Chimia organică explorează compoziția și proprietățile substanțelor formate din compuși... Afișează mai mult
Înscrie-te pentru a vedea CONȚINUTULE gratuit!
Acces la toate documentele
Îmbunătățește notele tale!
Alătură-te milioanelor de elevi
Knowunity AI
Mai mult
Materii
Triangle Congruence and Similarity Theorems
Triangle Properties and Classification
Linear Equations and Graphs
Geometric Angle Relationships
Trigonometric Functions and Identities
Equation Solving Techniques
Circle Geometry Fundamentals
Division Operations and Methods
Basic Differentiation Rules
Exponent and Logarithm Properties
Afișează toate materiile
Human Organ Systems
Reproductive Cell Cycles
Biological Sciences Subdisciplines
Cellular Energy Metabolism
Autotrophic Energy Processes
Inheritance Patterns and Principles
Biomolecular Structure and Organization
Cell Cycle and Division Mechanics
Cellular Organization and Development
Biological Structural Organization
Afișează toate materiile
Chemical Sciences and Applications
Atomic Structure and Composition
Molecular Electron Structure Representation
Atomic Electron Behavior
Matter Properties and Water
Mole Concept and Calculations
Gas Laws and Behavior
Periodic Table Organization
Chemical Thermodynamics Fundamentals
Chemical Bond Types and Properties
Afișează toate materiile
European Renaissance and Enlightenment
European Cultural Movements 800-1920
American Revolution Era 1763-1797
American Civil War 1861-1865
Global Imperial Systems
Mongol and Chinese Dynasties
U.S. Presidents and World Leaders
Historical Sources and Documentation
World Wars Era and Impact
World Religious Systems
Afișează toate materiile
Classic and Contemporary Novels
Literary Character Analysis
Rhetorical Theory and Practice
Classic Literary Narratives
Reading Analysis and Interpretation
Narrative Structure and Techniques
English Language Components
Influential English-Language Authors
Basic Sentence Structure
Narrative Voice and Perspective
Afișează toate materiile
114
•
Actualizat May 19, 2026
•
Denisa-Daniela Gheorghe
@denisadanielagh
Chimia organică explorează compoziția și proprietățile substanțelor formate din compuși... Afișează mai mult










Substanțele organice sunt peste tot în jurul nostru! Le găsim în două mari categorii: naturale (zahăride, proteine, grăsimi, vitamine) și de sinteză (săpunuri, medicamente, detergenți, parfumuri). Aceste substanțe provin din plante, animale, petrol, cărbune și gaze naturale.
În compoziția substanțelor organice, elementele principale sunt carbonul (C), hidrogenul (H), oxigenul (O) și azotul (N), numite elemente organogene. Mai pot apărea și halogeni (F, Cl, Br, I), sulf (S), fosfor (P) și unele metale (Na, K, Fe, Mg).
Hidrocarburile sunt compușii formați doar din carbon și hidrogen, având formule generale precum CₓH₂ₓ₊₂, CₓH₂ₓ sau CₓH₂ₓ₋₂. Când o hidrocarbură conține și alte elemente, apare o grupă funcțională care dă proprietăți specifice substanței.
💡 Chimia organică se poate defini simplu ca fiind chimia hidrocarburilor și a derivaților lor. Ceea ce unește toate aceste substanțe este prezența legăturilor covalente, formate prin punerea în comun de electroni între atomi.

