Alchenele sunt hidrocarburi nesaturate caracterizate de prezența unei legături duble... Afișează mai mult
Înscrie-te pentru a vedea CONȚINUTULE gratuit!
Acces la toate documentele
Îmbunătățește notele tale!
Alătură-te milioanelor de elevi
Knowunity AI
Mai mult
Materii
Triangle Congruence and Similarity Theorems
Triangle Properties and Classification
Linear Equations and Graphs
Geometric Angle Relationships
Trigonometric Functions and Identities
Equation Solving Techniques
Circle Geometry Fundamentals
Division Operations and Methods
Basic Differentiation Rules
Exponent and Logarithm Properties
Afișează toate materiile
Human Organ Systems
Reproductive Cell Cycles
Biological Sciences Subdisciplines
Cellular Energy Metabolism
Autotrophic Energy Processes
Inheritance Patterns and Principles
Biomolecular Structure and Organization
Cell Cycle and Division Mechanics
Cellular Organization and Development
Biological Structural Organization
Afișează toate materiile
Chemical Sciences and Applications
Atomic Structure and Composition
Molecular Electron Structure Representation
Atomic Electron Behavior
Matter Properties and Water
Mole Concept and Calculations
Gas Laws and Behavior
Periodic Table Organization
Chemical Thermodynamics Fundamentals
Chemical Bond Types and Properties
Afișează toate materiile
European Renaissance and Enlightenment
European Cultural Movements 800-1920
American Revolution Era 1763-1797
American Civil War 1861-1865
Global Imperial Systems
Mongol and Chinese Dynasties
U.S. Presidents and World Leaders
Historical Sources and Documentation
World Wars Era and Impact
World Religious Systems
Afișează toate materiile
Classic and Contemporary Novels
Literary Character Analysis
Rhetorical Theory and Practice
Classic Literary Narratives
Reading Analysis and Interpretation
Narrative Structure and Techniques
English Language Components
Influential English-Language Authors
Basic Sentence Structure
Narrative Voice and Perspective
Afișează toate materiile
150
•
Actualizat Mar 28, 2026
•
Cristina-Andreea
@cristina_.andr33a
Alchenele sunt hidrocarburi nesaturate caracterizate de prezența unei legături duble... Afișează mai mult



















Alchenele sunt hidrocarburi nesaturate, alifatice (nearomatice) și aciclice care conțin o legătură dublă C=C. Formula lor generală este CₙH₂ₙ, iar gradul de nesaturare este 1, indicând prezența unei legături duble sau a unui ciclu cu legături simple.
Seria omologă începe cu etena (C₂H₄) și continuă cu propena (C₃H₆), butenă (C₄H₈), pentenă (C₅H₁₀), hexenă (C₆H₁₂), și așa mai departe. Începând cu butena, apar izomeri de poziție - putem avea 1-butenă sau 2-butenă .
💡 Etena (C₂H₄) este cea mai simplă alchenă și are numeroase utilizări industriale, fiind una dintre cele mai produse substanțe chimice din lume!

Denumirea alchenelor se face înlocuind sufixul "-an" din alcan cu sufixul "-enă". Pentru a numi corect izoalchenele, trebuie să respecți câteva reguli simple:
Când numerotăm catena, poziția legăturii duble are prioritate absolută - de exemplu, o substanță ca CH₃-CH₂-CH=CH₂ poate fi numerotată de la dreapta și devine 1-butenă, nu 3-butenă.
Pentru cicloalchene, se folosește prefixul "ciclo-" urmat de numele alchenei cu același număr de atomi de carbon. Numerotarea se face "sărind peste" legătura dublă.

Alchenele prezintă patru tipuri importante de izomerie, ceea ce face clasificarea lor mai complexă:
🔍 Izomeria geometrică este specifică alchenelor deoarece legătura dublă împiedică rotația atomilor în jurul ei, creând configurații fixe în spațiu!
Cicloalchenele nu prezintă niciodată izomerie geometrică pe legătura dublă, deoarece structura ciclică restricționează conformația moleculei.

În cazul butenei (C₄H₈), avem mai multe tipuri de izomeri posibili:
1-butenă și 2-butenă sunt izomeri de poziție. Dacă am muta legătura dublă la poziția a 3-a, obținem de fapt tot 1-butenă, pentru că numerotarea se face astfel încât legătura dublă să primească numărul minim.
Izobutena este un izomer de catenă al butenei, având aceeași formulă moleculară dar o structură ramificată diferită.
2-butena prezintă izomerie geometrică:
Izomeria geometrică apare doar când cei doi atomi de carbon ai legăturii duble au substituenți diferiți, și este posibilă datorită imposibilității rotației în jurul legăturii duble C=C.

