalizare 100% bazată pe abilitățile și evoluțiile studenților.
Aplicația este disponibilă în Google Play Store și Apple App Store.
Da! Bucură-te de access la materiale de studiu, conectează-te cu alți elevi, și primește ajutor instant - toate acestea la un click distanță. În plus, câștigă puncte ca să deblochezi mai multe funcționalități!
1
Instrumente inteligente NOU
Transformă această notiță în: ✓ 50+ întrebări de exersare ✓ Flashcard-uri interactive ✓ Examen de practică complet ✓ Planuri de eseu
Sintetizat
App Store
Google Play
Aplicația este foarte ușor de utilizat și bine concepută. Am găsit tot ce căutam până acum și am reușit să învăț multe din prezentări! Cu siguranță voi folosi aplicația pentru o temă la clasă! Și desigur, ajută mult ca sursă de inspirație.
Ștefan S
utilizator iOS
Această aplicație este super. Sunt atât de multe materiale de studiu și ajutor pentru elevi [...]. Materia mea mai problematică este franceza, de exemplu, și aplicația oferă foarte multe materiale ajutătoare. Mulțumită acestei aplicații, mi-am îmbunătățit franceza. Aș recomanda-o oricui.
Samantha Klich
utilizator Android
Wow, sunt cu adevărat impresionat. Am încercat aplicația pentru că am văzut-o promovată de multe ori și am rămas uimit. Aceasta este AJUTORUL de care ai nevoie pentru școală și, mai presus de toate, oferă atât de multe lucruri, precum exerciții și fișe de informații, care mi-au fost FOARTE de ajutor.
Anna
utilizator iOS
Te ajută să înveți foarte repede și ști foarte bine ce ai dori tu să înveți, vă recomand cu drag să încercați și să învățați mai repede.!
Thomas R
utilizator iOS
Foarte bună aplicația!!!! Mă ajută să înțeleg mult mai bine lecțiile și temele le termin mult mai repede.👍❤️
Paul P
utilizator Android
Te ajută foarte bine la teme acest robot,recomand!
David K
utilizator iOS
Aplicația e grozavă! Tot ce trebuie să fac este să introduc subiectul în bara de căutare și primesc răspunsul foarte rapid. Nu mai trebuie să mă uit la 10 videoclipuri pe YouTube pentru a înțelege ceva, deci îmi economisesc timpul. Super recomandat!
Sudenaz Ocak
utilizator Android
La școală eram chiar slab la matematică, dar datorită aplicației, mă descurc mai bine acum. Sunt atât de recunoscător că ai creat aplicația.
Greenlight Bonnie
utilizator Android
Această aplicație e super interesantă și seamănă ca tiktok-ul doar că tu ai doar teorie și explicații.
Karla S
utilizator Android
Nu mai trebuie să stau cu orele să învăț după caiet când pot să citesc de 2 ori lecțiile care apar aici și iau 10 la test ! Knowunity m-a ajutat să iau nota 9,20 la română ! Voi recomanda ff tare aceasta aplicate , să nu uităm ca are și chat GPT !👍🏻
Denisa B
utilizator iOS
CHESTIONARELE ȘI FLASHCARD-URILE SUNT ATÂT DE UTILE ȘI IUBESC Knowunity AI. E LITERALMENTE CA CHATGPT DOAR CĂ MAI DEȘTEPT!! M-A AJUTAT ȘI CU PROBLEMELE MELE CU MASCARA!! PLUS CU MATERIILE MELE ADEVĂRATE! EVIDENT 😍😁😲🤑💗✨🎀😮
Sarah L
utilizator Android
Este foarte bună te ajută la teme te face să înțelegi lecțiile am înțeles o lecție în 20 de minute i singură nu reușeam să o învăț dar cu Knowunity am învățat-o foarte ușor
Alessia V
utilizator iOS
Aplicația este foarte ușor de utilizat și bine concepută. Am găsit tot ce căutam până acum și am reușit să învăț multe din prezentări! Cu siguranță voi folosi aplicația pentru o temă la clasă! Și desigur, ajută mult ca sursă de inspirație.
Ștefan S
utilizator iOS
Această aplicație este super. Sunt atât de multe materiale de studiu și ajutor pentru elevi [...]. Materia mea mai problematică este franceza, de exemplu, și aplicația oferă foarte multe materiale ajutătoare. Mulțumită acestei aplicații, mi-am îmbunătățit franceza. Aș recomanda-o oricui.
Samantha Klich
utilizator Android
Wow, sunt cu adevărat impresionat. Am încercat aplicația pentru că am văzut-o promovată de multe ori și am rămas uimit. Aceasta este AJUTORUL de care ai nevoie pentru școală și, mai presus de toate, oferă atât de multe lucruri, precum exerciții și fișe de informații, care mi-au fost FOARTE de ajutor.
Anna
utilizator iOS
Te ajută să înveți foarte repede și ști foarte bine ce ai dori tu să înveți, vă recomand cu drag să încercați și să învățați mai repede.!
Thomas R
utilizator iOS
Foarte bună aplicația!!!! Mă ajută să înțeleg mult mai bine lecțiile și temele le termin mult mai repede.👍❤️
Paul P
utilizator Android
Te ajută foarte bine la teme acest robot,recomand!
David K
utilizator iOS
Aplicația e grozavă! Tot ce trebuie să fac este să introduc subiectul în bara de căutare și primesc răspunsul foarte rapid. Nu mai trebuie să mă uit la 10 videoclipuri pe YouTube pentru a înțelege ceva, deci îmi economisesc timpul. Super recomandat!
Sudenaz Ocak
utilizator Android
La școală eram chiar slab la matematică, dar datorită aplicației, mă descurc mai bine acum. Sunt atât de recunoscător că ai creat aplicația.
Greenlight Bonnie
utilizator Android
Această aplicație e super interesantă și seamănă ca tiktok-ul doar că tu ai doar teorie și explicații.
Karla S
utilizator Android
Nu mai trebuie să stau cu orele să învăț după caiet când pot să citesc de 2 ori lecțiile care apar aici și iau 10 la test ! Knowunity m-a ajutat să iau nota 9,20 la română ! Voi recomanda ff tare aceasta aplicate , să nu uităm ca are și chat GPT !👍🏻
Denisa B
utilizator iOS
CHESTIONARELE ȘI FLASHCARD-URILE SUNT ATÂT DE UTILE ȘI IUBESC Knowunity AI. E LITERALMENTE CA CHATGPT DOAR CĂ MAI DEȘTEPT!! M-A AJUTAT ȘI CU PROBLEMELE MELE CU MASCARA!! PLUS CU MATERIILE MELE ADEVĂRATE! EVIDENT 😍😁😲🤑💗✨🎀😮
Sarah L
utilizator Android
Este foarte bună te ajută la teme te face să înțelegi lecțiile am înțeles o lecție în 20 de minute i singură nu reușeam să o învăț dar cu Knowunity am învățat-o foarte ușor
Alessia V
utilizator iOS