Accesează aplicația

Materii

Subiecte Rezolvate pentru Bacalaureat

2

0

M

Maria

22.11.2025

Matematică

Subiect de bac

59

22 nov. 2025

12 pagini

Subiecte Rezolvate pentru Bacalaureat

M

Maria

@mariasiatat

Hai să explorăm împreună simularea examenului de bacalaureat la matematică... Afișează mai mult

Page 1
Page 2
Page 3
Page 4
Page 5
Page 6
Page 7
Page 8
Page 9
Page 10
Page 11
Page 12
1 / 12
Ministerul Educației și Cercetării
Centrul Național de Politici și Evaluare în Educație

Examenul național de bacalaureat 2025
Proba E. c)
M

Structura examenului de bacalaureat la matematică M_tehnologic

Simularea pentru Bacalaureat 2025 la matematică M_tehnologic este structurată în trei subiecte principale. Fiecare subiect valorează 30 de puncte, la care se adaugă 10 puncte din oficiu.

Primul subiect conține șase exerciții diverse, de la progresii aritmetice și funcții, până la ecuații logaritmice și geometrie. La acest subiect trebuie să fii atent la formulele de bază și la aplicarea lor corectă.

Al doilea subiect se concentrează pe algebră matriceală și legi de compoziție, testând abilitatea ta de a lucra cu structuri matematice mai complexe.

Reține! Timpul de lucru este de 3 ore pentru toate subiectele, deci gestionează-ți bine timpul pentru a rezolva cât mai multe exerciții.

Subiectul al treilea abordează analiza matematică, cu accent pe derivate, limite și integrale, care necesită atenție deosebită la calculele intermediare.

Ministerul Educației și Cercetării
Centrul Național de Politici și Evaluare în Educație

Examenul național de bacalaureat 2025
Proba E. c)
M

Progresii aritmetice și ecuații cu funcții

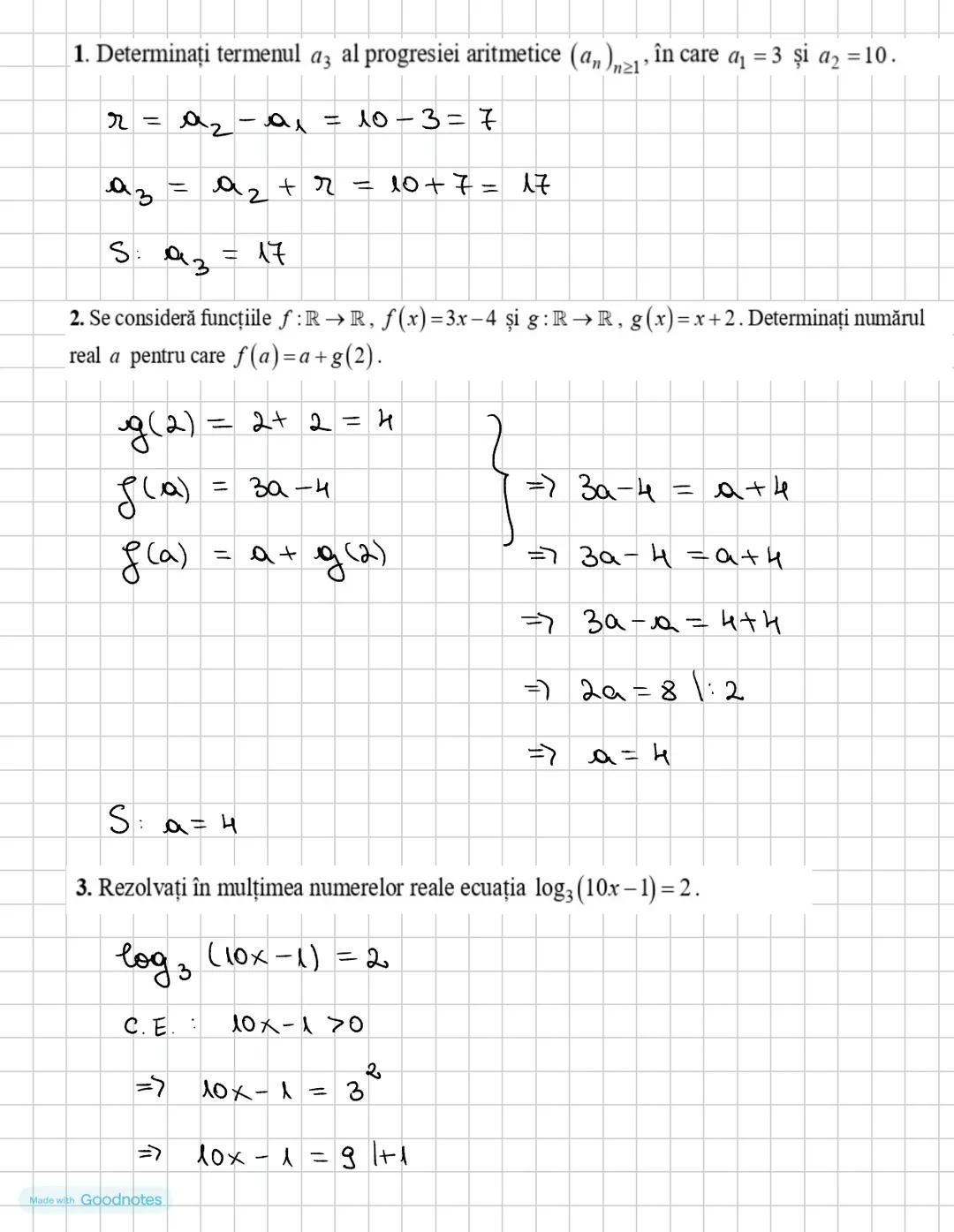
Primele exerciții ale simulării sunt destul de accesibile dacă stăpânești noțiunile de bază. La progresii aritmetice, trebuie să știi că diferența dintre termeni consecutivi este constantă.

La exercițiul cu progresie aritmetică, rațiunea se calculează ca diferența dintre doi termeni consecutivi: r=a2a1=103=7r = a_2 - a_1 = 10-3=7. Apoi, al treilea termen se obține adăugând rațiunea la termenul anterior: a3=a2+r=10+7=17a_3 = a_2 + r = 10+7 = 17.

Pentru exercițiul cu funcții f(x)=3x4f(x)=3x-4 și g(x)=x+2g(x)=x+2, trebuie să rezolvi ecuația f(a)=a+g(2)f(a)=a+g(2). Mai întâi calculezi g(2)=2+2=4g(2) = 2+2 = 4, apoi înlocuiești în ecuație și obții 3a4=a+43a-4 = a+4, de unde rezultă a=4a=4.

Sfat util: La ecuații cu logaritmi, nu uita să verifici și condițiile de existență - argumentul logaritmului trebuie să fie strict pozitiv!

La ecuația logaritmică log3(10x1)=2log_3(10x-1)=2, ai direct 10x1=32=910x-1=3^2=9, de unde obții x=1x=1 verifică și că $10x-1>0$.

Ministerul Educației și Cercetării
Centrul Național de Politici și Evaluare în Educație

Examenul național de bacalaureat 2025
Proba E. c)
M

Probleme de procente și calcule practice

La problemele practice, precum cea cu ieftinirea produsului, este important să traduci enunțul în limbaj matematic. Dacă produsul costă 110 lei după o ieftinire de 45%, înseamnă că prețul actual reprezintă 55% din prețul inițial.

Notând cu x prețul inițial, ecuația devine: x - 45% din x = 110 x - 0,45x = 110 0,55x = 110 x = 200 lei

Abordarea sistematică a acestor probleme îți va aduce puncte sigure la examen. Verifică întotdeauna rezultatul obținut - prețul redus trebuie să fie 200 - 45% din 200 = 200 - 90 = 110 lei.

Atenție! Problemele cu procente apar frecvent la bacalaureat și sunt adesea considerate "puncte sigure" dacă le stăpânești bine.

Calculele cu procente sunt utile și în viața de zi cu zi, deci merită să exersezi acest tip de probleme chiar dacă ți se par simple.

