Ai în față un set de probleme de matematică pentru... Afișează mai mult
Înscrie-te pentru a vedea CONȚINUTULE gratuit!
Acces la toate documentele
Îmbunătățește notele tale!
Alătură-te milioanelor de elevi
Knowunity AI
Mai mult
Materii
Triangle Congruence and Similarity Theorems
Triangle Properties and Classification
Linear Equations and Graphs
Geometric Angle Relationships
Trigonometric Functions and Identities
Equation Solving Techniques
Circle Geometry Fundamentals
Division Operations and Methods
Basic Differentiation Rules
Exponent and Logarithm Properties
Afișează toate materiile
Human Organ Systems
Reproductive Cell Cycles
Biological Sciences Subdisciplines
Cellular Energy Metabolism
Autotrophic Energy Processes
Inheritance Patterns and Principles
Biomolecular Structure and Organization
Cell Cycle and Division Mechanics
Cellular Organization and Development
Biological Structural Organization
Afișează toate materiile
Chemical Sciences and Applications
Atomic Structure and Composition
Molecular Electron Structure Representation
Atomic Electron Behavior
Matter Properties and Water
Mole Concept and Calculations
Gas Laws and Behavior
Periodic Table Organization
Chemical Thermodynamics Fundamentals
Chemical Bond Types and Properties
Afișează toate materiile
European Renaissance and Enlightenment
European Cultural Movements 800-1920
American Revolution Era 1763-1797
American Civil War 1861-1865
Global Imperial Systems
Mongol and Chinese Dynasties
U.S. Presidents and World Leaders
Historical Sources and Documentation
World Wars Era and Impact
World Religious Systems
Afișează toate materiile
Classic and Contemporary Novels
Literary Character Analysis
Rhetorical Theory and Practice
Classic Literary Narratives
Reading Analysis and Interpretation
Narrative Structure and Techniques
English Language Components
Influential English-Language Authors
Basic Sentence Structure
Narrative Voice and Perspective
Afișează toate materiile
988
•
Actualizat Apr 1, 2026
•
Nica Alexandra
@nicaalexandra
Ai în față un set de probleme de matematică pentru... Afișează mai mult





















































































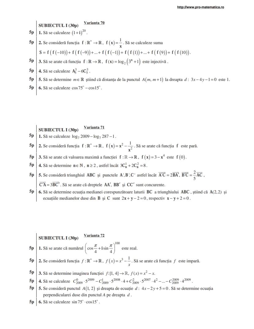
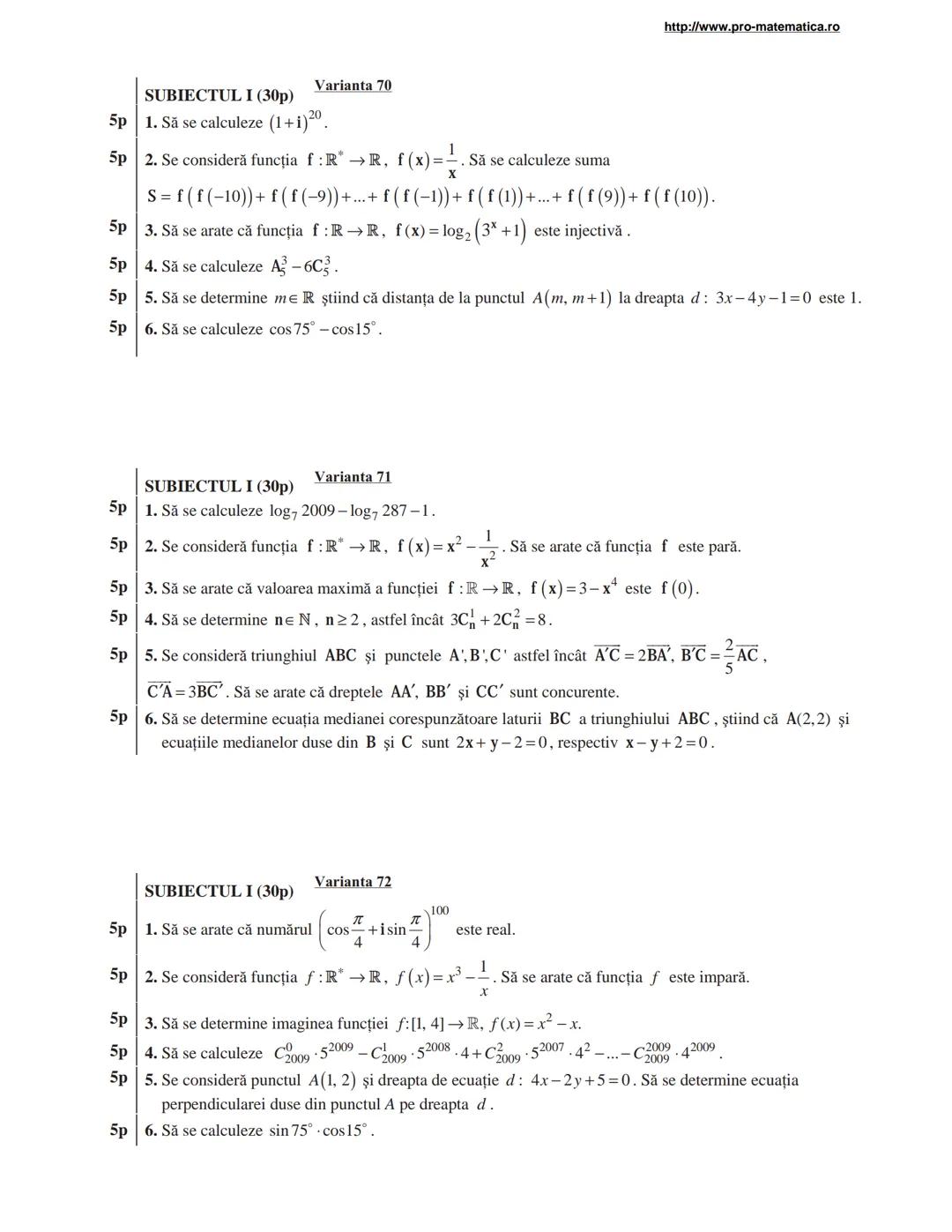
Numerele sunt peste tot în jurul nostru! În prima variantă, ai o progresie aritmetică al cărei ultim termen trebuie calculat din suma 231. Pentru a rezolva acest tip de probleme, amintește-ți formula sumei primilor n termeni ai unei progresii aritmetice.
Pentru inecuații de gradul al doilea, ca $2x²-5x+3≤0f(x)=x²+1$.
💡 Nu uita că probabilitatea unui eveniment este raportul dintre numărul de cazuri favorabile și numărul total de cazuri posibile!
Distanța dintre două puncte în plan se calculează cu formula , utilă pentru problema cu punctele A(2,m) și B.
În Varianta 3, ordonarea corectă a numerelor iraționale precum , și necesită compararea valorilor lor aproximative sau ridicarea la puteri potrivite pentru a le face comparabile.
Pentru ecuațiile logaritmice precum , folosește proprietățile logaritmilor pentru a simplifica și apoi rezolvă ecuația rezultată, verificând dacă soluțiile respectă domeniul de definiție.