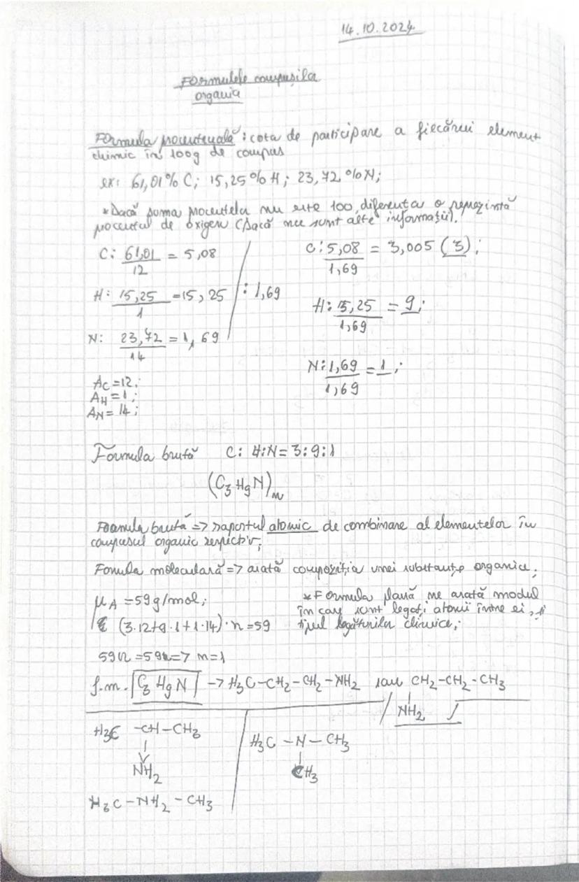
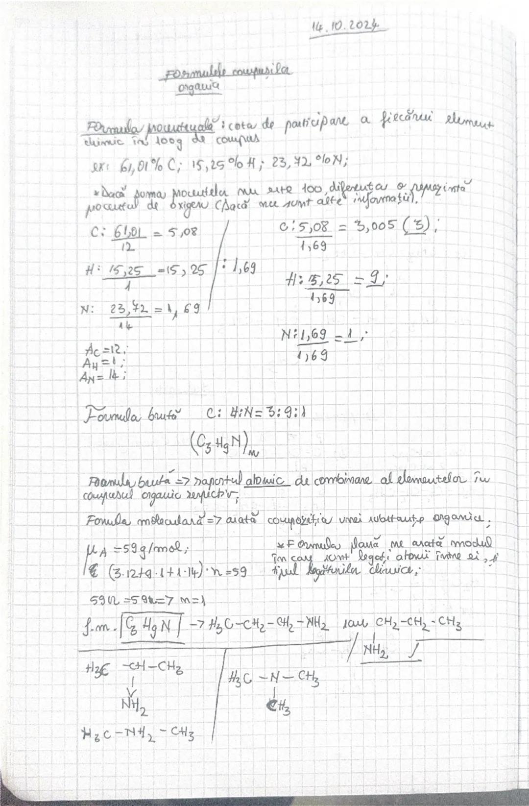
Cum descrii compoziția unei substanțe organice? Există mai multe tipuri de formule care te ajută să înțelegi structura și proprietățile compușilor.
Formula procentuală arată cota de participare a fiecărui element chimic în 100 g de compus. De exemplu, dacă un compus are 61,01% C, 15,25% H și 23,72% N, poți calcula raportul atomic între elemente și vei obține formula brută.
Formula brută indică raportul atomic de combinare al elementelor în compusul respectiv. Pentru compusul de mai sus, raportul atomic C:H:N = 3:9:1, deci formula brută este C₃H₉N.
Formula moleculară arată compoziția exactă a unei molecule, calculată cu ajutorul masei moleculare. De exemplu, pentru compusul anterior, dacă masa moleculară este 59 g/mol, formula moleculară va fi C₃H₉N.
🔍 Formula plană este deosebit de importantă deoarece arată modul în care atomii sunt legați între ei. Un compus cu formula C₃H₉N poate avea structuri diferite, cum ar fi: H₃C-CH₂-CH₂-NH₂, H₃C-CH(NH₂)-CH₃ sau H₃C-N(CH₃)-CH₃.

Te-ai întrebat vreodată din ce sunt făcute combustibilile pe care le folosim zilnic? Alcanii sunt hidrocarburi saturate, adică au doar legături simple între atomi de carbon și legături carbon-hidrogen .
Alcanii pot avea catenă liniară sau ramificată (izoalcani) și respectă formula generală C₍ₙ₎H₍₂ₙ₊₂₎. Primii termeni ai seriei sunt metanul (CH₄), etanul (C₂H₆), propanul (C₃H₈) și butanul (C₄H₁₀).
Termenii unei serii de alcani formează o serie omologă - compuși care diferă între ei printr-o grupare CH₂ (numită diferență omologă). Când crește numărul de atomi de carbon, cresc și proprietățile precum punctul de fierbere.
Radicalii sunt resturi obținute dintr-un alcan prin îndepărtarea unuia sau mai multor atomi de hidrogen. Cei mai importanți radicali monovalenți sunt: metil , etil și propil sau izopropil .
⚠️ Învață primii termeni ai seriei alcanilor și radicalii lor principali - vei avea nevoie de ei pentru a denumi corect compușii organici mai complicați!