Ministerul Educației și Cercetării
Centrul Național de Politici și Evaluare în Educație

Examenul național de bacalaureat 2025
Proba E. c)
M

Geometrie analitică în plan

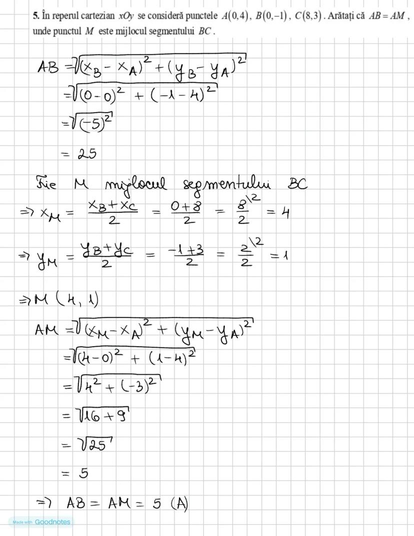
În problemele de geometrie analitică, formula pentru distanța dintre două puncte este esențială: d(A,B)=(xBxA)2+(yByA)2d(A,B) = \sqrt{(x_B - x_A)^2 + (y_B - y_A)^2}.

Pentru exercițiul cu punctele A(0,4), B(0,-1) și C(8,3), trebuie să demonstrezi că AB = AM, unde M este mijlocul lui BC. Calculezi:

  1. Distanța AB: AB=(00)2+(14)2=25=5AB = \sqrt{(0-0)^2 + (-1-4)^2} = \sqrt{25} = 5

  2. Coordonatele lui M: xM=0+82=4x_M = \frac{0+8}{2} = 4 și yM=1+32=1y_M = \frac{-1+3}{2} = 1, deci M(4,1)

  3. Distanța AM: AM=(40)2+(14)2=16+9=25=5AM = \sqrt{(4-0)^2 + (1-4)^2} = \sqrt{16+9} = \sqrt{25} = 5

Fiind egale, ai demonstrat că AB = AM = 5.

Reține formula! Pentru a găsi coordonatele mijlocului unui segment, faci media aritmetică a coordonatelor capetelor: xM=xB+xC2x_M = \frac{x_B + x_C}{2} și yM=yB+yC2y_M = \frac{y_B + y_C}{2}

Acest tip de probleme testează înțelegerea geometriei în contextul sistemului de coordonate carteziene.

Ministerul Educației și Cercetării
Centrul Național de Politici și Evaluare în Educație

Examenul național de bacalaureat 2025
Proba E. c)
M

Trigonometrie în triunghiul dreptunghic

Trigonometria în triunghiul dreptunghic este o parte fundamentală a matematicii. Pentru exercițiul cu triunghiul ABC dreptunghic în A, cu AB = 6 și AC = 8, trebuie să demonstrezi că sin C = 3/5.

Mai întâi, calculează lungimea ipotenuzei BC folosind teorema lui Pitagora: BC² = AB² + AC² = 6² + 8² = 36 + 64 = 100 BC = 10

Apoi folosești definiția sinusului ca raport între cateta opusă și ipotenuză: sin C = AB/BC = 6/10 = 3/5

Important! În triunghiul dreptunghic, sinusul unui unghi este egal cu raportul dintre cateta opusă unghiului și ipotenuză.

Trigonometria este utilă în multe aplicații practice și va apărea frecvent în probleme de geometrie la bacalaureat, deci asigură-te că stăpânești relațiile de bază.

Ministerul Educației și Cercetării
Centrul Național de Politici și Evaluare în Educație

Examenul național de bacalaureat 2025
Proba E. c)
M

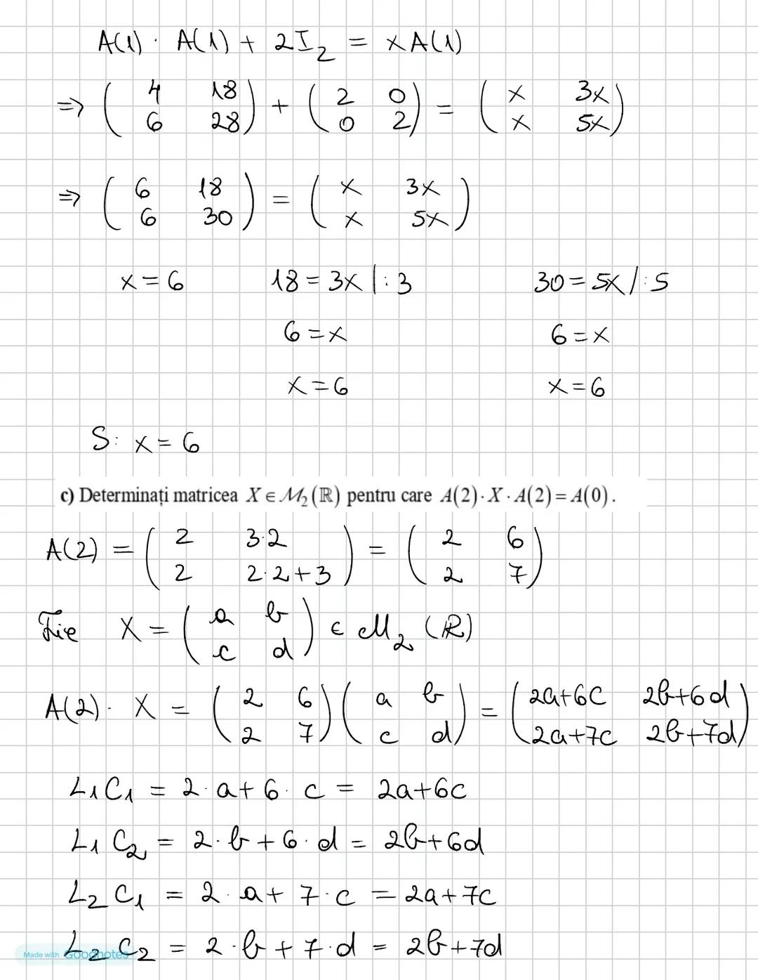
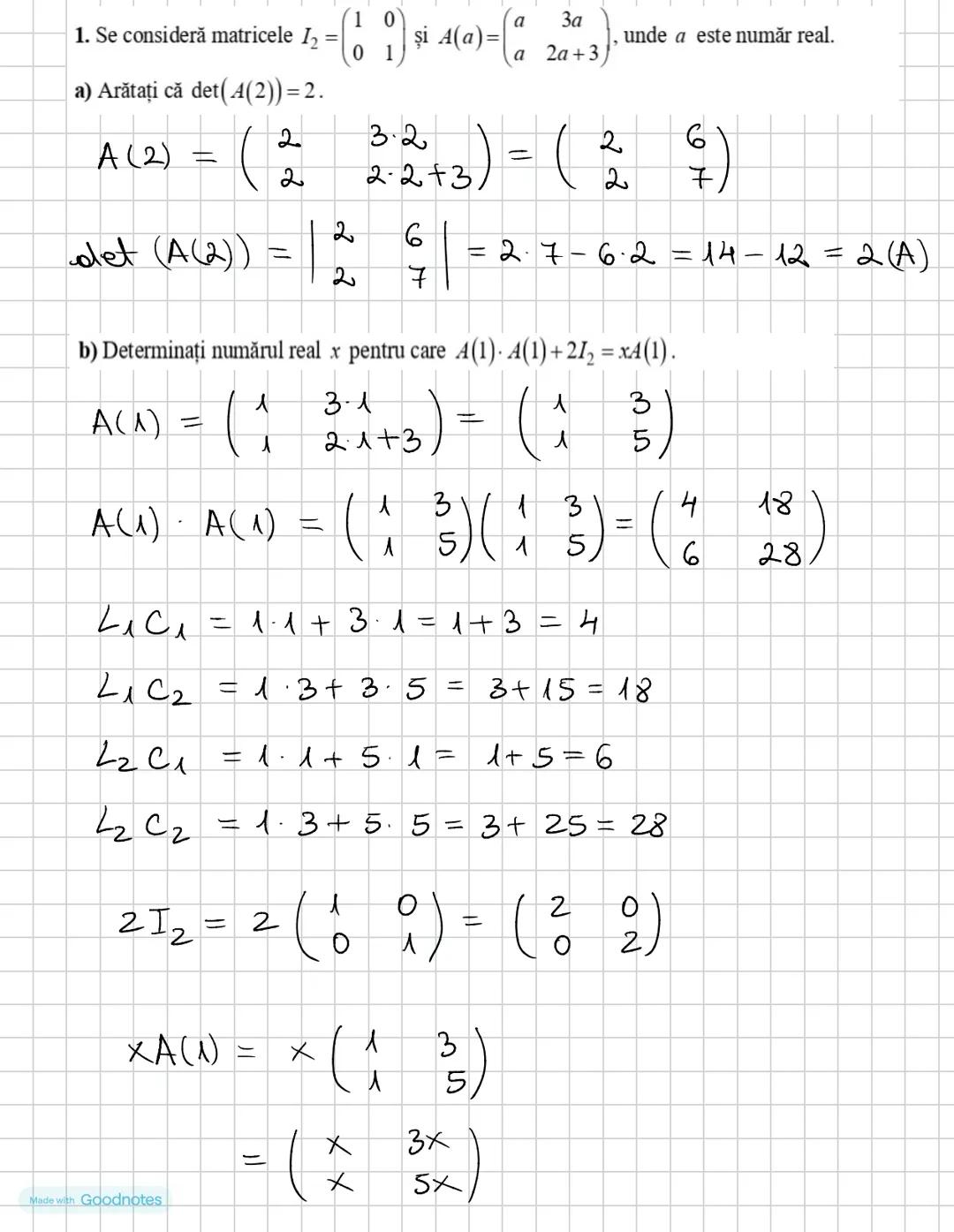
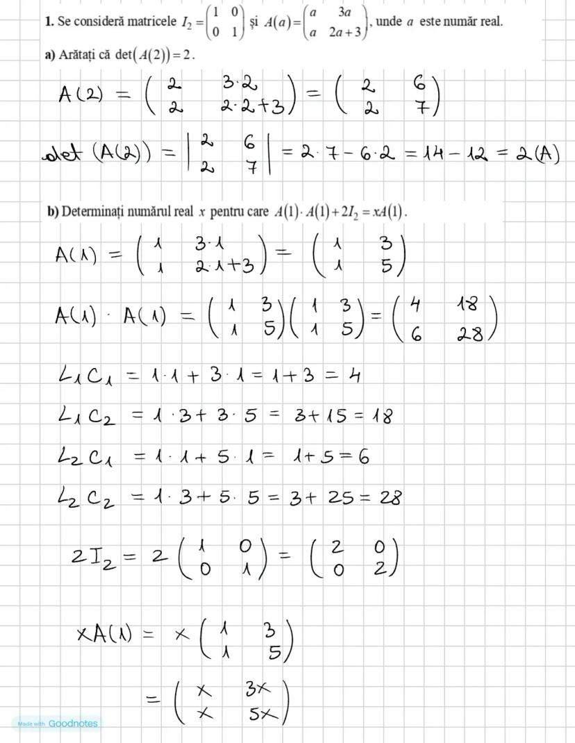
Algebră matriceală