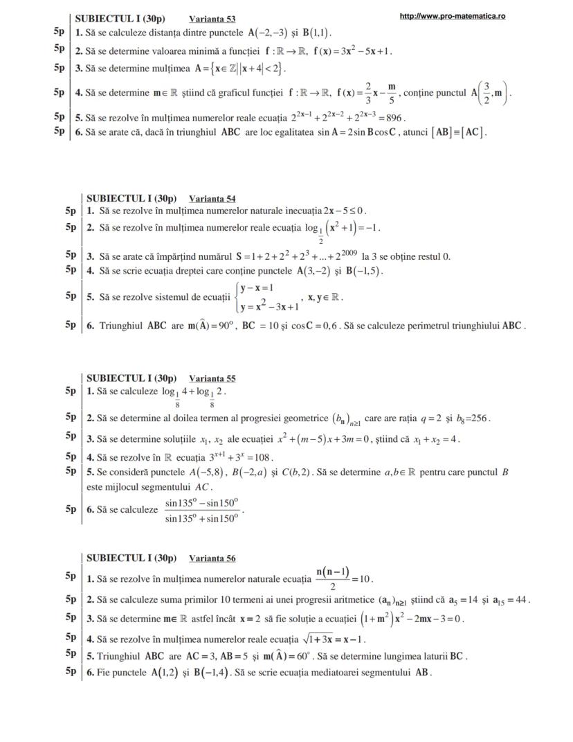
Numerele complexe pot părea intimidante, dar sunt fascinante odată ce te obișnuiești cu ele! Pentru a demonstra că un număr complex este real, trebuie să arăți că partea sa imaginară este zero.
La parabola , pentru a determina poziția vârfului, calculează coordonatele acestuia folosind formulele și . Un vârf în cadranul III înseamnă că ambele coordonate sunt negative!
💡 Pentru ecuațiile exponențiale precum $9^x-10\cdot3^{x-1}+1=0$, încearcă să exprimi totul în funcție de aceeași bază!
Probabilitățile sunt prezente în multe probleme. De exemplu, pentru a calcula probabilitatea ca un număr de trei cifre să aibă exact două cifre egale, trebuie să determini atât numărul total de cazuri favorabile, cât și numărul total de numere de trei cifre.
În geometrie, vectorii perpendiculari satisfac condiția că produsul lor scalar este zero. Astfel, pentru vectorii și din Varianta 4, găsești valoarea lui impunând condiția .
Varianta 6 include probleme cu sume de numere naturale, cum ar fi suma tuturor numerelor de două cifre divizibile cu 11, unde poți folosi formula sumei unei progresii aritmetice.

Modulul unui număr complex se calculează cu formula . Astfel, pentru , trebuie mai întâi să aduci fracția la forma .
Funcțiile de gradul al doilea sunt ușor de analizat dacă le aduci la forma canonică. Pentru a determina valoarea maximă a funcției , găsești coordonata a vârfului și calculezi în acel punct.
Pentru ecuația în intervalul [0,2π), amintește-ți că funcția sinus este negativă în cadranele III și IV, și caută valorile corespunzătoare.
💡 Combinatorica este esențială pentru multe probleme! Formula apare frecvent.
În Varianta 8, pentru paralelogramul ABCD cu punctele E și F având proprietățile date, folosești proprietățile vectorilor pentru a demonstra coliniaritatea punctelor A, F și C.
Sumele de progresii aritmetice cu termeni impari, cum ar fi 1+3+5+...+x=225, se rezolvă folosind formula sumei: , unde și .

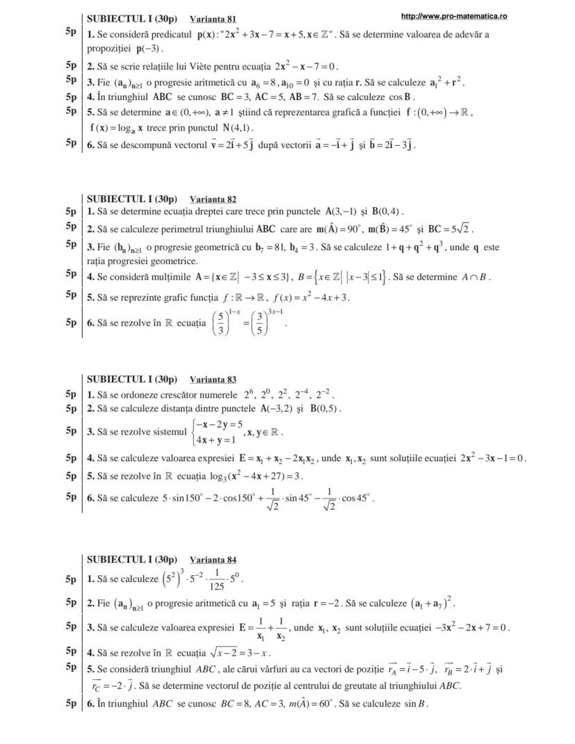
Numerele complexe care satisfac ecuații precum pot fi utilizate pentru a calcula expresii de forma . Pentru aceasta, folosești relațiile dintre coeficienții ecuației și rădăcinile ei.
Funcțiile compuse apar frecvent, ca în din Varianta 10, unde trebuie să determini funcția de gradul întâi. Rezolvarea implică substituirea și egalarea coeficienților.
Pentru ecuații trigonometrice ca , folosește formulele trigonometrice și proprietățile funcțiilor pentru a ajunge la o formă mai simplă.
💡 Când determini numărul de funcții cu anumite proprietăți, gândește-te la câte valori poate lua funcția pentru fiecare element din domeniu!
Vectorii sunt fundamentali în geometrie. În triunghiul ABC din Varianta 11, cu punctele D și E care satisfac și , demonstrezi paralelismul dreptelor DE și BC folosind proprietățile vectorilor de poziție.
Pentru calculul expresiilor trigonometrice ca când , folosești formulele de dublare a unghiurilor: .