Proprietățile fizice ale alcanilor sunt influențate direct de structura lor moleculară. Deoarece legăturile C-C și C-H sunt covalente nepolare, între molecule există doar interacțiuni slabe (forțe de dispersie). Asta explică de ce alcanii au puncte de fierbere și topire scăzute.
În seria omologă a n-alcanilor, punctele de fierbere cresc cu 20-30°C pentru fiecare atom de carbon adăugat. Primii patru termeni sunt gaze în condiții normale, termenii medii sunt lichizi, iar cei superiori (peste C₁₅) sunt solizi.
Alcanii sunt insolubili în apă dar se dizolvă bine în solvenți organici nepolari. Au densitate mai mică decât apa și plutesc deasupra acesteia. Nu au miros caracteristic, de aceea gazelor naturale li se adaugă compuși cu miros puternic (mercaptani) pentru a putea fi detectate scurgerile.
Din punct de vedere al reactivității chimice, alcanii pot participa la:
🔥 Deși sunt considerați compuși mai puțin reactivi, alcanii sunt foarte buni combustibili tocmai datorită reacțiilor lor de ardere care eliberează cantități mari de energie!

După alcani, urmează o familie de hidrocarburi mult mai reactive - alchenele. Acestea sunt hidrocarburi nesaturate care conțin o legătură dublă între doi atomi de carbon , restul legăturilor fiind simple.
Formula generală a alchenelor este C₍ₙ₎H₍₂ₙ₎, cu două atomi de hidrogen mai puțin decât alcanii corespunzători. Primii membri ai seriei sunt etena (C₂H₄), propena (C₃H₆), butena (C₄H₈) și pentena (C₅H₁₀).
Cei mai importanți radicali derivați din alchene sunt radicalul vinil și radicalul alil . Acești radicali sunt esențiali pentru formarea multor compuși organici, inclusiv materiale plastice.
Alchenele prezintă un fenomen important: izomeria. Izomerii sunt compuși cu aceeași formulă moleculară, dar cu structuri diferite. De exemplu, butena (C₄H₈) poate exista ca 1-butenă sau 2-butenă, în funcție de poziția legăturii duble.
💡 Legătura dublă C=C face alchenele mult mai reactive decât alcanii și determină multe din proprietățile lor chimice și fizice. De aceea, alchenele sunt materii prime importante în industria chimică!

Alchenele prezintă tipuri de izomerie mai complexe decât alcanii, ceea ce face acest grup de compuși deosebit de interesant.
Izomeria de poziție apare când legătura dublă poate ocupa poziții diferite de-a lungul catenei. De exemplu, o hidrocarbură C₅H₁₀ poate fi 1-pentenă (cu legătura dublă între atomii de carbon 1 și 2) sau 2-pentenă (cu legătura dublă între atomii 2 și 3).
Izomeria de catenă apare datorită ramificării catenei principale. Același C₅H₁₀ poate exista ca 3-metil-1-butenă, 2-metil-2-butenă sau 2-metil-1-butenă, fiecare având proprietăți diferite.
Pentru butena (C₄H₈), pot exista:
🧪 Când desenezi structura unei alchene, numerotarea catenei începe întotdeauna de la capătul cel mai apropiat de legătura dublă. Acest lucru te ajută să determini corect numele compusului!