Problemele cu matrici necesită atenție la operațiile de înmulțire și calcul al determinanților. La exercițiul cu matricele I2I_2 și A(a)A(a), trebuie să parcurgi câțiva pași clari.

Pentru a arăta că det(A(2)) = 2, calculezi: A(2)=(26 27)A(2) = \begin{pmatrix} 2 & 6 \ 2 & 7 \end{pmatrix} det(A(2))=2762=1412=2\det(A(2)) = 2 \cdot 7 - 6 \cdot 2 = 14 - 12 = 2

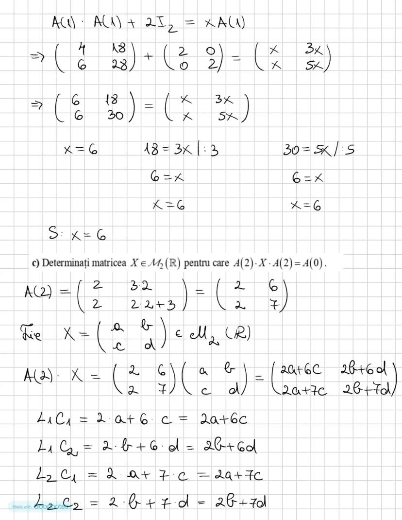
La partea b), trebuie să găsești valoarea lui x pentru care A(1)A(1)+2I2=xA(1)A(1) \cdot A(1) + 2I_2 = xA(1). Calculezi: A(1)=(13 15)A(1) = \begin{pmatrix} 1 & 3 \ 1 & 5 \end{pmatrix} A(1)A(1)=(418 628)A(1) \cdot A(1) = \begin{pmatrix} 4 & 18 \ 6 & 28 \end{pmatrix} 2I2=(20 02)2I_2 = \begin{pmatrix} 2 & 0 \ 0 & 2 \end{pmatrix}

Atenție la înmulțirea matricelor! La înmulțirea a două matrici, elementul de pe poziția (i,j) din produs se obține ca suma produselor elementelor de pe linia i din prima matrice cu elementele de pe coloana j din a doua matrice.

Adunând, obții că A(1)A(1)+2I2=(618 630)A(1) \cdot A(1) + 2I_2 = \begin{pmatrix} 6 & 18 \ 6 & 30 \end{pmatrix}. Comparând cu xA(1)=(x3x x5x)xA(1) = \begin{pmatrix} x & 3x \ x & 5x \end{pmatrix}, rezultă x = 6.

Ministerul Educației și Cercetării
Centrul Național de Politici și Evaluare în Educație