Numerele complexe apar în multiple contexte. Pentru a arăta că este întreg, calculezi expresia și observi că părțile imaginare se anulează.
Sistemele de ecuații precum apar frecvent. Acestea pot fi rezolvate aplicând formule Viète, observând că x și y sunt rădăcinile ecuației .
Ecuațiile cu radicali, ca , necesită ridicare la pătrat, dar atenție la soluțiile străine! Verifică întotdeauna soluțiile în ecuația inițială.
💡 La probleme cu dezvoltări binomiale, folosește formula pentru a identifica termenul care nu conține variabila.
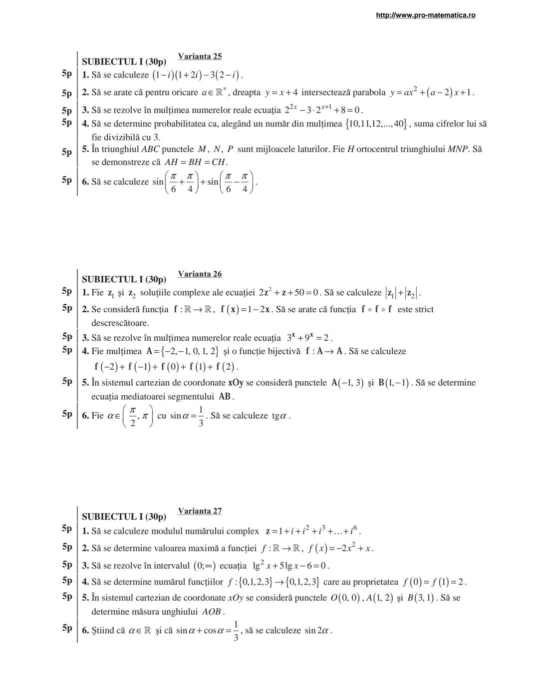
Calculul distanței de la un punct la o dreaptă folosește formula , unde A$x_0,y_0$ și dreapta are ecuația .
Logaritmii pot apărea în sume precum . Folosind proprietatea , poți simplifica expresia la .

Modulul unui număr complex se calculează folosind formula după aducerea la forma . Alternativ, poți folosi proprietatea .
Pentru inecuația , trebuie să determini valoarea lui astfel încât inecuația să fie satisfăcută pentru orice real. Aceasta înseamnă că discriminantul trebuie să fie negativ.
Ecuațiile cu funcții arcsin, precum , se rezolvă aplicând funcția sinus la ambele părți și folosind formule trigonometrice.
💡 Pentru a rezolva ecuații combinatoriale ca , amintește-ți proprietatea și rezolvă ecuația rezultată!
În problemele cu unghiuri în triunghiuri, poți folosi produsul scalar pentru a calcula unghiului dintre două laturi. De exemplu, pentru triunghiul ABC cu A(2,-2), B(2,3), C(-2,3), calculezi pentru fiecare unghi și identifici unghiul maxim.
Pentru numerele complexe ca , calculezi puterea folosind formula binomului lui Newton sau prin înmulțiri succesive, apoi verifici dacă rezultatul are partea imaginară nulă.

Pentru a ordona crescător numere iraționale precum , poți să le ridici la puteri adecvate pentru a face comparația mai ușoară, sau să calculezi aproximările lor zecimale.
Funcțiile simetrice față de dreapta satisfac relația . Astfel, pentru a determina funcția simetrică cu față de , înlocuiești și rezolvi ecuația rezultată.
Ecuațiile exponențiale de tipul $3^{2x+1}-10 \cdot 3^{x+1}+27=0u = 3^{x+1}u$.
💡 Când calculezi probabilități pentru numere de trei cifre, numărul total de cazuri este 900 (de la 100 la 999)!
Ecuația medianei dintr-un vârf al triunghiului se determină folosind coordonatele vârfului și ale mijlocului laturii opuse. Pentru triunghiul cu A(1,2), B(2,3) și C(2,-5), mijlocul laturii BC are coordonatele .
În trigonometrie, identități precum se demonstrează folosind formulele de dublare a unghiurilor: și relația .

Puterile lui urmează un model ciclic: , , , . Astfel, pentru a calcula $1+i+i^2+...+i^{10}$, grupezi termenii după acest model.
Când lucrezi cu compuneri de funcții, cum ar fi unde și , înlocuiești în și rezolvi ecuația rezultată.
Pentru ecuații logaritmice complexe precum , folosești proprietățile logaritmilor pentru a simplifica expresia înainte de rezolvare.
💡 Pentru inecuații combinatoriale ca , dezvolți expresia și determini valorile întregi care o satisfac!
Distanța dintre două drepte paralele și se calculează folosind formula după aducerea ecuațiilor la forma în care coeficienții termenilor similari sunt identici.
În trigonometrie, valori precum se calculează folosind formula de sumă a sinusurilor: .

Operațiile cu numere complexe, cum ar fi , se efectuează folosind regulile algebrice obișnuite, ținând cont că .
Pentru a demonstra că o dreaptă și o parabolă se intersectează, arăți că ecuația care rezultă din egalarea expresiilor lor are cel puțin o soluție reală. La și , obții o ecuație de gradul al doilea în și analizezi discriminantul.
Ecuațiile exponențiale de forma $2^{2x}-3 \cdot 2^{x+1}+8 = 0u = 2^xu$.
💡 O proprietate importantă în combinatorică este , utilă pentru a demonstra inegalități precum !
În geometrie, pentru a arăta că în contextul hexagonului regulat, folosești proprietățile de simetrie și calculezi distanțele folosind coordonatele punctelor.
Valorile trigonometrice precum se calculează folosind formulele de sumă și diferență pentru sinus: .