Companionul nostru AI este creat special pentru nevoile studenților. Bazându-ne pe milioanele de materiale de pe platformă, putem oferi răspunsuri exacte și relevante pentru studenți. Dar nu este vorba doar despre răspunsuri, companionul este mai ales despre ghidarea studenților prin provocările zilnice de învățare, cu planuri de studiu personalizate, chestionare sau conținuturi în chat și personalizare 100% bazată pe abilitățile și evoluțiile studenților.
Aplicația este disponibilă în Google Play Store și Apple App Store.
Da! Bucură-te de access la materiale de studiu, conectează-te cu alți elevi, și primește ajutor instant - toate acestea la un click distanță. În plus, câștigă puncte ca să deblochezi mai multe funcționalități!
App Store
Google Play
Aplicația este foarte ușor de utilizat și bine concepută. Am găsit tot ce căutam până acum și am reușit să învăț multe din prezentări! Cu siguranță voi folosi aplicația pentru o temă la clasă! Și desigur, ajută mult ca sursă de inspirație.
Ștefan S
utilizator iOS
Această aplicație este super. Sunt atât de multe materiale de studiu și ajutor pentru elevi [...]. Materia mea mai problematică este franceza, de exemplu, și aplicația oferă foarte multe materiale ajutătoare. Mulțumită acestei aplicații, mi-am îmbunătățit franceza. Aș recomanda-o oricui.
Samantha Klich
utilizator Android
Wow, sunt cu adevărat impresionat. Am încercat aplicația pentru că am văzut-o promovată de multe ori și am rămas uimit. Aceasta este AJUTORUL de care ai nevoie pentru școală și, mai presus de toate, oferă atât de multe lucruri, precum exerciții și fișe de informații, care mi-au fost FOARTE de ajutor.
Anna
utilizator iOS
Te ajută să înveți foarte repede și ști foarte bine ce ai dori tu să înveți, vă recomand cu drag să încercați și să învățați mai repede.!
Thomas R
utilizator iOS
Foarte bună aplicația!!!! Mă ajută să înțeleg mult mai bine lecțiile și temele le termin mult mai repede.👍❤️
Paul P
utilizator Android
Te ajută foarte bine la teme acest robot,recomand!
David K
utilizator iOS
Aplicația e grozavă! Tot ce trebuie să fac este să introduc subiectul în bara de căutare și primesc răspunsul foarte rapid. Nu mai trebuie să mă uit la 10 videoclipuri pe YouTube pentru a înțelege ceva, deci îmi economisesc timpul. Super recomandat!
Sudenaz Ocak
utilizator Android
La școală eram chiar slab la matematică, dar datorită aplicației, mă descurc mai bine acum. Sunt atât de recunoscător că ai creat aplicația.
Greenlight Bonnie
utilizator Android
Această aplicație e super interesantă și seamănă ca tiktok-ul doar că tu ai doar teorie și explicații.
Karla S
utilizator Android
Nu mai trebuie să stau cu orele să învăț după caiet când pot să citesc de 2 ori lecțiile care apar aici și iau 10 la test ! Knowunity m-a ajutat să iau nota 9,20 la română ! Voi recomanda ff tare aceasta aplicate , să nu uităm ca are și chat GPT !👍🏻
Denisa B
utilizator iOS
CHESTIONARELE ȘI FLASHCARD-URILE SUNT ATÂT DE UTILE ȘI IUBESC Knowunity AI. E LITERALMENTE CA CHATGPT DOAR CĂ MAI DEȘTEPT!! M-A AJUTAT ȘI CU PROBLEMELE MELE CU MASCARA!! PLUS CU MATERIILE MELE ADEVĂRATE! EVIDENT 😍😁😲🤑💗✨🎀😮
Sarah L
utilizator Android
Este foarte bună te ajută la teme te face să înțelegi lecțiile am înțeles o lecție în 20 de minute i singură nu reușeam să o învăț dar cu Knowunity am învățat-o foarte ușor
Alessia V
utilizator iOS
Aplicația este foarte ușor de utilizat și bine concepută. Am găsit tot ce căutam până acum și am reușit să învăț multe din prezentări! Cu siguranță voi folosi aplicația pentru o temă la clasă! Și desigur, ajută mult ca sursă de inspirație.
Ștefan S
utilizator iOS
Această aplicație este super. Sunt atât de multe materiale de studiu și ajutor pentru elevi [...]. Materia mea mai problematică este franceza, de exemplu, și aplicația oferă foarte multe materiale ajutătoare. Mulțumită acestei aplicații, mi-am îmbunătățit franceza. Aș recomanda-o oricui.
Samantha Klich
utilizator Android
Wow, sunt cu adevărat impresionat. Am încercat aplicația pentru că am văzut-o promovată de multe ori și am rămas uimit. Aceasta este AJUTORUL de care ai nevoie pentru școală și, mai presus de toate, oferă atât de multe lucruri, precum exerciții și fișe de informații, care mi-au fost FOARTE de ajutor.
Anna
utilizator iOS
Te ajută să înveți foarte repede și ști foarte bine ce ai dori tu să înveți, vă recomand cu drag să încercați și să învățați mai repede.!
Thomas R
utilizator iOS
Foarte bună aplicația!!!! Mă ajută să înțeleg mult mai bine lecțiile și temele le termin mult mai repede.👍❤️
Paul P
utilizator Android
Te ajută foarte bine la teme acest robot,recomand!
David K
utilizator iOS
Aplicația e grozavă! Tot ce trebuie să fac este să introduc subiectul în bara de căutare și primesc răspunsul foarte rapid. Nu mai trebuie să mă uit la 10 videoclipuri pe YouTube pentru a înțelege ceva, deci îmi economisesc timpul. Super recomandat!
Sudenaz Ocak
utilizator Android
La școală eram chiar slab la matematică, dar datorită aplicației, mă descurc mai bine acum. Sunt atât de recunoscător că ai creat aplicația.
Greenlight Bonnie
utilizator Android
Această aplicație e super interesantă și seamănă ca tiktok-ul doar că tu ai doar teorie și explicații.
Karla S
utilizator Android
Nu mai trebuie să stau cu orele să învăț după caiet când pot să citesc de 2 ori lecțiile care apar aici și iau 10 la test ! Knowunity m-a ajutat să iau nota 9,20 la română ! Voi recomanda ff tare aceasta aplicate , să nu uităm ca are și chat GPT !👍🏻
Denisa B
utilizator iOS
CHESTIONARELE ȘI FLASHCARD-URILE SUNT ATÂT DE UTILE ȘI IUBESC Knowunity AI. E LITERALMENTE CA CHATGPT DOAR CĂ MAI DEȘTEPT!! M-A AJUTAT ȘI CU PROBLEMELE MELE CU MASCARA!! PLUS CU MATERIILE MELE ADEVĂRATE! EVIDENT 😍😁😲🤑💗✨🎀😮
Sarah L
utilizator Android
Este foarte bună te ajută la teme te face să înțelegi lecțiile am înțeles o lecție în 20 de minute i singură nu reușeam să o învăț dar cu Knowunity am învățat-o foarte ușor
Alessia V
utilizator iOS
Denisa-Daniela Gheorghe
@denisadanielagh
Chimia organică explorează compoziția și proprietățile substanțelor formate din compuși de carbon. Aceste substanțe sunt esențiale pentru viața de zi cu zi, de la combustibili și materiale plastice până la medicamente și alimente. Vom parcurge bazele acestui domeniu fascinant și... Afișează mai mult