Examenul național de bacalaureat 2025
Proba E. c)
M

Operații cu matrici și sisteme de ecuații

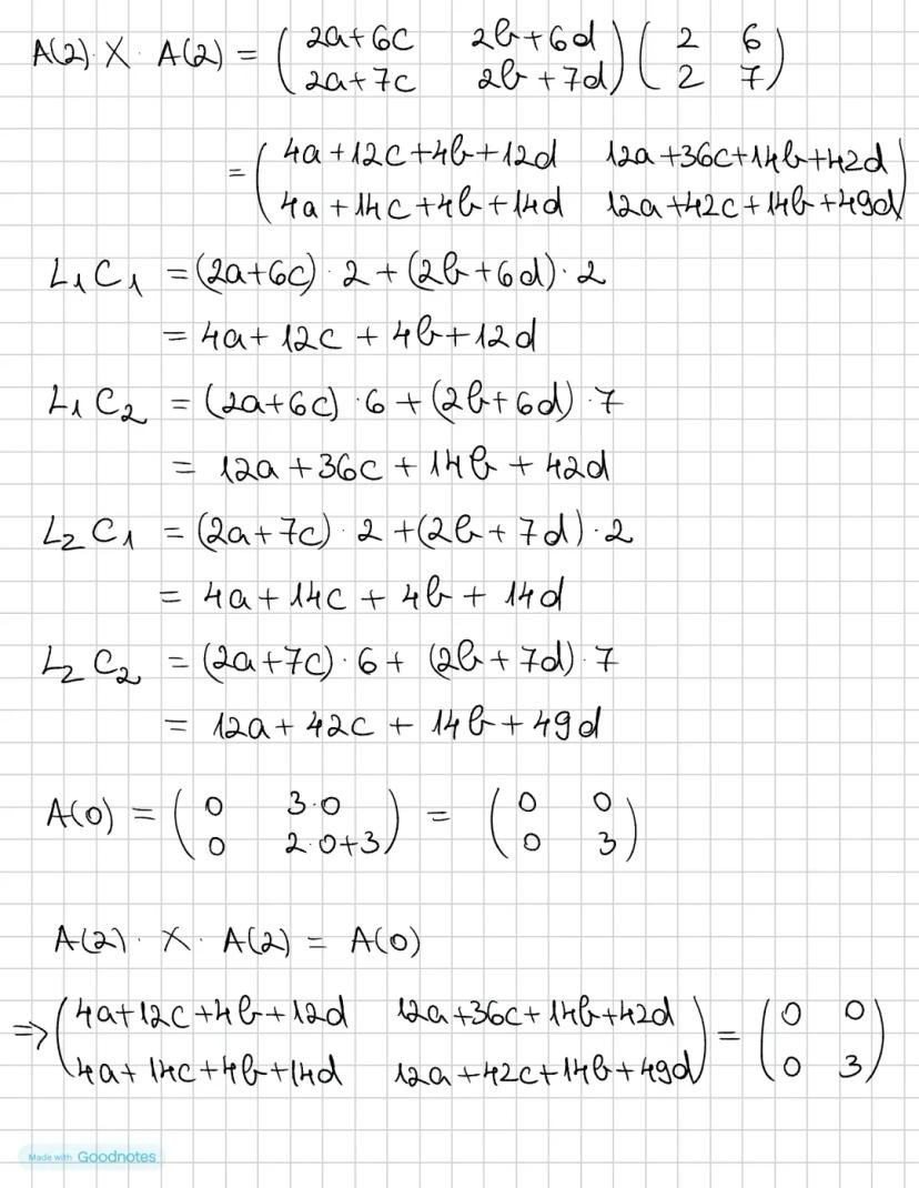
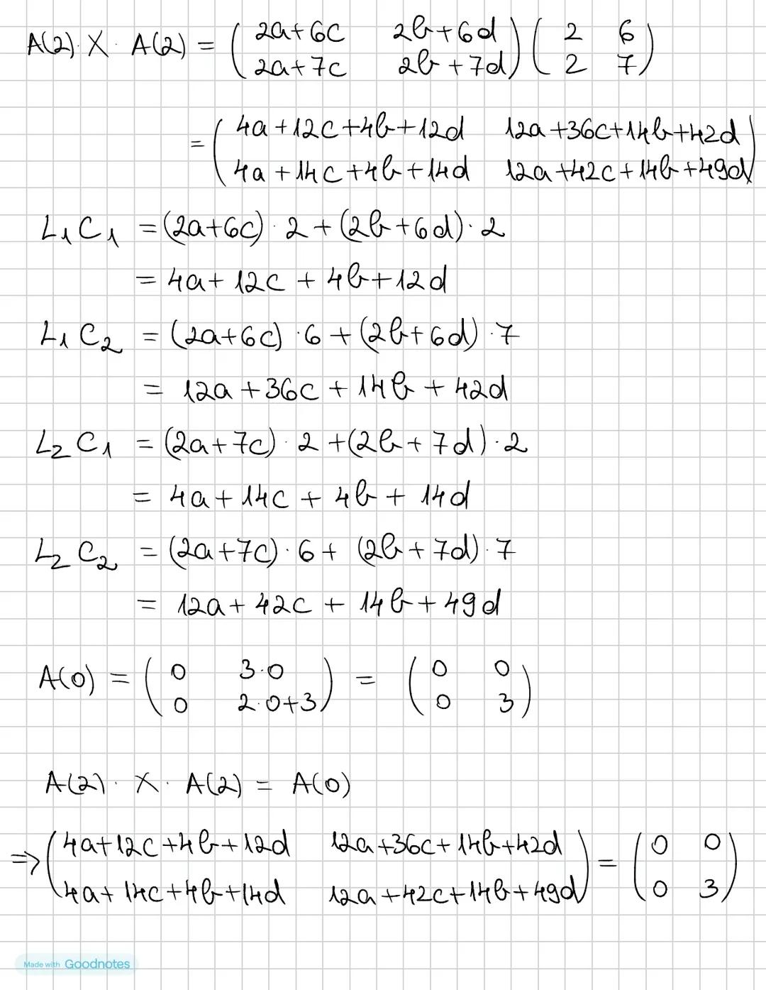
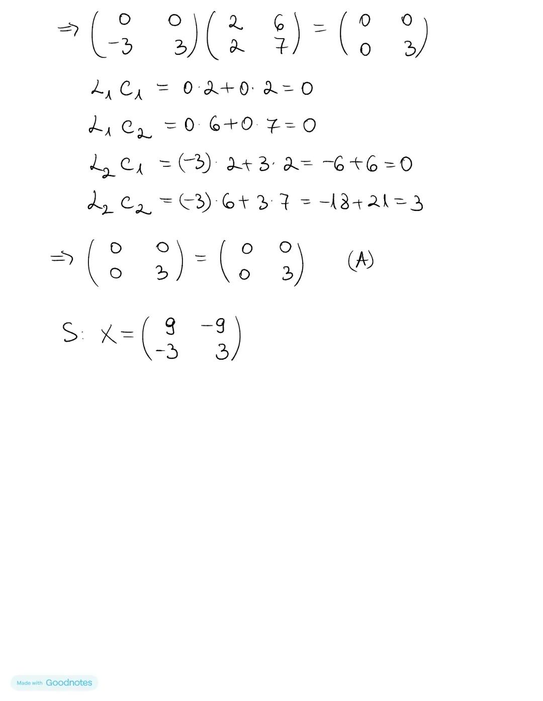
Continuând cu problema matricelor, la punctul c) trebuie să determini matricea X pentru care A(2)XA(2)=A(0)A(2) \cdot X - A(2) = A(0). Această problemă necesită operații matriceale și rezolvarea unui sistem de ecuații.

Primul pas este să calculezi matricea A(0)=(00 03)A(0) = \begin{pmatrix} 0 & 0 \ 0 & 3 \end{pmatrix}. Apoi, notezi matricea necunoscută ca X=(ab cd)X = \begin{pmatrix} a & b \ c & d \end{pmatrix} și calculezi produsul A(2)X=(2a+6c2b+6d 2a+7c2b+7d)A(2) \cdot X = \begin{pmatrix} 2a+6c & 2b+6d \ 2a+7c & 2b+7d \end{pmatrix}.

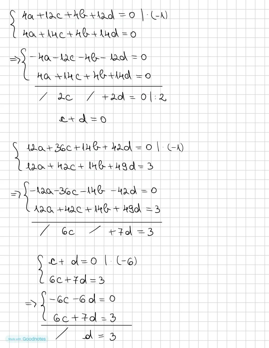
Rezolvarea ecuației matriceale conduce la un sistem de ecuații: 4a+12c+4b+12d=04a+12c+4b+12d = 0 4a+14c+4b+14d=04a+14c+4b+14d = 0 12a+36c+14b+42d=012a+36c+14b+42d = 0 12a+42c+14b+49d=312a+42c+14b+49d = 3

Strategie eficientă: La rezolvarea sistemelor complexe, încearcă să simplifici ecuațiile prin scăderea lor pentru a elimina variabile.