Calculul expresiilor cu numere complexe precum se poate simplifica observând că termenii conjugați apar în sumă, iar partea imaginară se anulează.
Pentru funcțiile de gradul al doilea, cum ar fi , valorile , și se pot ordona calculând direct valorile sau analizând comportamentul funcției.
Vectorii sunt esențiali în probleme de geometrie. Pentru triunghiul ABC cu punct M pe BC astfel încât , demonstrezi că folosind combinații liniare de vectori.
💡 Pentru a demonstra că un număr precum este natural, ridică-l la pătrat și simplifică expresia!
În probabilități, când alegi o submulțime dintr-o mulțime dată, numărul total de cazuri este $2^n-1n$ elemente).
Trigonometria oferă identități fascinante, cum ar fi , care se pot demonstra folosind formulele de înjumătățire a unghiurilor sau alte identități trigonometrice cunoscute.










































































Companionul nostru AI este creat special pentru nevoile studenților. Bazându-ne pe milioanele de materiale de pe platformă, putem oferi răspunsuri exacte și relevante pentru studenți. Dar nu este vorba doar despre răspunsuri, companionul este mai ales despre ghidarea studenților prin provocările zilnice de învățare, cu planuri de studiu personalizate, chestionare sau conținuturi în chat și personalizare 100% bazată pe abilitățile și evoluțiile studenților.
Aplicația este disponibilă în Google Play Store și Apple App Store.
Da! Bucură-te de access la materiale de studiu, conectează-te cu alți elevi, și primește ajutor instant - toate acestea la un click distanță. În plus, câștigă puncte ca să deblochezi mai multe funcționalități!
App Store
Google Play
Aplicația este foarte ușor de utilizat și bine concepută. Am găsit tot ce căutam până acum și am reușit să învăț multe din prezentări! Cu siguranță voi folosi aplicația pentru o temă la clasă! Și desigur, ajută mult ca sursă de inspirație.
Ștefan S
utilizator iOS
Această aplicație este super. Sunt atât de multe materiale de studiu și ajutor pentru elevi [...]. Materia mea mai problematică este franceza, de exemplu, și aplicația oferă foarte multe materiale ajutătoare. Mulțumită acestei aplicații, mi-am îmbunătățit franceza. Aș recomanda-o oricui.
Samantha Klich
utilizator Android
Wow, sunt cu adevărat impresionat. Am încercat aplicația pentru că am văzut-o promovată de multe ori și am rămas uimit. Aceasta este AJUTORUL de care ai nevoie pentru școală și, mai presus de toate, oferă atât de multe lucruri, precum exerciții și fișe de informații, care mi-au fost FOARTE de ajutor.
Anna
utilizator iOS
Te ajută să înveți foarte repede și ști foarte bine ce ai dori tu să înveți, vă recomand cu drag să încercați și să învățați mai repede.!
Thomas R
utilizator iOS
Foarte bună aplicația!!!! Mă ajută să înțeleg mult mai bine lecțiile și temele le termin mult mai repede.👍❤️
Paul P
utilizator Android
Te ajută foarte bine la teme acest robot,recomand!
David K
utilizator iOS
Aplicația e grozavă! Tot ce trebuie să fac este să introduc subiectul în bara de căutare și primesc răspunsul foarte rapid. Nu mai trebuie să mă uit la 10 videoclipuri pe YouTube pentru a înțelege ceva, deci îmi economisesc timpul. Super recomandat!
Sudenaz Ocak
utilizator Android
La școală eram chiar slab la matematică, dar datorită aplicației, mă descurc mai bine acum. Sunt atât de recunoscător că ai creat aplicația.
Greenlight Bonnie
utilizator Android
Această aplicație e super interesantă și seamănă ca tiktok-ul doar că tu ai doar teorie și explicații.
Karla S
utilizator Android
Nu mai trebuie să stau cu orele să învăț după caiet când pot să citesc de 2 ori lecțiile care apar aici și iau 10 la test ! Knowunity m-a ajutat să iau nota 9,20 la română ! Voi recomanda ff tare aceasta aplicate , să nu uităm ca are și chat GPT !👍🏻
Denisa B
utilizator iOS
CHESTIONARELE ȘI FLASHCARD-URILE SUNT ATÂT DE UTILE ȘI IUBESC Knowunity AI. E LITERALMENTE CA CHATGPT DOAR CĂ MAI DEȘTEPT!! M-A AJUTAT ȘI CU PROBLEMELE MELE CU MASCARA!! PLUS CU MATERIILE MELE ADEVĂRATE! EVIDENT 😍😁😲🤑💗✨🎀😮
Sarah L
utilizator Android
Este foarte bună te ajută la teme te face să înțelegi lecțiile am înțeles o lecție în 20 de minute i singură nu reușeam să o învăț dar cu Knowunity am învățat-o foarte ușor
Alessia V
utilizator iOS
Aplicația este foarte ușor de utilizat și bine concepută. Am găsit tot ce căutam până acum și am reușit să învăț multe din prezentări! Cu siguranță voi folosi aplicația pentru o temă la clasă! Și desigur, ajută mult ca sursă de inspirație.
Ștefan S
utilizator iOS
Această aplicație este super. Sunt atât de multe materiale de studiu și ajutor pentru elevi [...]. Materia mea mai problematică este franceza, de exemplu, și aplicația oferă foarte multe materiale ajutătoare. Mulțumită acestei aplicații, mi-am îmbunătățit franceza. Aș recomanda-o oricui.
Samantha Klich
utilizator Android
Wow, sunt cu adevărat impresionat. Am încercat aplicația pentru că am văzut-o promovată de multe ori și am rămas uimit. Aceasta este AJUTORUL de care ai nevoie pentru școală și, mai presus de toate, oferă atât de multe lucruri, precum exerciții și fișe de informații, care mi-au fost FOARTE de ajutor.
Anna
utilizator iOS
Te ajută să înveți foarte repede și ști foarte bine ce ai dori tu să înveți, vă recomand cu drag să încercați și să învățați mai repede.!
Thomas R
utilizator iOS
Foarte bună aplicația!!!! Mă ajută să înțeleg mult mai bine lecțiile și temele le termin mult mai repede.👍❤️
Paul P
utilizator Android
Te ajută foarte bine la teme acest robot,recomand!
David K
utilizator iOS
Aplicația e grozavă! Tot ce trebuie să fac este să introduc subiectul în bara de căutare și primesc răspunsul foarte rapid. Nu mai trebuie să mă uit la 10 videoclipuri pe YouTube pentru a înțelege ceva, deci îmi economisesc timpul. Super recomandat!
Sudenaz Ocak
utilizator Android
La școală eram chiar slab la matematică, dar datorită aplicației, mă descurc mai bine acum. Sunt atât de recunoscător că ai creat aplicația.
Greenlight Bonnie
utilizator Android
Această aplicație e super interesantă și seamănă ca tiktok-ul doar că tu ai doar teorie și explicații.
Karla S
utilizator Android
Nu mai trebuie să stau cu orele să învăț după caiet când pot să citesc de 2 ori lecțiile care apar aici și iau 10 la test ! Knowunity m-a ajutat să iau nota 9,20 la română ! Voi recomanda ff tare aceasta aplicate , să nu uităm ca are și chat GPT !👍🏻
Denisa B
utilizator iOS
CHESTIONARELE ȘI FLASHCARD-URILE SUNT ATÂT DE UTILE ȘI IUBESC Knowunity AI. E LITERALMENTE CA CHATGPT DOAR CĂ MAI DEȘTEPT!! M-A AJUTAT ȘI CU PROBLEMELE MELE CU MASCARA!! PLUS CU MATERIILE MELE ADEVĂRATE! EVIDENT 😍😁😲🤑💗✨🎀😮
Sarah L
utilizator Android
Este foarte bună te ajută la teme te face să înțelegi lecțiile am înțeles o lecție în 20 de minute i singură nu reușeam să o învăț dar cu Knowunity am învățat-o foarte ușor
Alessia V
utilizator iOS
Nica Alexandra
@nicaalexandra
Ai în față un set de probleme de matematică pentru clasa a 10-a, perfecte pentru pregătirea examenelor sau pentru consolidarea cunoștințelor. Aceste exerciții acoperă diverse domenii matematice, de la numere complexe și funcții, până la geometrie și probabilități.