Acces la toate documentele
Îmbunătățește notele tale!
Alătură-te milioanelor de elevi
Substanțele organice sunt peste tot în jurul nostru! Le găsim în două mari categorii: naturale (zahăride, proteine, grăsimi, vitamine) și de sinteză (săpunuri, medicamente, detergenți, parfumuri). Aceste substanțe provin din plante, animale, petrol, cărbune și gaze naturale.
În compoziția substanțelor organice, elementele principale sunt carbonul (C), hidrogenul (H), oxigenul (O) și azotul (N), numite elemente organogene. Mai pot apărea și halogeni (F, Cl, Br, I), sulf (S), fosfor (P) și unele metale (Na, K, Fe, Mg).
Hidrocarburile sunt compușii formați doar din carbon și hidrogen, având formule generale precum CₓH₂ₓ₊₂, CₓH₂ₓ sau CₓH₂ₓ₋₂. Când o hidrocarbură conține și alte elemente, apare o grupă funcțională care dă proprietăți specifice substanței.
💡 Chimia organică se poate defini simplu ca fiind chimia hidrocarburilor și a derivaților lor. Ceea ce unește toate aceste substanțe este prezența legăturilor covalente, formate prin punerea în comun de electroni între atomi.

Acces la toate documentele
Îmbunătățește notele tale!
Alătură-te milioanelor de elevi
Cum descrii compoziția unei substanțe organice? Există mai multe tipuri de formule care te ajută să înțelegi structura și proprietățile compușilor.
Formula procentuală arată cota de participare a fiecărui element chimic în 100 g de compus. De exemplu, dacă un compus are 61,01% C, 15,25% H și 23,72% N, poți calcula raportul atomic între elemente și vei obține formula brută.
Formula brută indică raportul atomic de combinare al elementelor în compusul respectiv. Pentru compusul de mai sus, raportul atomic C:H:N = 3:9:1, deci formula brută este C₃H₉N.
Formula moleculară arată compoziția exactă a unei molecule, calculată cu ajutorul masei moleculare. De exemplu, pentru compusul anterior, dacă masa moleculară este 59 g/mol, formula moleculară va fi C₃H₉N.
🔍 Formula plană este deosebit de importantă deoarece arată modul în care atomii sunt legați între ei. Un compus cu formula C₃H₉N poate avea structuri diferite, cum ar fi: H₃C-CH₂-CH₂-NH₂, H₃C-CH(NH₂)-CH₃ sau H₃C-N(CH₃)-CH₃.