Pentru pentena (C₅H₁₀), varietatea de izomeri crește semnificativ:
Izomerii de poziție includ 1-pentena și 2-pentena, care diferă doar prin localizarea legăturii duble în aceeași catenă liniară.
Izomerii de catenă includ 3-metil-1-butena, 3-metil-2-butena și 2-metil-2-butena, toate având aceeași formulă moleculară, dar structuri diferite ale ramificațiilor.
Izomeria geometrică apare la 2-pentena, care poate exista în forma cis (când grupele etil și metil sunt pe aceeași parte a legăturii duble) sau trans (când sunt pe părți opuse).
Izomeria de funcțiune este reprezentată de relația dintre alchene și cicloalcani cu aceeași formulă - de exemplu, C₅H₁₀ poate fi pentenă sau ciclopentan. Alte exemple includ metilciclobutan sau etilciclopropan.
🧪 Cu cât crește numărul de atomi de carbon, cu atât numărul de izomeri posibili crește exponențial!

Legătura π din structura alchenelor este mai slabă și mult mai reactivă decât legătura σ, ceea ce explică reactivitatea chimică ridicată a acestor compuși.
În alchenele, atomii de carbon din legătura dublă sunt hibridizați sp². Acest tip de hibridizare conferă următoarele caracteristici structurale:
Aceste reacții sunt fundamentale în industria petrochimică pentru obținerea alchenelor, materii prime esențiale în sinteza multor compuși organici.

Hidrogenarea parțială a alchinelor: Alchinele pot fi transformate în alchene prin adăugarea unui singur mol de hidrogen în prezența unui catalizator de Ni. CH≡CH + H₂ → CH₂=CH₂ (etena)
Dehidrohalogenarea compușilor monohalogenați: În condiții de bază (NaOH sau KOH) și mediu de alcool, compușii monohalogenați elimină HX. CH₃-CH₂Cl + KOH/ROH → CH₂=CH₂ + HCl + KCl
La reacțiile de eliminare, halogenul preia H de la atomul de carbon cel mai sărac în H (Regula lui Zaițev).
Deshidratarea alcoolilor: În prezență de H₂SO₄ sau Al₂O₃, alcoolii elimină o moleculă de apă formând alchene. CH₃-CH₂OH → CH₂=CH₂ + H₂O
💡 Regula lui Zaițev spune că eliminarea se face în direcția formării alchenei cu cea mai mare stabilitate (de obicei cea mai substituită)!

Alchenele au proprietăți fizice care depind de structura și masa lor moleculară:
Moleculele sunt nepolare (cu atomi identici) sau slab polare (cu atomi diferiți)
Între molecule se manifestă forțe slabe de tip Van der Waals
Starea de agregare depinde de numărul de atomi de carbon:
C₁₂: solide
Sunt insolubile în apă dar solubile în solvenți organici (benzen, acetonă, toluen)
Alchenele lichide au densitatea mai mică decât apa
Punctele de fierbere sunt mai mici decât ale alcanilor corespondenți