Acces la toate documentele
Îmbunătățește notele tale!
Alătură-te milioanelor de elevi
Numerele sunt peste tot în jurul nostru! În prima variantă, ai o progresie aritmetică al cărei ultim termen trebuie calculat din suma 231. Pentru a rezolva acest tip de probleme, amintește-ți formula sumei primilor n termeni ai unei progresii aritmetice.
Pentru inecuații de gradul al doilea, ca $2x²-5x+3≤0f(x)=x²+1$.
💡 Nu uita că probabilitatea unui eveniment este raportul dintre numărul de cazuri favorabile și numărul total de cazuri posibile!
Distanța dintre două puncte în plan se calculează cu formula , utilă pentru problema cu punctele A(2,m) și B.
În Varianta 3, ordonarea corectă a numerelor iraționale precum , și necesită compararea valorilor lor aproximative sau ridicarea la puteri potrivite pentru a le face comparabile.
Pentru ecuațiile logaritmice precum , folosește proprietățile logaritmilor pentru a simplifica și apoi rezolvă ecuația rezultată, verificând dacă soluțiile respectă domeniul de definiție.

Acces la toate documentele
Îmbunătățește notele tale!
Alătură-te milioanelor de elevi
Numerele complexe pot părea intimidante, dar sunt fascinante odată ce te obișnuiești cu ele! Pentru a demonstra că un număr complex este real, trebuie să arăți că partea sa imaginară este zero.
La parabola , pentru a determina poziția vârfului, calculează coordonatele acestuia folosind formulele și . Un vârf în cadranul III înseamnă că ambele coordonate sunt negative!
💡 Pentru ecuațiile exponențiale precum $9^x-10\cdot3^{x-1}+1=0$, încearcă să exprimi totul în funcție de aceeași bază!
Probabilitățile sunt prezente în multe probleme. De exemplu, pentru a calcula probabilitatea ca un număr de trei cifre să aibă exact două cifre egale, trebuie să determini atât numărul total de cazuri favorabile, cât și numărul total de numere de trei cifre.
În geometrie, vectorii perpendiculari satisfac condiția că produsul lor scalar este zero. Astfel, pentru vectorii și din Varianta 4, găsești valoarea lui impunând condiția .
Varianta 6 include probleme cu sume de numere naturale, cum ar fi suma tuturor numerelor de două cifre divizibile cu 11, unde poți folosi formula sumei unei progresii aritmetice.

Acces la toate documentele
Îmbunătățește notele tale!
Alătură-te milioanelor de elevi
Modulul unui număr complex se calculează cu formula . Astfel, pentru , trebuie mai întâi să aduci fracția la forma .
Funcțiile de gradul al doilea sunt ușor de analizat dacă le aduci la forma canonică. Pentru a determina valoarea maximă a funcției , găsești coordonata a vârfului și calculezi în acel punct.
Pentru ecuația în intervalul [0,2π), amintește-ți că funcția sinus este negativă în cadranele III și IV, și caută valorile corespunzătoare.
💡 Combinatorica este esențială pentru multe probleme! Formula apare frecvent.
În Varianta 8, pentru paralelogramul ABCD cu punctele E și F având proprietățile date, folosești proprietățile vectorilor pentru a demonstra coliniaritatea punctelor A, F și C.
Sumele de progresii aritmetice cu termeni impari, cum ar fi 1+3+5+...+x=225, se rezolvă folosind formula sumei: , unde și .

Acces la toate documentele
Îmbunătățește notele tale!
Alătură-te milioanelor de elevi
Numerele complexe care satisfac ecuații precum pot fi utilizate pentru a calcula expresii de forma . Pentru aceasta, folosești relațiile dintre coeficienții ecuației și rădăcinile ei.
Funcțiile compuse apar frecvent, ca în din Varianta 10, unde trebuie să determini funcția de gradul întâi. Rezolvarea implică substituirea și egalarea coeficienților.
Pentru ecuații trigonometrice ca , folosește formulele trigonometrice și proprietățile funcțiilor pentru a ajunge la o formă mai simplă.
💡 Când determini numărul de funcții cu anumite proprietăți, gândește-te la câte valori poate lua funcția pentru fiecare element din domeniu!
Vectorii sunt fundamentali în geometrie. În triunghiul ABC din Varianta 11, cu punctele D și E care satisfac și , demonstrezi paralelismul dreptelor DE și BC folosind proprietățile vectorilor de poziție.
Pentru calculul expresiilor trigonometrice ca când , folosești formulele de dublare a unghiurilor: .

Acces la toate documentele
Îmbunătățește notele tale!
Alătură-te milioanelor de elevi
Numerele complexe apar în multiple contexte. Pentru a arăta că este întreg, calculezi expresia și observi că părțile imaginare se anulează.
Sistemele de ecuații precum apar frecvent. Acestea pot fi rezolvate aplicând formule Viète, observând că x și y sunt rădăcinile ecuației .
Ecuațiile cu radicali, ca , necesită ridicare la pătrat, dar atenție la soluțiile străine! Verifică întotdeauna soluțiile în ecuația inițială.
💡 La probleme cu dezvoltări binomiale, folosește formula pentru a identifica termenul care nu conține variabila.
Calculul distanței de la un punct la o dreaptă folosește formula , unde A$x_0,y_0$ și dreapta are ecuația .
Logaritmii pot apărea în sume precum . Folosind proprietatea , poți simplifica expresia la .