Acces la toate documentele
Îmbunătățește notele tale!
Alătură-te milioanelor de elevi
Te-ai întrebat vreodată din ce sunt făcute combustibilile pe care le folosim zilnic? Alcanii sunt hidrocarburi saturate, adică au doar legături simple între atomi de carbon și legături carbon-hidrogen .
Alcanii pot avea catenă liniară sau ramificată (izoalcani) și respectă formula generală C₍ₙ₎H₍₂ₙ₊₂₎. Primii termeni ai seriei sunt metanul (CH₄), etanul (C₂H₆), propanul (C₃H₈) și butanul (C₄H₁₀).
Termenii unei serii de alcani formează o serie omologă - compuși care diferă între ei printr-o grupare CH₂ (numită diferență omologă). Când crește numărul de atomi de carbon, cresc și proprietățile precum punctul de fierbere.
Radicalii sunt resturi obținute dintr-un alcan prin îndepărtarea unuia sau mai multor atomi de hidrogen. Cei mai importanți radicali monovalenți sunt: metil , etil și propil sau izopropil .
⚠️ Învață primii termeni ai seriei alcanilor și radicalii lor principali - vei avea nevoie de ei pentru a denumi corect compușii organici mai complicați!

Acces la toate documentele
Îmbunătățește notele tale!
Alătură-te milioanelor de elevi
Proprietățile fizice ale alcanilor sunt influențate direct de structura lor moleculară. Deoarece legăturile C-C și C-H sunt covalente nepolare, între molecule există doar interacțiuni slabe (forțe de dispersie). Asta explică de ce alcanii au puncte de fierbere și topire scăzute.
În seria omologă a n-alcanilor, punctele de fierbere cresc cu 20-30°C pentru fiecare atom de carbon adăugat. Primii patru termeni sunt gaze în condiții normale, termenii medii sunt lichizi, iar cei superiori (peste C₁₅) sunt solizi.
Alcanii sunt insolubili în apă dar se dizolvă bine în solvenți organici nepolari. Au densitate mai mică decât apa și plutesc deasupra acesteia. Nu au miros caracteristic, de aceea gazelor naturale li se adaugă compuși cu miros puternic (mercaptani) pentru a putea fi detectate scurgerile.
Din punct de vedere al reactivității chimice, alcanii pot participa la:
🔥 Deși sunt considerați compuși mai puțin reactivi, alcanii sunt foarte buni combustibili tocmai datorită reacțiilor lor de ardere care eliberează cantități mari de energie!

Acces la toate documentele
Îmbunătățește notele tale!
Alătură-te milioanelor de elevi
După alcani, urmează o familie de hidrocarburi mult mai reactive - alchenele. Acestea sunt hidrocarburi nesaturate care conțin o legătură dublă între doi atomi de carbon , restul legăturilor fiind simple.
Formula generală a alchenelor este C₍ₙ₎H₍₂ₙ₎, cu două atomi de hidrogen mai puțin decât alcanii corespunzători. Primii membri ai seriei sunt etena (C₂H₄), propena (C₃H₆), butena (C₄H₈) și pentena (C₅H₁₀).
Cei mai importanți radicali derivați din alchene sunt radicalul vinil și radicalul alil . Acești radicali sunt esențiali pentru formarea multor compuși organici, inclusiv materiale plastice.
Alchenele prezintă un fenomen important: izomeria. Izomerii sunt compuși cu aceeași formulă moleculară, dar cu structuri diferite. De exemplu, butena (C₄H₈) poate exista ca 1-butenă sau 2-butenă, în funcție de poziția legăturii duble.
💡 Legătura dublă C=C face alchenele mult mai reactive decât alcanii și determină multe din proprietățile lor chimice și fizice. De aceea, alchenele sunt materii prime importante în industria chimică!