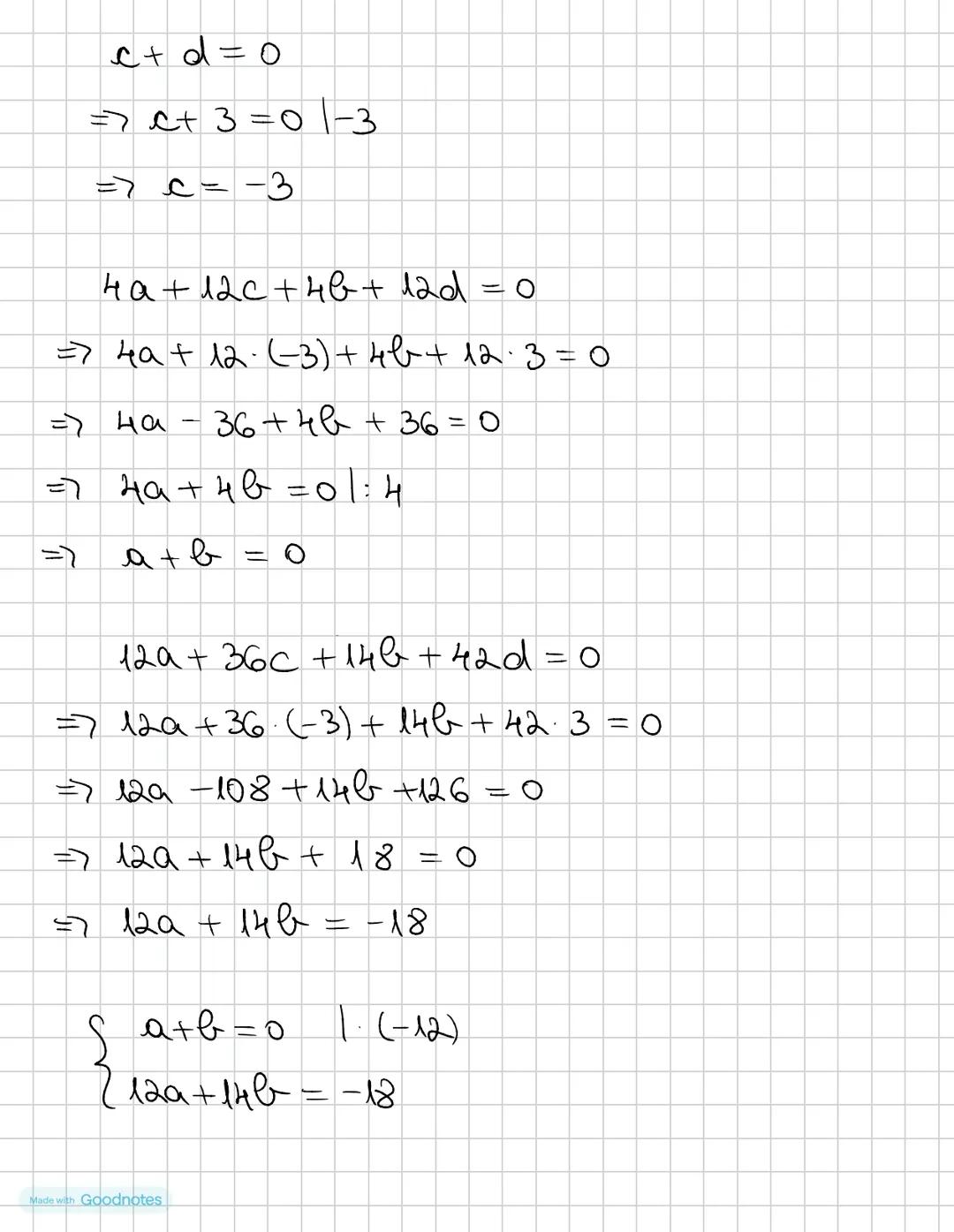
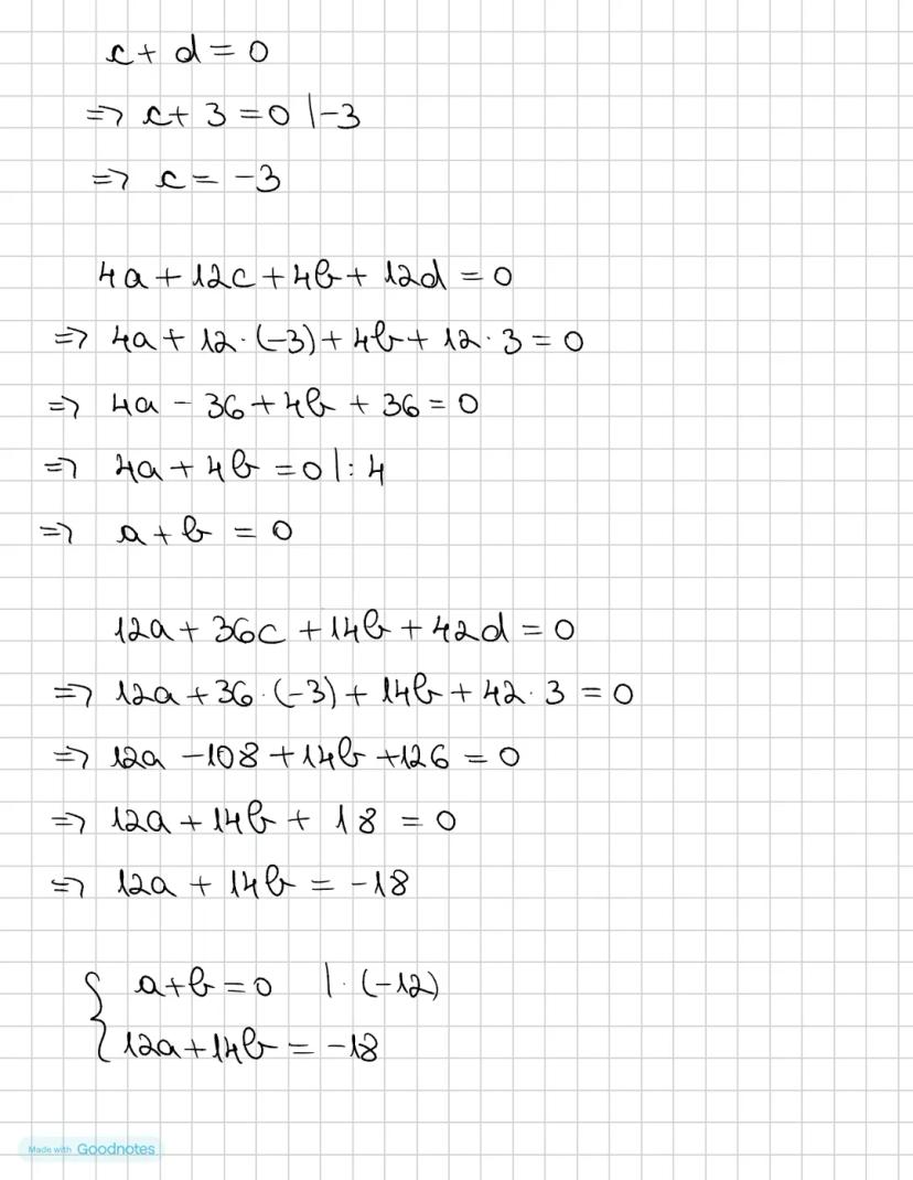
Din primele două ecuații, deduci că c+d=0, iar din ultimele două obții 6c+7d=3. Rezolvând acest subsistem, găsești c=-3 și d=3, apoi a+b=0, ceea ce înseamnă că matricea X va avea forma X=(aa 33)X = \begin{pmatrix} a & -a \ -3 & 3 \end{pmatrix}.

Ministerul Educației și Cercetării
Centrul Național de Politici și Evaluare în Educație

Examenul național de bacalaureat 2025
Proba E. c)
M

Ecuații matriceale complexe

Pentru a finaliza rezolvarea problemei matriceale, trebuie să completezi determinarea completă a matricei X. După ce ai găsit c=-3 și d=3 din sistemul anterior, ai obținut relația a+b=0.

Dacă înlocuiești aceste valori în ecuațiile inițiale, vei obține: 4a+12(3)+4b+12(3)=04a+12(-3)+4b+12(3) = 0 4a36+4b+36=04a-36+4b+36 = 0 4a+4b=04a+4b = 0 a+b=0a+b = 0

De asemenea, din a treia ecuație: 12a+36(3)+14b+42(3)=012a+36(-3)+14b+42(3) = 0 12a108+14b+126=012a-108+14b+126 = 0 12a+14b+18=012a+14b+18 = 0

Observație: În probleme cu matrici, verificarea soluției este la fel de importantă ca și găsirea ei! Substituie rezultatele în ecuația originală pentru a te asigura că ai rezolvat corect.

Acest sistem ne dă o relație între a și b, iar combinat cu a+b=0, putem determina valorile exacte pentru ambele necunoscute, completând astfel matricea X.

Ministerul Educației și Cercetării
Centrul Național de Politici și Evaluare în Educație

Examenul național de bacalaureat 2025
Proba E. c)
M

Rezolvarea sistemelor de ecuații

În continuarea rezolvării ecuației matriceale, trebuie să finalizăm determinarea valorilor necunoscutelor a și b. Din ecuațiile obținute anterior, avem:

a+b=0a+b = 0 12a+14b=1812a+14b = -18

Înmulțind prima ecuație cu -12 și adăugând la a doua, obținem: 12a12b=0-12a-12b = 0 12a+14b=1812a+14b = -18

Adunând aceste ecuații: 2b=182b = -18 b=9b = -9

Și din relația a+b=0, rezultă: a+(9)=0a+(-9) = 0 a=9a = 9

Verificare rapidă: Înlocuiește valorile a=9, b=-9, c=-3, d=3 în ecuația originală pentru a confirma că ai găsit soluția corectă.