Alchenele sunt mult mai reactive decât alcanii, datorită prezenței legăturii π, care este mai reactivă decât legătura σ. Principalele reacții ale alchenelor sunt:
I. Reacții de adiție:
II. Reacții de polimerizare
III. Reacții de substituție în poziție alilică
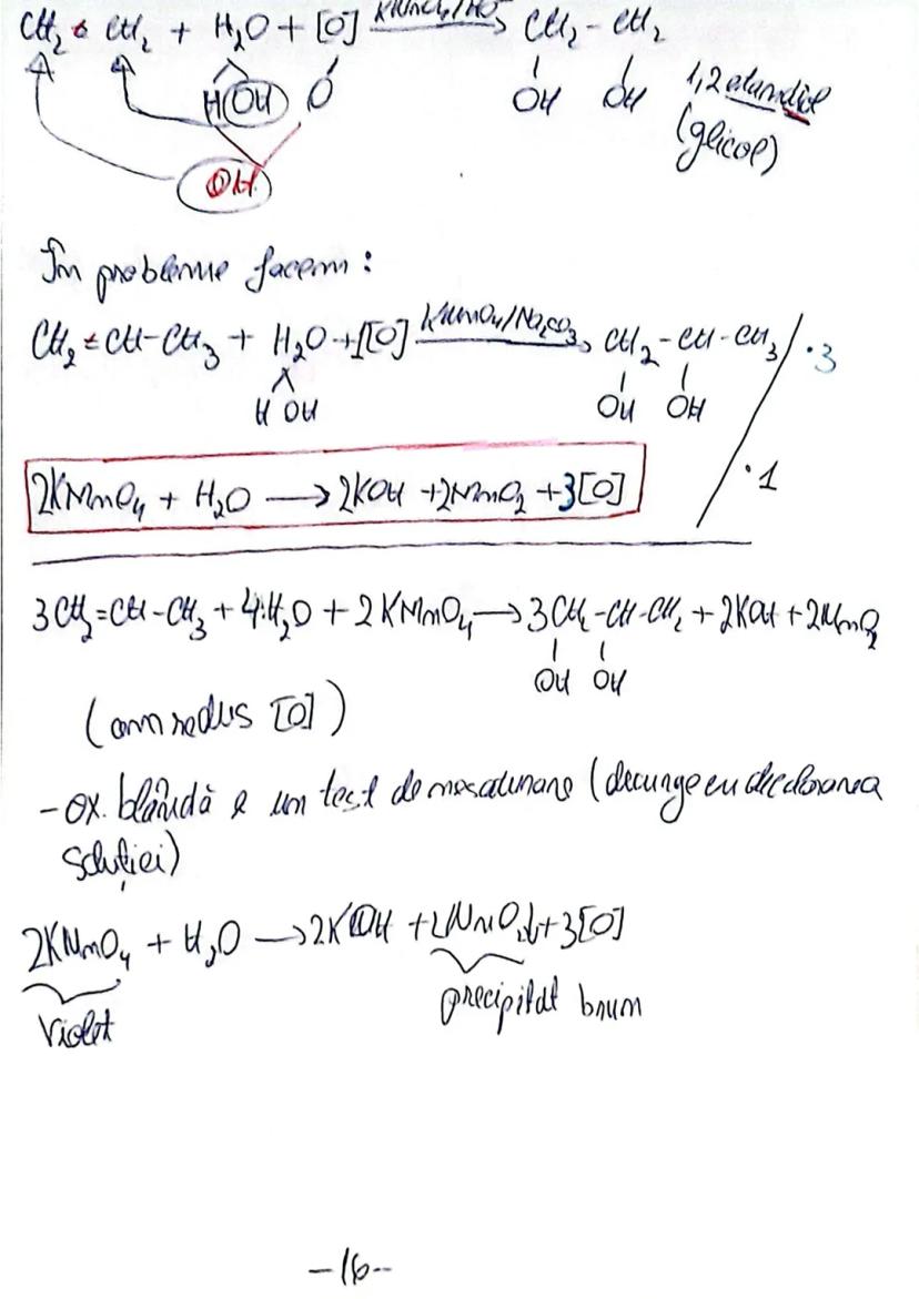
IV. Reacții de oxidare: - Oxidare blândă - Oxidare energică
V. Reacții de ardere
În reacțiile de adiție, legătura dublă se rupe, iar elementele reactantului se leagă de atomii de carbon care formau anterior legătura dublă:
C=C + A-B → C-C | | A B
🔑 Reacțiile de adiție sunt cele mai caracteristice pentru alchene și reprezintă baza multor procese industriale!

a) Adiția de hidrogen (H₂):
CH₂=CH₂ + H₂ → CH₃-CH₃ (etan) CH₂=CH-CH₃ + H₂ → CH₃-CH₂-CH₃ (propan) CH₃-CH=CH-CH₃ + H₂ → CH₃-CH₂-CH₂-CH₃ (butan)
b) Adiția de halogeni (X₂):
CH₂=CH₂ + Cl₂ → CH₂Cl-CH₂Cl CH₃-CH=CH-CH₃ + Br₂ → CH₃-CHBr-CHBr-CH₃
Apa de brom (soluție de Br₂ în apă) este un reactiv frecvent folosit în laborator pentru identificarea legăturilor duble.