Acces la toate documentele
Îmbunătățește notele tale!
Alătură-te milioanelor de elevi
Alchenele prezintă tipuri de izomerie mai complexe decât alcanii, ceea ce face acest grup de compuși deosebit de interesant.
Izomeria de poziție apare când legătura dublă poate ocupa poziții diferite de-a lungul catenei. De exemplu, o hidrocarbură C₅H₁₀ poate fi 1-pentenă (cu legătura dublă între atomii de carbon 1 și 2) sau 2-pentenă (cu legătura dublă între atomii 2 și 3).
Izomeria de catenă apare datorită ramificării catenei principale. Același C₅H₁₀ poate exista ca 3-metil-1-butenă, 2-metil-2-butenă sau 2-metil-1-butenă, fiecare având proprietăți diferite.
Pentru butena (C₄H₈), pot exista:
🧪 Când desenezi structura unei alchene, numerotarea catenei începe întotdeauna de la capătul cel mai apropiat de legătura dublă. Acest lucru te ajută să determini corect numele compusului!

Acces la toate documentele
Îmbunătățește notele tale!
Alătură-te milioanelor de elevi

Acces la toate documentele
Îmbunătățește notele tale!
Alătură-te milioanelor de elevi

Acces la toate documentele
Îmbunătățește notele tale!
Alătură-te milioanelor de elevi
Companionul nostru AI este creat special pentru nevoile studenților. Bazându-ne pe milioanele de materiale de pe platformă, putem oferi răspunsuri exacte și relevante pentru studenți. Dar nu este vorba doar despre răspunsuri, companionul este mai ales despre ghidarea studenților prin provocările zilnice de învățare, cu planuri de studiu personalizate, chestionare sau conținuturi în chat și personalizare 100% bazată pe abilitățile și evoluțiile studenților.
Aplicația este disponibilă în Google Play Store și Apple App Store.
Da! Bucură-te de access la materiale de studiu, conectează-te cu alți elevi, și primește ajutor instant - toate acestea la un click distanță. În plus, câștigă puncte ca să deblochezi mai multe funcționalități!
1
Instrumente inteligente NOU
Transformă această notiță în: ✓ 50+ întrebări de exersare ✓ Flashcard-uri interactive ✓ Examen de practică complet ✓ Planuri de eseu
App Store
Google Play
Aplicația este foarte ușor de utilizat și bine concepută. Am găsit tot ce căutam până acum și am reușit să învăț multe din prezentări! Cu siguranță voi folosi aplicația pentru o temă la clasă! Și desigur, ajută mult ca sursă de inspirație.
Ștefan S
utilizator iOS
Această aplicație este super. Sunt atât de multe materiale de studiu și ajutor pentru elevi [...]. Materia mea mai problematică este franceza, de exemplu, și aplicația oferă foarte multe materiale ajutătoare. Mulțumită acestei aplicații, mi-am îmbunătățit franceza. Aș recomanda-o oricui.
Samantha Klich
utilizator Android
Wow, sunt cu adevărat impresionat. Am încercat aplicația pentru că am văzut-o promovată de multe ori și am rămas uimit. Aceasta este AJUTORUL de care ai nevoie pentru școală și, mai presus de toate, oferă atât de multe lucruri, precum exerciții și fișe de informații, care mi-au fost FOARTE de ajutor.
Anna
utilizator iOS
Te ajută să înveți foarte repede și ști foarte bine ce ai dori tu să înveți, vă recomand cu drag să încercați și să învățați mai repede.!
Thomas R
utilizator iOS
Foarte bună aplicația!!!! Mă ajută să înțeleg mult mai bine lecțiile și temele le termin mult mai repede.👍❤️
Paul P
utilizator Android
Te ajută foarte bine la teme acest robot,recomand!
David K
utilizator iOS
Aplicația e grozavă! Tot ce trebuie să fac este să introduc subiectul în bara de căutare și primesc răspunsul foarte rapid. Nu mai trebuie să mă uit la 10 videoclipuri pe YouTube pentru a înțelege ceva, deci îmi economisesc timpul. Super recomandat!
Sudenaz Ocak
utilizator Android