Astfel, matricea X căutată este X=(99 33)X = \begin{pmatrix} 9 & -9 \ -3 & 3 \end{pmatrix}. Acesta este un exemplu tipic de problemă complexă cu matrici care apare la bacalaureat.

Ministerul Educației și Cercetării
Centrul Național de Politici și Evaluare în Educație

Examenul național de bacalaureat 2025
Proba E. c)
M

Finalizarea problemei matriceale

Pentru a concluziona problema cu matricea X, verificăm că valorile găsite a=9, b=-9, c=-3 și d=3 satisfac sistemul nostru de ecuații.

Substituind în ecuația 4a+12c+4b+12d=04a+12c+4b+12d = 0: 4(9)+12(3)+4(9)+12(3)=363636+36=04(9)+12(-3)+4(-9)+12(3) = 36-36-36+36 = 0

Și în ecuația 12a+36c+14b+42d=012a+36c+14b+42d = 0: 12(9)+36(3)+14(9)+42(3)=108108126+126=012(9)+36(-3)+14(-9)+42(3) = 108-108-126+126 = 0

Astfel, matricea X pe care am determinat-o, X=(99 33)X = \begin{pmatrix} 9 & -9 \ -3 & 3 \end{pmatrix}, satisface condiția A(2)XA(2)=A(0)A(2) \cdot X - A(2) = A(0).

Concluzie importantă: În problemele cu matrici, este esențial să verifici rezultatul final în ecuația inițială pentru a te asigura că soluția este corectă.

Acest tip de probleme testează abilitatea ta de a manipula expresii matriceale și de a rezolva sisteme de ecuații - competențe foarte valoroase pentru examenul de bacalaureat.

Ministerul Educației și Cercetării
Centrul Național de Politici și Evaluare în Educație

Examenul național de bacalaureat 2025
Proba E. c)
M
Ministerul Educației și Cercetării
Centrul Național de Politici și Evaluare în Educație

Examenul național de bacalaureat 2025
Proba E. c)
M


Credeam că nu vei întreba niciodată...

Ce este Companionul AI Knowunity?

Companionul nostru AI este creat special pentru nevoile studenților. Bazându-ne pe milioanele de materiale de pe platformă, putem oferi răspunsuri exacte și relevante pentru studenți. Dar nu este vorba doar despre răspunsuri, companionul este mai ales despre ghidarea studenților prin provocările zilnice de învățare, cu planuri de studiu personalizate, chestionare sau conținuturi în chat și personalizare 100% bazată pe abilitățile și evoluțiile studenților.

De unde pot descărca aplicația Knowunity?

Aplicația este disponibilă în Google Play Store și Apple App Store.

Este Knowunity chiar gratuită?

Da! Bucură-te de access la materiale de studiu, conectează-te cu alți elevi, și primește ajutor instant - toate acestea la un click distanță. În plus, câștigă puncte ca să deblochezi mai multe funcționalități!

Nu găsești ce cauți? Explorează alte MATERII.

Recenzii de la utilizatorii noștri. Ei iubesc să folosească Knowunity — și tu o vei face.

4.9/5

App Store

4.8/5

Google Play

Aplicația este foarte ușor de utilizat și bine concepută. Am găsit tot ce căutam până acum și am reușit să învăț multe din prezentări! Cu siguranță voi folosi aplicația pentru o temă la clasă! Și desigur, ajută mult ca sursă de inspirație.

Ștefan S

utilizator iOS

Această aplicație este super. Sunt atât de multe materiale de studiu și ajutor pentru elevi [...]. Materia mea mai problematică este franceza, de exemplu, și aplicația oferă foarte multe materiale ajutătoare. Mulțumită acestei aplicații, mi-am îmbunătățit franceza. Aș recomanda-o oricui.

Samantha Klich

utilizator Android

Wow, sunt cu adevărat impresionat. Am încercat aplicația pentru că am văzut-o promovată de multe ori și am rămas uimit. Aceasta este AJUTORUL de care ai nevoie pentru școală și, mai presus de toate, oferă atât de multe lucruri, precum exerciții și fișe de informații, care mi-au fost FOARTE de ajutor.

Anna

utilizator iOS

Te ajută să înveți foarte repede și ști foarte bine ce ai dori tu să înveți, vă recomand cu drag să încercați și să învățați mai repede.!

Thomas R

utilizator iOS

Foarte bună aplicația!!!! Mă ajută să înțeleg mult mai bine lecțiile și temele le termin mult mai repede.👍❤️

Paul P

utilizator Android

Te ajută foarte bine la teme acest robot,recomand!

David K

utilizator iOS

Aplicația e grozavă! Tot ce trebuie să fac este să introduc subiectul în bara de căutare și primesc răspunsul foarte rapid. Nu mai trebuie să mă uit la 10 videoclipuri pe YouTube pentru a înțelege ceva, deci îmi economisesc timpul. Super recomandat!

Sudenaz Ocak

utilizator Android

La școală eram chiar slab la matematică, dar datorită aplicației, mă descurc mai bine acum. Sunt atât de recunoscător că ai creat aplicația.

Greenlight Bonnie

utilizator Android

Această aplicație e super interesantă și seamănă ca tiktok-ul doar că tu ai doar teorie și explicații.

Karla S

utilizator Android

Nu mai trebuie să stau cu orele să învăț după caiet când pot să citesc de 2 ori lecțiile care apar aici și iau 10 la test ! Knowunity m-a ajutat să iau nota 9,20 la română ! Voi recomanda ff tare aceasta aplicate , să nu uităm ca are și chat GPT !👍🏻

Denisa B

utilizator iOS

m-a ajutat foarte mult să înțeleg anumite exerciții la diferite materii , mă ajută foarte mult la teme , explicându-mi pas cu pas tot , o aplicație excelentă !! RECOMAND !

Sarah L

utilizator Android

Este foarte bună te ajută la teme te face să înțelegi lecțiile am înțeles o lecție în 20 de minute i singură nu reușeam să o învăț dar cu Knowunity am învățat-o foarte ușor

Alessia V

utilizator iOS

Aplicația este foarte ușor de utilizat și bine concepută. Am găsit tot ce căutam până acum și am reușit să învăț multe din prezentări! Cu siguranță voi folosi aplicația pentru o temă la clasă! Și desigur, ajută mult ca sursă de inspirație.

Ștefan S

utilizator iOS

Această aplicație este super. Sunt atât de multe materiale de studiu și ajutor pentru elevi [...]. Materia mea mai problematică este franceza, de exemplu, și aplicația oferă foarte multe materiale ajutătoare. Mulțumită acestei aplicații, mi-am îmbunătățit franceza. Aș recomanda-o oricui.

Samantha Klich

utilizator Android

Wow, sunt cu adevărat impresionat. Am încercat aplicația pentru că am văzut-o promovată de multe ori și am rămas uimit. Aceasta este AJUTORUL de care ai nevoie pentru școală și, mai presus de toate, oferă atât de multe lucruri, precum exerciții și fișe de informații, care mi-au fost FOARTE de ajutor.

Anna

utilizator iOS

Te ajută să înveți foarte repede și ști foarte bine ce ai dori tu să înveți, vă recomand cu drag să încercați și să învățați mai repede.!

Thomas R

utilizator iOS

Foarte bună aplicația!!!! Mă ajută să înțeleg mult mai bine lecțiile și temele le termin mult mai repede.👍❤️

Paul P

utilizator Android

Te ajută foarte bine la teme acest robot,recomand!

David K

utilizator iOS

Aplicația e grozavă! Tot ce trebuie să fac este să introduc subiectul în bara de căutare și primesc răspunsul foarte rapid. Nu mai trebuie să mă uit la 10 videoclipuri pe YouTube pentru a înțelege ceva, deci îmi economisesc timpul. Super recomandat!

Sudenaz Ocak

utilizator Android

La școală eram chiar slab la matematică, dar datorită aplicației, mă descurc mai bine acum. Sunt atât de recunoscător că ai creat aplicația.