Companionul nostru AI este creat special pentru nevoile studenților. Bazându-ne pe milioanele de materiale de pe platformă, putem oferi răspunsuri exacte și relevante pentru studenți. Dar nu este vorba doar despre răspunsuri, companionul este mai ales despre ghidarea studenților prin provocările zilnice de învățare, cu planuri de studiu personalizate, chestionare sau conținuturi în chat și personalizare 100% bazată pe abilitățile și evoluțiile studenților.
Aplicația este disponibilă în Google Play Store și Apple App Store.
Da! Bucură-te de access la materiale de studiu, conectează-te cu alți elevi, și primește ajutor instant - toate acestea la un click distanță. În plus, câștigă puncte ca să deblochezi mai multe funcționalități!
App Store
Google Play
Aplicația este foarte ușor de utilizat și bine concepută. Am găsit tot ce căutam până acum și am reușit să învăț multe din prezentări! Cu siguranță voi folosi aplicația pentru o temă la clasă! Și desigur, ajută mult ca sursă de inspirație.
Ștefan S
utilizator iOS
Această aplicație este super. Sunt atât de multe materiale de studiu și ajutor pentru elevi [...]. Materia mea mai problematică este franceza, de exemplu, și aplicația oferă foarte multe materiale ajutătoare. Mulțumită acestei aplicații, mi-am îmbunătățit franceza. Aș recomanda-o oricui.
Samantha Klich
utilizator Android
Wow, sunt cu adevărat impresionat. Am încercat aplicația pentru că am văzut-o promovată de multe ori și am rămas uimit. Aceasta este AJUTORUL de care ai nevoie pentru școală și, mai presus de toate, oferă atât de multe lucruri, precum exerciții și fișe de informații, care mi-au fost FOARTE de ajutor.
Anna
utilizator iOS
Te ajută să înveți foarte repede și ști foarte bine ce ai dori tu să înveți, vă recomand cu drag să încercați și să învățați mai repede.!
Thomas R
utilizator iOS
Foarte bună aplicația!!!! Mă ajută să înțeleg mult mai bine lecțiile și temele le termin mult mai repede.👍❤️
Paul P
utilizator Android
Te ajută foarte bine la teme acest robot,recomand!
David K
utilizator iOS
Aplicația e grozavă! Tot ce trebuie să fac este să introduc subiectul în bara de căutare și primesc răspunsul foarte rapid. Nu mai trebuie să mă uit la 10 videoclipuri pe YouTube pentru a înțelege ceva, deci îmi economisesc timpul. Super recomandat!
Sudenaz Ocak
utilizator Android
La școală eram chiar slab la matematică, dar datorită aplicației, mă descurc mai bine acum. Sunt atât de recunoscător că ai creat aplicația.
Greenlight Bonnie
utilizator Android
Această aplicație e super interesantă și seamănă ca tiktok-ul doar că tu ai doar teorie și explicații.
Karla S
utilizator Android
Nu mai trebuie să stau cu orele să învăț după caiet când pot să citesc de 2 ori lecțiile care apar aici și iau 10 la test ! Knowunity m-a ajutat să iau nota 9,20 la română ! Voi recomanda ff tare aceasta aplicate , să nu uităm ca are și chat GPT !👍🏻
Denisa B
utilizator iOS
CHESTIONARELE ȘI FLASHCARD-URILE SUNT ATÂT DE UTILE ȘI IUBESC Knowunity AI. E LITERALMENTE CA CHATGPT DOAR CĂ MAI DEȘTEPT!! M-A AJUTAT ȘI CU PROBLEMELE MELE CU MASCARA!! PLUS CU MATERIILE MELE ADEVĂRATE! EVIDENT 😍😁😲🤑💗✨🎀😮
Sarah L
utilizator Android
Este foarte bună te ajută la teme te face să înțelegi lecțiile am înțeles o lecție în 20 de minute i singură nu reușeam să o învăț dar cu Knowunity am învățat-o foarte ușor
Alessia V
utilizator iOS
Aplicația este foarte ușor de utilizat și bine concepută. Am găsit tot ce căutam până acum și am reușit să învăț multe din prezentări! Cu siguranță voi folosi aplicația pentru o temă la clasă! Și desigur, ajută mult ca sursă de inspirație.
Ștefan S
utilizator iOS
Această aplicație este super. Sunt atât de multe materiale de studiu și ajutor pentru elevi [...]. Materia mea mai problematică este franceza, de exemplu, și aplicația oferă foarte multe materiale ajutătoare. Mulțumită acestei aplicații, mi-am îmbunătățit franceza. Aș recomanda-o oricui.
Samantha Klich
utilizator Android
Wow, sunt cu adevărat impresionat. Am încercat aplicația pentru că am văzut-o promovată de multe ori și am rămas uimit. Aceasta este AJUTORUL de care ai nevoie pentru școală și, mai presus de toate, oferă atât de multe lucruri, precum exerciții și fișe de informații, care mi-au fost FOARTE de ajutor.
Anna
utilizator iOS
Te ajută să înveți foarte repede și ști foarte bine ce ai dori tu să înveți, vă recomand cu drag să încercați și să învățați mai repede.!
Thomas R
utilizator iOS
Foarte bună aplicația!!!! Mă ajută să înțeleg mult mai bine lecțiile și temele le termin mult mai repede.👍❤️
Paul P
utilizator Android
Te ajută foarte bine la teme acest robot,recomand!
David K
utilizator iOS
Aplicația e grozavă! Tot ce trebuie să fac este să introduc subiectul în bara de căutare și primesc răspunsul foarte rapid. Nu mai trebuie să mă uit la 10 videoclipuri pe YouTube pentru a înțelege ceva, deci îmi economisesc timpul. Super recomandat!
Sudenaz Ocak
utilizator Android
La școală eram chiar slab la matematică, dar datorită aplicației, mă descurc mai bine acum. Sunt atât de recunoscător că ai creat aplicația.
Greenlight Bonnie
utilizator Android
Această aplicație e super interesantă și seamănă ca tiktok-ul doar că tu ai doar teorie și explicații.
Karla S
utilizator Android
Nu mai trebuie să stau cu orele să învăț după caiet când pot să citesc de 2 ori lecțiile care apar aici și iau 10 la test ! Knowunity m-a ajutat să iau nota 9,20 la română ! Voi recomanda ff tare aceasta aplicate , să nu uităm ca are și chat GPT !👍🏻
Denisa B
utilizator iOS
CHESTIONARELE ȘI FLASHCARD-URILE SUNT ATÂT DE UTILE ȘI IUBESC Knowunity AI. E LITERALMENTE CA CHATGPT DOAR CĂ MAI DEȘTEPT!! M-A AJUTAT ȘI CU PROBLEMELE MELE CU MASCARA!! PLUS CU MATERIILE MELE ADEVĂRATE! EVIDENT 😍😁😲🤑💗✨🎀😮
Sarah L
utilizator Android
Este foarte bună te ajută la teme te face să înțelegi lecțiile am înțeles o lecție în 20 de minute i singură nu reușeam să o învăț dar cu Knowunity am învățat-o foarte ușor
Alessia V
utilizator iOS
Cristina-Andreea
@cristina_.andr33a
Alchenele sunt hidrocarburi nesaturate caracterizate de prezența unei legături duble între atomii de carbon. Având formula generală CₙH₂ₙ, aceste compuși organici prezintă un grad de nesaturare egal cu 1 și sunt mult mai reactive decât alcanii datorită legăturii π din... Afișează mai mult