Acces la toate documentele
Îmbunătățește notele tale!
Alătură-te milioanelor de elevi
Modulul unui număr complex se calculează folosind formula după aducerea la forma . Alternativ, poți folosi proprietatea .
Pentru inecuația , trebuie să determini valoarea lui astfel încât inecuația să fie satisfăcută pentru orice real. Aceasta înseamnă că discriminantul trebuie să fie negativ.
Ecuațiile cu funcții arcsin, precum , se rezolvă aplicând funcția sinus la ambele părți și folosind formule trigonometrice.
💡 Pentru a rezolva ecuații combinatoriale ca , amintește-ți proprietatea și rezolvă ecuația rezultată!
În problemele cu unghiuri în triunghiuri, poți folosi produsul scalar pentru a calcula unghiului dintre două laturi. De exemplu, pentru triunghiul ABC cu A(2,-2), B(2,3), C(-2,3), calculezi pentru fiecare unghi și identifici unghiul maxim.
Pentru numerele complexe ca , calculezi puterea folosind formula binomului lui Newton sau prin înmulțiri succesive, apoi verifici dacă rezultatul are partea imaginară nulă.

Acces la toate documentele
Îmbunătățește notele tale!
Alătură-te milioanelor de elevi
Pentru a ordona crescător numere iraționale precum , poți să le ridici la puteri adecvate pentru a face comparația mai ușoară, sau să calculezi aproximările lor zecimale.
Funcțiile simetrice față de dreapta satisfac relația . Astfel, pentru a determina funcția simetrică cu față de , înlocuiești și rezolvi ecuația rezultată.
Ecuațiile exponențiale de tipul $3^{2x+1}-10 \cdot 3^{x+1}+27=0u = 3^{x+1}u$.
💡 Când calculezi probabilități pentru numere de trei cifre, numărul total de cazuri este 900 (de la 100 la 999)!
Ecuația medianei dintr-un vârf al triunghiului se determină folosind coordonatele vârfului și ale mijlocului laturii opuse. Pentru triunghiul cu A(1,2), B(2,3) și C(2,-5), mijlocul laturii BC are coordonatele .
În trigonometrie, identități precum se demonstrează folosind formulele de dublare a unghiurilor: și relația .

Acces la toate documentele
Îmbunătățește notele tale!
Alătură-te milioanelor de elevi
Puterile lui urmează un model ciclic: , , , . Astfel, pentru a calcula $1+i+i^2+...+i^{10}$, grupezi termenii după acest model.
Când lucrezi cu compuneri de funcții, cum ar fi unde și , înlocuiești în și rezolvi ecuația rezultată.
Pentru ecuații logaritmice complexe precum , folosești proprietățile logaritmilor pentru a simplifica expresia înainte de rezolvare.
💡 Pentru inecuații combinatoriale ca , dezvolți expresia și determini valorile întregi care o satisfac!
Distanța dintre două drepte paralele și se calculează folosind formula după aducerea ecuațiilor la forma în care coeficienții termenilor similari sunt identici.
În trigonometrie, valori precum se calculează folosind formula de sumă a sinusurilor: .

Acces la toate documentele
Îmbunătățește notele tale!
Alătură-te milioanelor de elevi
Operațiile cu numere complexe, cum ar fi , se efectuează folosind regulile algebrice obișnuite, ținând cont că .
Pentru a demonstra că o dreaptă și o parabolă se intersectează, arăți că ecuația care rezultă din egalarea expresiilor lor are cel puțin o soluție reală. La și , obții o ecuație de gradul al doilea în și analizezi discriminantul.
Ecuațiile exponențiale de forma $2^{2x}-3 \cdot 2^{x+1}+8 = 0u = 2^xu$.
💡 O proprietate importantă în combinatorică este , utilă pentru a demonstra inegalități precum !
În geometrie, pentru a arăta că în contextul hexagonului regulat, folosești proprietățile de simetrie și calculezi distanțele folosind coordonatele punctelor.
Valorile trigonometrice precum se calculează folosind formulele de sumă și diferență pentru sinus: .

Acces la toate documentele
Îmbunătățește notele tale!
Alătură-te milioanelor de elevi
Calculul expresiilor cu numere complexe precum se poate simplifica observând că termenii conjugați apar în sumă, iar partea imaginară se anulează.
Pentru funcțiile de gradul al doilea, cum ar fi , valorile , și se pot ordona calculând direct valorile sau analizând comportamentul funcției.
Vectorii sunt esențiali în probleme de geometrie. Pentru triunghiul ABC cu punct M pe BC astfel încât , demonstrezi că folosind combinații liniare de vectori.
💡 Pentru a demonstra că un număr precum este natural, ridică-l la pătrat și simplifică expresia!
În probabilități, când alegi o submulțime dintr-o mulțime dată, numărul total de cazuri este $2^n-1n$ elemente).
Trigonometria oferă identități fascinante, cum ar fi , care se pot demonstra folosind formulele de înjumătățire a unghiurilor sau alte identități trigonometrice cunoscute.

Acces la toate documentele
Îmbunătățește notele tale!
Alătură-te milioanelor de elevi

Acces la toate documentele
Îmbunătățește notele tale!
Alătură-te milioanelor de elevi

Acces la toate documentele
Îmbunătățește notele tale!
Alătură-te milioanelor de elevi

Acces la toate documentele
Îmbunătățește notele tale!
Alătură-te milioanelor de elevi

Acces la toate documentele
Îmbunătățește notele tale!
Alătură-te milioanelor de elevi

Acces la toate documentele
Îmbunătățește notele tale!
Alătură-te milioanelor de elevi

Acces la toate documentele
Îmbunătățește notele tale!
Alătură-te milioanelor de elevi

Acces la toate documentele
Îmbunătățește notele tale!
Alătură-te milioanelor de elevi

Acces la toate documentele
Îmbunătățește notele tale!
Alătură-te milioanelor de elevi

Acces la toate documentele
Îmbunătățește notele tale!
Alătură-te milioanelor de elevi

Acces la toate documentele
Îmbunătățește notele tale!
Alătură-te milioanelor de elevi

Acces la toate documentele
Îmbunătățește notele tale!
Alătură-te milioanelor de elevi

Acces la toate documentele
Îmbunătățește notele tale!
Alătură-te milioanelor de elevi

Acces la toate documentele
Îmbunătățește notele tale!
Alătură-te milioanelor de elevi

Acces la toate documentele
Îmbunătățește notele tale!
Alătură-te milioanelor de elevi

Acces la toate documentele
Îmbunătățește notele tale!
Alătură-te milioanelor de elevi

Acces la toate documentele
Îmbunătățește notele tale!
Alătură-te milioanelor de elevi