Greenlight Bonnie

utilizator Android

Această aplicație e super interesantă și seamănă ca tiktok-ul doar că tu ai doar teorie și explicații.

Karla S

utilizator Android

Nu mai trebuie să stau cu orele să învăț după caiet când pot să citesc de 2 ori lecțiile care apar aici și iau 10 la test ! Knowunity m-a ajutat să iau nota 9,20 la română ! Voi recomanda ff tare aceasta aplicate , să nu uităm ca are și chat GPT !👍🏻

Denisa B

utilizator iOS

m-a ajutat foarte mult să înțeleg anumite exerciții la diferite materii , mă ajută foarte mult la teme , explicându-mi pas cu pas tot , o aplicație excelentă !! RECOMAND !

Sarah L

utilizator Android

Este foarte bună te ajută la teme te face să înțelegi lecțiile am înțeles o lecție în 20 de minute i singură nu reușeam să o învăț dar cu Knowunity am învățat-o foarte ușor

Alessia V

utilizator iOS

 

Matematică

59

22 nov. 2025

12 pagini

Subiecte Rezolvate pentru Bacalaureat

M

Maria

@mariasiatat

Hai să explorăm împreună simularea examenului de bacalaureat la matematică M_tehnologic 2025. Acest document prezintă subiectele de pe toate cele trei secțiuni ale examenului, cu exerciții rezolvate care acoperă progresii, funcții, ecuații, geometrie analitică, matrici și calcul integral.

Ministerul Educației și Cercetării
Centrul Național de Politici și Evaluare în Educație

Examenul național de bacalaureat 2025
Proba E. c)
M

Înscrie-te pentru a vedea CONȚINUTULE gratuit!

Acces la toate documentele

Îmbunătățește notele tale!

Alătură-te milioanelor de elevi

Prin înregistrare, accepți Termenii de serviciu și Politica de confidențialitate

Structura examenului de bacalaureat la matematică M_tehnologic

Simularea pentru Bacalaureat 2025 la matematică M_tehnologic este structurată în trei subiecte principale. Fiecare subiect valorează 30 de puncte, la care se adaugă 10 puncte din oficiu.

Primul subiect conține șase exerciții diverse, de la progresii aritmetice și funcții, până la ecuații logaritmice și geometrie. La acest subiect trebuie să fii atent la formulele de bază și la aplicarea lor corectă.

Al doilea subiect se concentrează pe algebră matriceală și legi de compoziție, testând abilitatea ta de a lucra cu structuri matematice mai complexe.

Reține! Timpul de lucru este de 3 ore pentru toate subiectele, deci gestionează-ți bine timpul pentru a rezolva cât mai multe exerciții.

Subiectul al treilea abordează analiza matematică, cu accent pe derivate, limite și integrale, care necesită atenție deosebită la calculele intermediare.

Ministerul Educației și Cercetării
Centrul Național de Politici și Evaluare în Educație

Examenul național de bacalaureat 2025
Proba E. c)
M

Înscrie-te pentru a vedea CONȚINUTULE gratuit!

Acces la toate documentele

Îmbunătățește notele tale!

Alătură-te milioanelor de elevi

Prin înregistrare, accepți Termenii de serviciu și Politica de confidențialitate

Progresii aritmetice și ecuații cu funcții

Primele exerciții ale simulării sunt destul de accesibile dacă stăpânești noțiunile de bază. La progresii aritmetice, trebuie să știi că diferența dintre termeni consecutivi este constantă.

La exercițiul cu progresie aritmetică, rațiunea se calculează ca diferența dintre doi termeni consecutivi: r=a2a1=103=7r = a_2 - a_1 = 10-3=7. Apoi, al treilea termen se obține adăugând rațiunea la termenul anterior: a3=a2+r=10+7=17a_3 = a_2 + r = 10+7 = 17.

Pentru exercițiul cu funcții f(x)=3x4f(x)=3x-4 și g(x)=x+2g(x)=x+2, trebuie să rezolvi ecuația f(a)=a+g(2)f(a)=a+g(2). Mai întâi calculezi g(2)=2+2=4g(2) = 2+2 = 4, apoi înlocuiești în ecuație și obții 3a4=a+43a-4 = a+4, de unde rezultă a=4a=4.

Sfat util: La ecuații cu logaritmi, nu uita să verifici și condițiile de existență - argumentul logaritmului trebuie să fie strict pozitiv!

La ecuația logaritmică log3(10x1)=2log_3(10x-1)=2, ai direct 10x1=32=910x-1=3^2=9, de unde obții x=1x=1 verifică și că $10x-1>0$.

Ministerul Educației și Cercetării
Centrul Național de Politici și Evaluare în Educație

Examenul național de bacalaureat 2025
Proba E. c)
M

Înscrie-te pentru a vedea CONȚINUTULE gratuit!

Acces la toate documentele

Îmbunătățește notele tale!

Alătură-te milioanelor de elevi

Prin înregistrare, accepți Termenii de serviciu și Politica de confidențialitate

Probleme de procente și calcule practice

La problemele practice, precum cea cu ieftinirea produsului, este important să traduci enunțul în limbaj matematic. Dacă produsul costă 110 lei după o ieftinire de 45%, înseamnă că prețul actual reprezintă 55% din prețul inițial.

Notând cu x prețul inițial, ecuația devine: x - 45% din x = 110 x - 0,45x = 110 0,55x = 110 x = 200 lei

Abordarea sistematică a acestor probleme îți va aduce puncte sigure la examen. Verifică întotdeauna rezultatul obținut - prețul redus trebuie să fie 200 - 45% din 200 = 200 - 90 = 110 lei.

Atenție! Problemele cu procente apar frecvent la bacalaureat și sunt adesea considerate "puncte sigure" dacă le stăpânești bine.

Calculele cu procente sunt utile și în viața de zi cu zi, deci merită să exersezi acest tip de probleme chiar dacă ți se par simple.

Ministerul Educației și Cercetării
Centrul Național de Politici și Evaluare în Educație

Examenul național de bacalaureat 2025
Proba E. c)
M

Înscrie-te pentru a vedea CONȚINUTULE gratuit!

Acces la toate documentele

Îmbunătățește notele tale!

Alătură-te milioanelor de elevi

Prin înregistrare, accepți Termenii de serviciu și Politica de confidențialitate

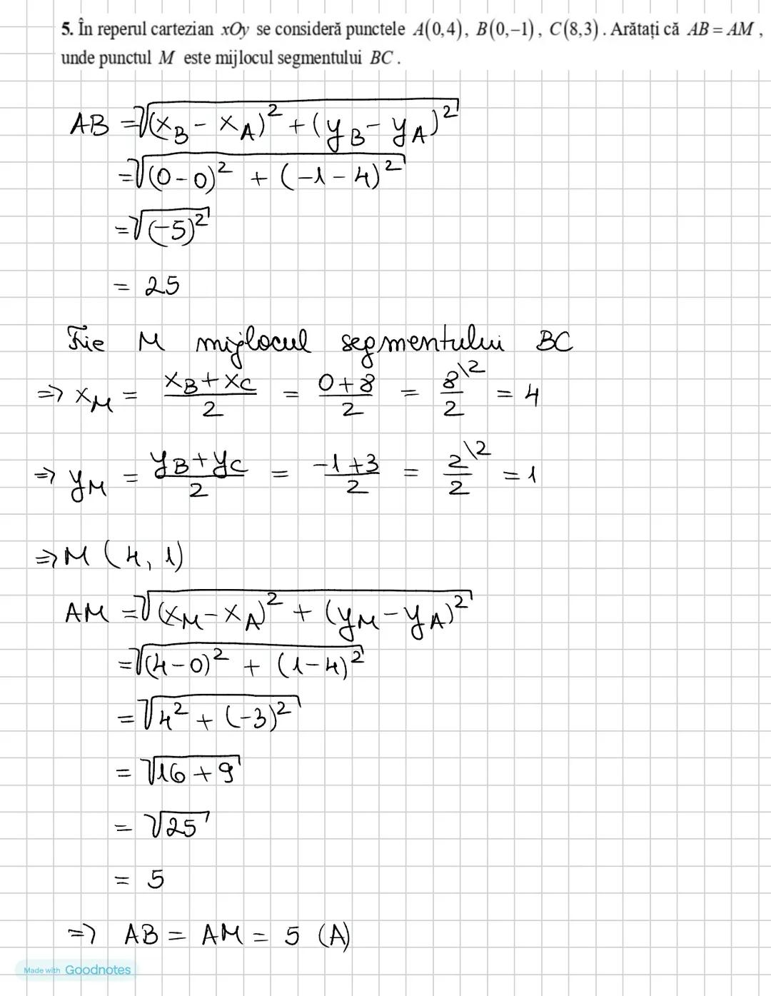
Geometrie analitică în plan

În problemele de geometrie analitică, formula pentru distanța dintre două puncte este esențială: d(A,B)=(xBxA)2+(yByA)2d(A,B) = \sqrt{(x_B - x_A)^2 + (y_B - y_A)^2}.