Acces la toate documentele
Îmbunătățește notele tale!
Alătură-te milioanelor de elevi
Alchenele sunt hidrocarburi nesaturate, alifatice (nearomatice) și aciclice care conțin o legătură dublă C=C. Formula lor generală este CₙH₂ₙ, iar gradul de nesaturare este 1, indicând prezența unei legături duble sau a unui ciclu cu legături simple.
Seria omologă începe cu etena (C₂H₄) și continuă cu propena (C₃H₆), butenă (C₄H₈), pentenă (C₅H₁₀), hexenă (C₆H₁₂), și așa mai departe. Începând cu butena, apar izomeri de poziție - putem avea 1-butenă sau 2-butenă .
💡 Etena (C₂H₄) este cea mai simplă alchenă și are numeroase utilizări industriale, fiind una dintre cele mai produse substanțe chimice din lume!

Acces la toate documentele
Îmbunătățește notele tale!
Alătură-te milioanelor de elevi
Denumirea alchenelor se face înlocuind sufixul "-an" din alcan cu sufixul "-enă". Pentru a numi corect izoalchenele, trebuie să respecți câteva reguli simple:
Când numerotăm catena, poziția legăturii duble are prioritate absolută - de exemplu, o substanță ca CH₃-CH₂-CH=CH₂ poate fi numerotată de la dreapta și devine 1-butenă, nu 3-butenă.
Pentru cicloalchene, se folosește prefixul "ciclo-" urmat de numele alchenei cu același număr de atomi de carbon. Numerotarea se face "sărind peste" legătura dublă.

Acces la toate documentele
Îmbunătățește notele tale!
Alătură-te milioanelor de elevi
Alchenele prezintă patru tipuri importante de izomerie, ceea ce face clasificarea lor mai complexă:
🔍 Izomeria geometrică este specifică alchenelor deoarece legătura dublă împiedică rotația atomilor în jurul ei, creând configurații fixe în spațiu!
Cicloalchenele nu prezintă niciodată izomerie geometrică pe legătura dublă, deoarece structura ciclică restricționează conformația moleculei.