Acces la toate documentele
Îmbunătățește notele tale!
Alătură-te milioanelor de elevi

Acces la toate documentele
Îmbunătățește notele tale!
Alătură-te milioanelor de elevi

Acces la toate documentele
Îmbunătățește notele tale!
Alătură-te milioanelor de elevi

Acces la toate documentele
Îmbunătățește notele tale!
Alătură-te milioanelor de elevi

Acces la toate documentele
Îmbunătățește notele tale!
Alătură-te milioanelor de elevi

Acces la toate documentele
Îmbunătățește notele tale!
Alătură-te milioanelor de elevi

Acces la toate documentele
Îmbunătățește notele tale!
Alătură-te milioanelor de elevi

Acces la toate documentele
Îmbunătățește notele tale!
Alătură-te milioanelor de elevi

Acces la toate documentele
Îmbunătățește notele tale!
Alătură-te milioanelor de elevi

Acces la toate documentele
Îmbunătățește notele tale!
Alătură-te milioanelor de elevi

Acces la toate documentele
Îmbunătățește notele tale!
Alătură-te milioanelor de elevi

Acces la toate documentele
Îmbunătățește notele tale!
Alătură-te milioanelor de elevi

Acces la toate documentele
Îmbunătățește notele tale!
Alătură-te milioanelor de elevi

Acces la toate documentele
Îmbunătățește notele tale!
Alătură-te milioanelor de elevi

Acces la toate documentele
Îmbunătățește notele tale!
Alătură-te milioanelor de elevi

Acces la toate documentele
Îmbunătățește notele tale!
Alătură-te milioanelor de elevi

Acces la toate documentele
Îmbunătățește notele tale!
Alătură-te milioanelor de elevi

Acces la toate documentele
Îmbunătățește notele tale!
Alătură-te milioanelor de elevi

Acces la toate documentele
Îmbunătățește notele tale!
Alătură-te milioanelor de elevi

Acces la toate documentele
Îmbunătățește notele tale!
Alătură-te milioanelor de elevi

Acces la toate documentele
Îmbunătățește notele tale!
Alătură-te milioanelor de elevi

Acces la toate documentele
Îmbunătățește notele tale!
Alătură-te milioanelor de elevi

Acces la toate documentele
Îmbunătățește notele tale!
Alătură-te milioanelor de elevi

Acces la toate documentele
Îmbunătățește notele tale!
Alătură-te milioanelor de elevi

Acces la toate documentele
Îmbunătățește notele tale!
Alătură-te milioanelor de elevi

Acces la toate documentele
Îmbunătățește notele tale!
Alătură-te milioanelor de elevi

Acces la toate documentele
Îmbunătățește notele tale!
Alătură-te milioanelor de elevi

Acces la toate documentele
Îmbunătățește notele tale!
Alătură-te milioanelor de elevi

Acces la toate documentele
Îmbunătățește notele tale!
Alătură-te milioanelor de elevi

Acces la toate documentele
Îmbunătățește notele tale!
Alătură-te milioanelor de elevi

Acces la toate documentele
Îmbunătățește notele tale!
Alătură-te milioanelor de elevi

Acces la toate documentele
Îmbunătățește notele tale!
Alătură-te milioanelor de elevi

Acces la toate documentele
Îmbunătățește notele tale!
Alătură-te milioanelor de elevi

Acces la toate documentele
Îmbunătățește notele tale!
Alătură-te milioanelor de elevi

Acces la toate documentele
Îmbunătățește notele tale!
Alătură-te milioanelor de elevi

Acces la toate documentele
Îmbunătățește notele tale!
Alătură-te milioanelor de elevi

Acces la toate documentele
Îmbunătățește notele tale!
Alătură-te milioanelor de elevi

Acces la toate documentele
Îmbunătățește notele tale!
Alătură-te milioanelor de elevi

Acces la toate documentele
Îmbunătățește notele tale!
Alătură-te milioanelor de elevi

Acces la toate documentele
Îmbunătățește notele tale!
Alătură-te milioanelor de elevi

Acces la toate documentele
Îmbunătățește notele tale!
Alătură-te milioanelor de elevi

Acces la toate documentele
Îmbunătățește notele tale!
Alătură-te milioanelor de elevi

Acces la toate documentele
Îmbunătățește notele tale!
Alătură-te milioanelor de elevi

Acces la toate documentele
Îmbunătățește notele tale!
Alătură-te milioanelor de elevi

Acces la toate documentele
Îmbunătățește notele tale!
Alătură-te milioanelor de elevi

Acces la toate documentele
Îmbunătățește notele tale!
Alătură-te milioanelor de elevi

Acces la toate documentele
Îmbunătățește notele tale!
Alătură-te milioanelor de elevi

Acces la toate documentele
Îmbunătățește notele tale!
Alătură-te milioanelor de elevi

Acces la toate documentele
Îmbunătățește notele tale!
Alătură-te milioanelor de elevi

Acces la toate documentele
Îmbunătățește notele tale!
Alătură-te milioanelor de elevi

Acces la toate documentele
Îmbunătățește notele tale!
Alătură-te milioanelor de elevi

Acces la toate documentele
Îmbunătățește notele tale!
Alătură-te milioanelor de elevi

Acces la toate documentele
Îmbunătățește notele tale!
Alătură-te milioanelor de elevi

Acces la toate documentele
Îmbunătățește notele tale!
Alătură-te milioanelor de elevi

Acces la toate documentele
Îmbunătățește notele tale!
Alătură-te milioanelor de elevi

Acces la toate documentele
Îmbunătățește notele tale!
Alătură-te milioanelor de elevi