La școală eram chiar slab la matematică, dar datorită aplicației, mă descurc mai bine acum. Sunt atât de recunoscător că ai creat aplicația.
Greenlight Bonnie
utilizator Android
Această aplicație e super interesantă și seamănă ca tiktok-ul doar că tu ai doar teorie și explicații.
Karla S
utilizator Android
Nu mai trebuie să stau cu orele să învăț după caiet când pot să citesc de 2 ori lecțiile care apar aici și iau 10 la test ! Knowunity m-a ajutat să iau nota 9,20 la română ! Voi recomanda ff tare aceasta aplicate , să nu uităm ca are și chat GPT !👍🏻
Denisa B
utilizator iOS
CHESTIONARELE ȘI FLASHCARD-URILE SUNT ATÂT DE UTILE ȘI IUBESC Knowunity AI. E LITERALMENTE CA CHATGPT DOAR CĂ MAI DEȘTEPT!! M-A AJUTAT ȘI CU PROBLEMELE MELE CU MASCARA!! PLUS CU MATERIILE MELE ADEVĂRATE! EVIDENT 😍😁😲🤑💗✨🎀😮
Sarah L
utilizator Android
Este foarte bună te ajută la teme te face să înțelegi lecțiile am înțeles o lecție în 20 de minute i singură nu reușeam să o învăț dar cu Knowunity am învățat-o foarte ușor
Alessia V
utilizator iOS
Aplicația este foarte ușor de utilizat și bine concepută. Am găsit tot ce căutam până acum și am reușit să învăț multe din prezentări! Cu siguranță voi folosi aplicația pentru o temă la clasă! Și desigur, ajută mult ca sursă de inspirație.
Ștefan S
utilizator iOS
Această aplicație este super. Sunt atât de multe materiale de studiu și ajutor pentru elevi [...]. Materia mea mai problematică este franceza, de exemplu, și aplicația oferă foarte multe materiale ajutătoare. Mulțumită acestei aplicații, mi-am îmbunătățit franceza. Aș recomanda-o oricui.
Samantha Klich
utilizator Android
Wow, sunt cu adevărat impresionat. Am încercat aplicația pentru că am văzut-o promovată de multe ori și am rămas uimit. Aceasta este AJUTORUL de care ai nevoie pentru școală și, mai presus de toate, oferă atât de multe lucruri, precum exerciții și fișe de informații, care mi-au fost FOARTE de ajutor.
Anna
utilizator iOS
Te ajută să înveți foarte repede și ști foarte bine ce ai dori tu să înveți, vă recomand cu drag să încercați și să învățați mai repede.!
Thomas R
utilizator iOS
Foarte bună aplicația!!!! Mă ajută să înțeleg mult mai bine lecțiile și temele le termin mult mai repede.👍❤️
Paul P
utilizator Android
Te ajută foarte bine la teme acest robot,recomand!
David K
utilizator iOS
Aplicația e grozavă! Tot ce trebuie să fac este să introduc subiectul în bara de căutare și primesc răspunsul foarte rapid. Nu mai trebuie să mă uit la 10 videoclipuri pe YouTube pentru a înțelege ceva, deci îmi economisesc timpul. Super recomandat!
Sudenaz Ocak
utilizator Android
La școală eram chiar slab la matematică, dar datorită aplicației, mă descurc mai bine acum. Sunt atât de recunoscător că ai creat aplicația.
Greenlight Bonnie
utilizator Android
Această aplicație e super interesantă și seamănă ca tiktok-ul doar că tu ai doar teorie și explicații.
Karla S
utilizator Android
Nu mai trebuie să stau cu orele să învăț după caiet când pot să citesc de 2 ori lecțiile care apar aici și iau 10 la test ! Knowunity m-a ajutat să iau nota 9,20 la română ! Voi recomanda ff tare aceasta aplicate , să nu uităm ca are și chat GPT !👍🏻
Denisa B
utilizator iOS
CHESTIONARELE ȘI FLASHCARD-URILE SUNT ATÂT DE UTILE ȘI IUBESC Knowunity AI. E LITERALMENTE CA CHATGPT DOAR CĂ MAI DEȘTEPT!! M-A AJUTAT ȘI CU PROBLEMELE MELE CU MASCARA!! PLUS CU MATERIILE MELE ADEVĂRATE! EVIDENT 😍😁😲🤑💗✨🎀😮
Sarah L
utilizator Android
Este foarte bună te ajută la teme te face să înțelegi lecțiile am înțeles o lecție în 20 de minute i singură nu reușeam să o învăț dar cu Knowunity am învățat-o foarte ușor
Alessia V
utilizator iOS