Acces la toate documentele
Îmbunătățește notele tale!
Alătură-te milioanelor de elevi
În cazul butenei (C₄H₈), avem mai multe tipuri de izomeri posibili:
1-butenă și 2-butenă sunt izomeri de poziție. Dacă am muta legătura dublă la poziția a 3-a, obținem de fapt tot 1-butenă, pentru că numerotarea se face astfel încât legătura dublă să primească numărul minim.
Izobutena este un izomer de catenă al butenei, având aceeași formulă moleculară dar o structură ramificată diferită.
2-butena prezintă izomerie geometrică:
Izomeria geometrică apare doar când cei doi atomi de carbon ai legăturii duble au substituenți diferiți, și este posibilă datorită imposibilității rotației în jurul legăturii duble C=C.

Acces la toate documentele
Îmbunătățește notele tale!
Alătură-te milioanelor de elevi
Pentru pentena (C₅H₁₀), varietatea de izomeri crește semnificativ:
Izomerii de poziție includ 1-pentena și 2-pentena, care diferă doar prin localizarea legăturii duble în aceeași catenă liniară.
Izomerii de catenă includ 3-metil-1-butena, 3-metil-2-butena și 2-metil-2-butena, toate având aceeași formulă moleculară, dar structuri diferite ale ramificațiilor.
Izomeria geometrică apare la 2-pentena, care poate exista în forma cis (când grupele etil și metil sunt pe aceeași parte a legăturii duble) sau trans (când sunt pe părți opuse).
Izomeria de funcțiune este reprezentată de relația dintre alchene și cicloalcani cu aceeași formulă - de exemplu, C₅H₁₀ poate fi pentenă sau ciclopentan. Alte exemple includ metilciclobutan sau etilciclopropan.
🧪 Cu cât crește numărul de atomi de carbon, cu atât numărul de izomeri posibili crește exponențial!

Acces la toate documentele
Îmbunătățește notele tale!
Alătură-te milioanelor de elevi
Legătura π din structura alchenelor este mai slabă și mult mai reactivă decât legătura σ, ceea ce explică reactivitatea chimică ridicată a acestor compuși.
În alchenele, atomii de carbon din legătura dublă sunt hibridizați sp². Acest tip de hibridizare conferă următoarele caracteristici structurale:
Aceste reacții sunt fundamentale în industria petrochimică pentru obținerea alchenelor, materii prime esențiale în sinteza multor compuși organici.

Acces la toate documentele
Îmbunătățește notele tale!
Alătură-te milioanelor de elevi
Hidrogenarea parțială a alchinelor: Alchinele pot fi transformate în alchene prin adăugarea unui singur mol de hidrogen în prezența unui catalizator de Ni. CH≡CH + H₂ → CH₂=CH₂ (etena)
Dehidrohalogenarea compușilor monohalogenați: În condiții de bază (NaOH sau KOH) și mediu de alcool, compușii monohalogenați elimină HX. CH₃-CH₂Cl + KOH/ROH → CH₂=CH₂ + HCl + KCl
La reacțiile de eliminare, halogenul preia H de la atomul de carbon cel mai sărac în H (Regula lui Zaițev).
Deshidratarea alcoolilor: În prezență de H₂SO₄ sau Al₂O₃, alcoolii elimină o moleculă de apă formând alchene. CH₃-CH₂OH → CH₂=CH₂ + H₂O
💡 Regula lui Zaițev spune că eliminarea se face în direcția formării alchenei cu cea mai mare stabilitate (de obicei cea mai substituită)!

Acces la toate documentele
Îmbunătățește notele tale!
Alătură-te milioanelor de elevi
Alchenele au proprietăți fizice care depind de structura și masa lor moleculară:
Moleculele sunt nepolare (cu atomi identici) sau slab polare (cu atomi diferiți)
Între molecule se manifestă forțe slabe de tip Van der Waals
Starea de agregare depinde de numărul de atomi de carbon:
C₁₂: solide
Sunt insolubile în apă dar solubile în solvenți organici (benzen, acetonă, toluen)
Alchenele lichide au densitatea mai mică decât apa
Punctele de fierbere sunt mai mici decât ale alcanilor corespondenți

Acces la toate documentele
Îmbunătățește notele tale!
Alătură-te milioanelor de elevi
Alchenele sunt mult mai reactive decât alcanii, datorită prezenței legăturii π, care este mai reactivă decât legătura σ. Principalele reacții ale alchenelor sunt:
I. Reacții de adiție:
II. Reacții de polimerizare
III. Reacții de substituție în poziție alilică
IV. Reacții de oxidare: - Oxidare blândă - Oxidare energică
V. Reacții de ardere
În reacțiile de adiție, legătura dublă se rupe, iar elementele reactantului se leagă de atomii de carbon care formau anterior legătura dublă:
C=C + A-B → C-C | | A B
🔑 Reacțiile de adiție sunt cele mai caracteristice pentru alchene și reprezintă baza multor procese industriale!