Acces la toate documentele
Îmbunătățește notele tale!
Alătură-te milioanelor de elevi
Companionul nostru AI este creat special pentru nevoile studenților. Bazându-ne pe milioanele de materiale de pe platformă, putem oferi răspunsuri exacte și relevante pentru studenți. Dar nu este vorba doar despre răspunsuri, companionul este mai ales despre ghidarea studenților prin provocările zilnice de învățare, cu planuri de studiu personalizate, chestionare sau conținuturi în chat și personalizare 100% bazată pe abilitățile și evoluțiile studenților.
Aplicația este disponibilă în Google Play Store și Apple App Store.
Da! Bucură-te de access la materiale de studiu, conectează-te cu alți elevi, și primește ajutor instant - toate acestea la un click distanță. În plus, câștigă puncte ca să deblochezi mai multe funcționalități!
10
Instrumente inteligente NOU
Transformă această notiță în: ✓ 50+ întrebări de exersare ✓ Flashcard-uri interactive ✓ Examen de practică complet ✓ Planuri de eseu
App Store
Google Play
Aplicația este foarte ușor de utilizat și bine concepută. Am găsit tot ce căutam până acum și am reușit să învăț multe din prezentări! Cu siguranță voi folosi aplicația pentru o temă la clasă! Și desigur, ajută mult ca sursă de inspirație.
Ștefan S
utilizator iOS
Această aplicație este super. Sunt atât de multe materiale de studiu și ajutor pentru elevi [...]. Materia mea mai problematică este franceza, de exemplu, și aplicația oferă foarte multe materiale ajutătoare. Mulțumită acestei aplicații, mi-am îmbunătățit franceza. Aș recomanda-o oricui.
Samantha Klich
utilizator Android
Wow, sunt cu adevărat impresionat. Am încercat aplicația pentru că am văzut-o promovată de multe ori și am rămas uimit. Aceasta este AJUTORUL de care ai nevoie pentru școală și, mai presus de toate, oferă atât de multe lucruri, precum exerciții și fișe de informații, care mi-au fost FOARTE de ajutor.
Anna
utilizator iOS
Te ajută să înveți foarte repede și ști foarte bine ce ai dori tu să înveți, vă recomand cu drag să încercați și să învățați mai repede.!
Thomas R
utilizator iOS
Foarte bună aplicația!!!! Mă ajută să înțeleg mult mai bine lecțiile și temele le termin mult mai repede.👍❤️
Paul P
utilizator Android
Te ajută foarte bine la teme acest robot,recomand!
David K
utilizator iOS
Aplicația e grozavă! Tot ce trebuie să fac este să introduc subiectul în bara de căutare și primesc răspunsul foarte rapid. Nu mai trebuie să mă uit la 10 videoclipuri pe YouTube pentru a înțelege ceva, deci îmi economisesc timpul. Super recomandat!
Sudenaz Ocak
utilizator Android
La școală eram chiar slab la matematică, dar datorită aplicației, mă descurc mai bine acum. Sunt atât de recunoscător că ai creat aplicația.
Greenlight Bonnie
utilizator Android
Această aplicație e super interesantă și seamănă ca tiktok-ul doar că tu ai doar teorie și explicații.
Karla S
utilizator Android
Nu mai trebuie să stau cu orele să învăț după caiet când pot să citesc de 2 ori lecțiile care apar aici și iau 10 la test ! Knowunity m-a ajutat să iau nota 9,20 la română ! Voi recomanda ff tare aceasta aplicate , să nu uităm ca are și chat GPT !👍🏻
Denisa B
utilizator iOS
CHESTIONARELE ȘI FLASHCARD-URILE SUNT ATÂT DE UTILE ȘI IUBESC Knowunity AI. E LITERALMENTE CA CHATGPT DOAR CĂ MAI DEȘTEPT!! M-A AJUTAT ȘI CU PROBLEMELE MELE CU MASCARA!! PLUS CU MATERIILE MELE ADEVĂRATE! EVIDENT 😍😁😲🤑💗✨🎀😮
Sarah L
utilizator Android
Este foarte bună te ajută la teme te face să înțelegi lecțiile am înțeles o lecție în 20 de minute i singură nu reușeam să o învăț dar cu Knowunity am învățat-o foarte ușor
Alessia V
utilizator iOS
Aplicația este foarte ușor de utilizat și bine concepută. Am găsit tot ce căutam până acum și am reușit să învăț multe din prezentări! Cu siguranță voi folosi aplicația pentru o temă la clasă! Și desigur, ajută mult ca sursă de inspirație.
Ștefan S
utilizator iOS
Această aplicație este super. Sunt atât de multe materiale de studiu și ajutor pentru elevi [...]. Materia mea mai problematică este franceza, de exemplu, și aplicația oferă foarte multe materiale ajutătoare. Mulțumită acestei aplicații, mi-am îmbunătățit franceza. Aș recomanda-o oricui.
Samantha Klich
utilizator Android
Wow, sunt cu adevărat impresionat. Am încercat aplicația pentru că am văzut-o promovată de multe ori și am rămas uimit. Aceasta este AJUTORUL de care ai nevoie pentru școală și, mai presus de toate, oferă atât de multe lucruri, precum exerciții și fișe de informații, care mi-au fost FOARTE de ajutor.
Anna
utilizator iOS
Te ajută să înveți foarte repede și ști foarte bine ce ai dori tu să înveți, vă recomand cu drag să încercați și să învățați mai repede.!
Thomas R
utilizator iOS
Foarte bună aplicația!!!! Mă ajută să înțeleg mult mai bine lecțiile și temele le termin mult mai repede.👍❤️
Paul P
utilizator Android
Te ajută foarte bine la teme acest robot,recomand!
David K
utilizator iOS
Aplicația e grozavă! Tot ce trebuie să fac este să introduc subiectul în bara de căutare și primesc răspunsul foarte rapid. Nu mai trebuie să mă uit la 10 videoclipuri pe YouTube pentru a înțelege ceva, deci îmi economisesc timpul. Super recomandat!
Sudenaz Ocak
utilizator Android
La școală eram chiar slab la matematică, dar datorită aplicației, mă descurc mai bine acum. Sunt atât de recunoscător că ai creat aplicația.
Greenlight Bonnie
utilizator Android
Această aplicație e super interesantă și seamănă ca tiktok-ul doar că tu ai doar teorie și explicații.
Karla S
utilizator Android
Nu mai trebuie să stau cu orele să învăț după caiet când pot să citesc de 2 ori lecțiile care apar aici și iau 10 la test ! Knowunity m-a ajutat să iau nota 9,20 la română ! Voi recomanda ff tare aceasta aplicate , să nu uităm ca are și chat GPT !👍🏻
Denisa B
utilizator iOS
CHESTIONARELE ȘI FLASHCARD-URILE SUNT ATÂT DE UTILE ȘI IUBESC Knowunity AI. E LITERALMENTE CA CHATGPT DOAR CĂ MAI DEȘTEPT!! M-A AJUTAT ȘI CU PROBLEMELE MELE CU MASCARA!! PLUS CU MATERIILE MELE ADEVĂRATE! EVIDENT 😍😁😲🤑💗✨🎀😮
Sarah L
utilizator Android
Este foarte bună te ajută la teme te face să înțelegi lecțiile am înțeles o lecție în 20 de minute i singură nu reușeam să o învăț dar cu Knowunity am învățat-o foarte ușor
Alessia V
utilizator iOS