Acces la toate documentele
Îmbunătățește notele tale!
Alătură-te milioanelor de elevi
a) Adiția de hidrogen (H₂):
CH₂=CH₂ + H₂ → CH₃-CH₃ (etan) CH₂=CH-CH₃ + H₂ → CH₃-CH₂-CH₃ (propan) CH₃-CH=CH-CH₃ + H₂ → CH₃-CH₂-CH₂-CH₃ (butan)
b) Adiția de halogeni (X₂):
CH₂=CH₂ + Cl₂ → CH₂Cl-CH₂Cl CH₃-CH=CH-CH₃ + Br₂ → CH₃-CHBr-CHBr-CH₃
Apa de brom (soluție de Br₂ în apă) este un reactiv frecvent folosit în laborator pentru identificarea legăturilor duble.

Acces la toate documentele
Îmbunătățește notele tale!
Alătură-te milioanelor de elevi

Acces la toate documentele
Îmbunătățește notele tale!
Alătură-te milioanelor de elevi

Acces la toate documentele
Îmbunătățește notele tale!
Alătură-te milioanelor de elevi

Acces la toate documentele
Îmbunătățește notele tale!
Alătură-te milioanelor de elevi

Acces la toate documentele
Îmbunătățește notele tale!
Alătură-te milioanelor de elevi

Acces la toate documentele
Îmbunătățește notele tale!
Alătură-te milioanelor de elevi

Acces la toate documentele
Îmbunătățește notele tale!
Alătură-te milioanelor de elevi

Acces la toate documentele
Îmbunătățește notele tale!
Alătură-te milioanelor de elevi
Companionul nostru AI este creat special pentru nevoile studenților. Bazându-ne pe milioanele de materiale de pe platformă, putem oferi răspunsuri exacte și relevante pentru studenți. Dar nu este vorba doar despre răspunsuri, companionul este mai ales despre ghidarea studenților prin provocările zilnice de învățare, cu planuri de studiu personalizate, chestionare sau conținuturi în chat și personalizare 100% bazată pe abilitățile și evoluțiile studenților.
Aplicația este disponibilă în Google Play Store și Apple App Store.
Da! Bucură-te de access la materiale de studiu, conectează-te cu alți elevi, și primește ajutor instant - toate acestea la un click distanță. În plus, câștigă puncte ca să deblochezi mai multe funcționalități!
5
Instrumente inteligente NOU
Transformă această notiță în: ✓ 50+ întrebări de exersare ✓ Flashcard-uri interactive ✓ Examen de practică complet ✓ Planuri de eseu
App Store
Google Play
Aplicația este foarte ușor de utilizat și bine concepută. Am găsit tot ce căutam până acum și am reușit să învăț multe din prezentări! Cu siguranță voi folosi aplicația pentru o temă la clasă! Și desigur, ajută mult ca sursă de inspirație.
Ștefan S
utilizator iOS
Această aplicație este super. Sunt atât de multe materiale de studiu și ajutor pentru elevi [...]. Materia mea mai problematică este franceza, de exemplu, și aplicația oferă foarte multe materiale ajutătoare. Mulțumită acestei aplicații, mi-am îmbunătățit franceza. Aș recomanda-o oricui.
Samantha Klich
utilizator Android
Wow, sunt cu adevărat impresionat. Am încercat aplicația pentru că am văzut-o promovată de multe ori și am rămas uimit. Aceasta este AJUTORUL de care ai nevoie pentru școală și, mai presus de toate, oferă atât de multe lucruri, precum exerciții și fișe de informații, care mi-au fost FOARTE de ajutor.
Anna
utilizator iOS
Te ajută să înveți foarte repede și ști foarte bine ce ai dori tu să înveți, vă recomand cu drag să încercați și să învățați mai repede.!
Thomas R
utilizator iOS
Foarte bună aplicația!!!! Mă ajută să înțeleg mult mai bine lecțiile și temele le termin mult mai repede.👍❤️
Paul P
utilizator Android
Te ajută foarte bine la teme acest robot,recomand!
David K
utilizator iOS
Aplicația e grozavă! Tot ce trebuie să fac este să introduc subiectul în bara de căutare și primesc răspunsul foarte rapid. Nu mai trebuie să mă uit la 10 videoclipuri pe YouTube pentru a înțelege ceva, deci îmi economisesc timpul. Super recomandat!
Sudenaz Ocak
utilizator Android
La școală eram chiar slab la matematică, dar datorită aplicației, mă descurc mai bine acum. Sunt atât de recunoscător că ai creat aplicația.
Greenlight Bonnie
utilizator Android
Această aplicație e super interesantă și seamănă ca tiktok-ul doar că tu ai doar teorie și explicații.
Karla S
utilizator Android
Nu mai trebuie să stau cu orele să învăț după caiet când pot să citesc de 2 ori lecțiile care apar aici și iau 10 la test ! Knowunity m-a ajutat să iau nota 9,20 la română ! Voi recomanda ff tare aceasta aplicate , să nu uităm ca are și chat GPT !👍🏻
Denisa B
utilizator iOS
CHESTIONARELE ȘI FLASHCARD-URILE SUNT ATÂT DE UTILE ȘI IUBESC Knowunity AI. E LITERALMENTE CA CHATGPT DOAR CĂ MAI DEȘTEPT!! M-A AJUTAT ȘI CU PROBLEMELE MELE CU MASCARA!! PLUS CU MATERIILE MELE ADEVĂRATE! EVIDENT 😍😁😲🤑💗✨🎀😮
Sarah L
utilizator Android
Este foarte bună te ajută la teme te face să înțelegi lecțiile am înțeles o lecție în 20 de minute i singură nu reușeam să o învăț dar cu Knowunity am învățat-o foarte ușor
Alessia V
utilizator iOS
Aplicația este foarte ușor de utilizat și bine concepută. Am găsit tot ce căutam până acum și am reușit să învăț multe din prezentări! Cu siguranță voi folosi aplicația pentru o temă la clasă! Și desigur, ajută mult ca sursă de inspirație.
Ștefan S
utilizator iOS
Această aplicație este super. Sunt atât de multe materiale de studiu și ajutor pentru elevi [...]. Materia mea mai problematică este franceza, de exemplu, și aplicația oferă foarte multe materiale ajutătoare. Mulțumită acestei aplicații, mi-am îmbunătățit franceza. Aș recomanda-o oricui.
Samantha Klich
utilizator Android
Wow, sunt cu adevărat impresionat. Am încercat aplicația pentru că am văzut-o promovată de multe ori și am rămas uimit. Aceasta este AJUTORUL de care ai nevoie pentru școală și, mai presus de toate, oferă atât de multe lucruri, precum exerciții și fișe de informații, care mi-au fost FOARTE de ajutor.
Anna
utilizator iOS
Te ajută să înveți foarte repede și ști foarte bine ce ai dori tu să înveți, vă recomand cu drag să încercați și să învățați mai repede.!
Thomas R
utilizator iOS
Foarte bună aplicația!!!! Mă ajută să înțeleg mult mai bine lecțiile și temele le termin mult mai repede.👍❤️
Paul P
utilizator Android
Te ajută foarte bine la teme acest robot,recomand!
David K
utilizator iOS
Aplicația e grozavă! Tot ce trebuie să fac este să introduc subiectul în bara de căutare și primesc răspunsul foarte rapid. Nu mai trebuie să mă uit la 10 videoclipuri pe YouTube pentru a înțelege ceva, deci îmi economisesc timpul. Super recomandat!
Sudenaz Ocak
utilizator Android
La școală eram chiar slab la matematică, dar datorită aplicației, mă descurc mai bine acum. Sunt atât de recunoscător că ai creat aplicația.
Greenlight Bonnie
utilizator Android
Această aplicație e super interesantă și seamănă ca tiktok-ul doar că tu ai doar teorie și explicații.
Karla S
utilizator Android
Nu mai trebuie să stau cu orele să învăț după caiet când pot să citesc de 2 ori lecțiile care apar aici și iau 10 la test ! Knowunity m-a ajutat să iau nota 9,20 la română ! Voi recomanda ff tare aceasta aplicate , să nu uităm ca are și chat GPT !👍🏻
Denisa B
utilizator iOS
CHESTIONARELE ȘI FLASHCARD-URILE SUNT ATÂT DE UTILE ȘI IUBESC Knowunity AI. E LITERALMENTE CA CHATGPT DOAR CĂ MAI DEȘTEPT!! M-A AJUTAT ȘI CU PROBLEMELE MELE CU MASCARA!! PLUS CU MATERIILE MELE ADEVĂRATE! EVIDENT 😍😁😲🤑💗✨🎀😮
Sarah L
utilizator Android
Este foarte bună te ajută la teme te face să înțelegi lecțiile am înțeles o lecție în 20 de minute i singură nu reușeam să o învăț dar cu Knowunity am învățat-o foarte ușor
Alessia V
utilizator iOS