Pentru exercițiul cu punctele A(0,4), B(0,-1) și C(8,3), trebuie să demonstrezi că AB = AM, unde M este mijlocul lui BC. Calculezi:

  1. Distanța AB: AB=(00)2+(14)2=25=5AB = \sqrt{(0-0)^2 + (-1-4)^2} = \sqrt{25} = 5

  2. Coordonatele lui M: xM=0+82=4x_M = \frac{0+8}{2} = 4 și yM=1+32=1y_M = \frac{-1+3}{2} = 1, deci M(4,1)

  3. Distanța AM: AM=(40)2+(14)2=16+9=25=5AM = \sqrt{(4-0)^2 + (1-4)^2} = \sqrt{16+9} = \sqrt{25} = 5

Fiind egale, ai demonstrat că AB = AM = 5.

Reține formula! Pentru a găsi coordonatele mijlocului unui segment, faci media aritmetică a coordonatelor capetelor: xM=xB+xC2x_M = \frac{x_B + x_C}{2} și yM=yB+yC2y_M = \frac{y_B + y_C}{2}

Acest tip de probleme testează înțelegerea geometriei în contextul sistemului de coordonate carteziene.

Ministerul Educației și Cercetării
Centrul Național de Politici și Evaluare în Educație

Examenul național de bacalaureat 2025
Proba E. c)
M

Înscrie-te pentru a vedea CONȚINUTULE gratuit!

Acces la toate documentele

Îmbunătățește notele tale!

Alătură-te milioanelor de elevi

Prin înregistrare, accepți Termenii de serviciu și Politica de confidențialitate

Trigonometrie în triunghiul dreptunghic

Trigonometria în triunghiul dreptunghic este o parte fundamentală a matematicii. Pentru exercițiul cu triunghiul ABC dreptunghic în A, cu AB = 6 și AC = 8, trebuie să demonstrezi că sin C = 3/5.

Mai întâi, calculează lungimea ipotenuzei BC folosind teorema lui Pitagora: BC² = AB² + AC² = 6² + 8² = 36 + 64 = 100 BC = 10

Apoi folosești definiția sinusului ca raport între cateta opusă și ipotenuză: sin C = AB/BC = 6/10 = 3/5

Important! În triunghiul dreptunghic, sinusul unui unghi este egal cu raportul dintre cateta opusă unghiului și ipotenuză.

Trigonometria este utilă în multe aplicații practice și va apărea frecvent în probleme de geometrie la bacalaureat, deci asigură-te că stăpânești relațiile de bază.

Ministerul Educației și Cercetării
Centrul Național de Politici și Evaluare în Educație

Examenul național de bacalaureat 2025
Proba E. c)
M

Înscrie-te pentru a vedea CONȚINUTULE gratuit!

Acces la toate documentele

Îmbunătățește notele tale!

Alătură-te milioanelor de elevi

Prin înregistrare, accepți Termenii de serviciu și Politica de confidențialitate

Algebră matriceală

Problemele cu matrici necesită atenție la operațiile de înmulțire și calcul al determinanților. La exercițiul cu matricele I2I_2 și A(a)A(a), trebuie să parcurgi câțiva pași clari.

Pentru a arăta că det(A(2)) = 2, calculezi: A(2)=(26 27)A(2) = \begin{pmatrix} 2 & 6 \ 2 & 7 \end{pmatrix} det(A(2))=2762=1412=2\det(A(2)) = 2 \cdot 7 - 6 \cdot 2 = 14 - 12 = 2

La partea b), trebuie să găsești valoarea lui x pentru care A(1)A(1)+2I2=xA(1)A(1) \cdot A(1) + 2I_2 = xA(1). Calculezi: A(1)=(13 15)A(1) = \begin{pmatrix} 1 & 3 \ 1 & 5 \end{pmatrix} A(1)A(1)=(418 628)A(1) \cdot A(1) = \begin{pmatrix} 4 & 18 \ 6 & 28 \end{pmatrix} 2I2=(20 02)2I_2 = \begin{pmatrix} 2 & 0 \ 0 & 2 \end{pmatrix}

Atenție la înmulțirea matricelor! La înmulțirea a două matrici, elementul de pe poziția (i,j) din produs se obține ca suma produselor elementelor de pe linia i din prima matrice cu elementele de pe coloana j din a doua matrice.

Adunând, obții că A(1)A(1)+2I2=(618 630)A(1) \cdot A(1) + 2I_2 = \begin{pmatrix} 6 & 18 \ 6 & 30 \end{pmatrix}. Comparând cu xA(1)=(x3x x5x)xA(1) = \begin{pmatrix} x & 3x \ x & 5x \end{pmatrix}, rezultă x = 6.

Ministerul Educației și Cercetării
Centrul Național de Politici și Evaluare în Educație

Examenul național de bacalaureat 2025
Proba E. c)
M

Înscrie-te pentru a vedea CONȚINUTULE gratuit!

Acces la toate documentele

Îmbunătățește notele tale!

Alătură-te milioanelor de elevi

Prin înregistrare, accepți Termenii de serviciu și Politica de confidențialitate

Operații cu matrici și sisteme de ecuații

Continuând cu problema matricelor, la punctul c) trebuie să determini matricea X pentru care A(2)XA(2)=A(0)A(2) \cdot X - A(2) = A(0). Această problemă necesită operații matriceale și rezolvarea unui sistem de ecuații.

Primul pas este să calculezi matricea A(0)=(00 03)A(0) = \begin{pmatrix} 0 & 0 \ 0 & 3 \end{pmatrix}. Apoi, notezi matricea necunoscută ca X=(ab cd)X = \begin{pmatrix} a & b \ c & d \end{pmatrix} și calculezi produsul A(2)X=(2a+6c2b+6d 2a+7c2b+7d)A(2) \cdot X = \begin{pmatrix} 2a+6c & 2b+6d \ 2a+7c & 2b+7d \end{pmatrix}.

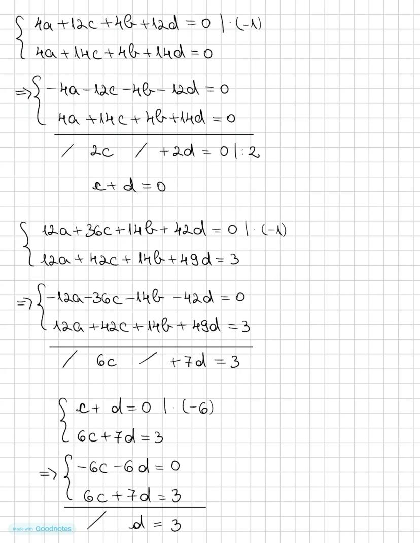
Rezolvarea ecuației matriceale conduce la un sistem de ecuații: 4a+12c+4b+12d=04a+12c+4b+12d = 0 4a+14c+4b+14d=04a+14c+4b+14d = 0 12a+36c+14b+42d=012a+36c+14b+42d = 0 12a+42c+14b+49d=312a+42c+14b+49d = 3

Strategie eficientă: La rezolvarea sistemelor complexe, încearcă să simplifici ecuațiile prin scăderea lor pentru a elimina variabile.

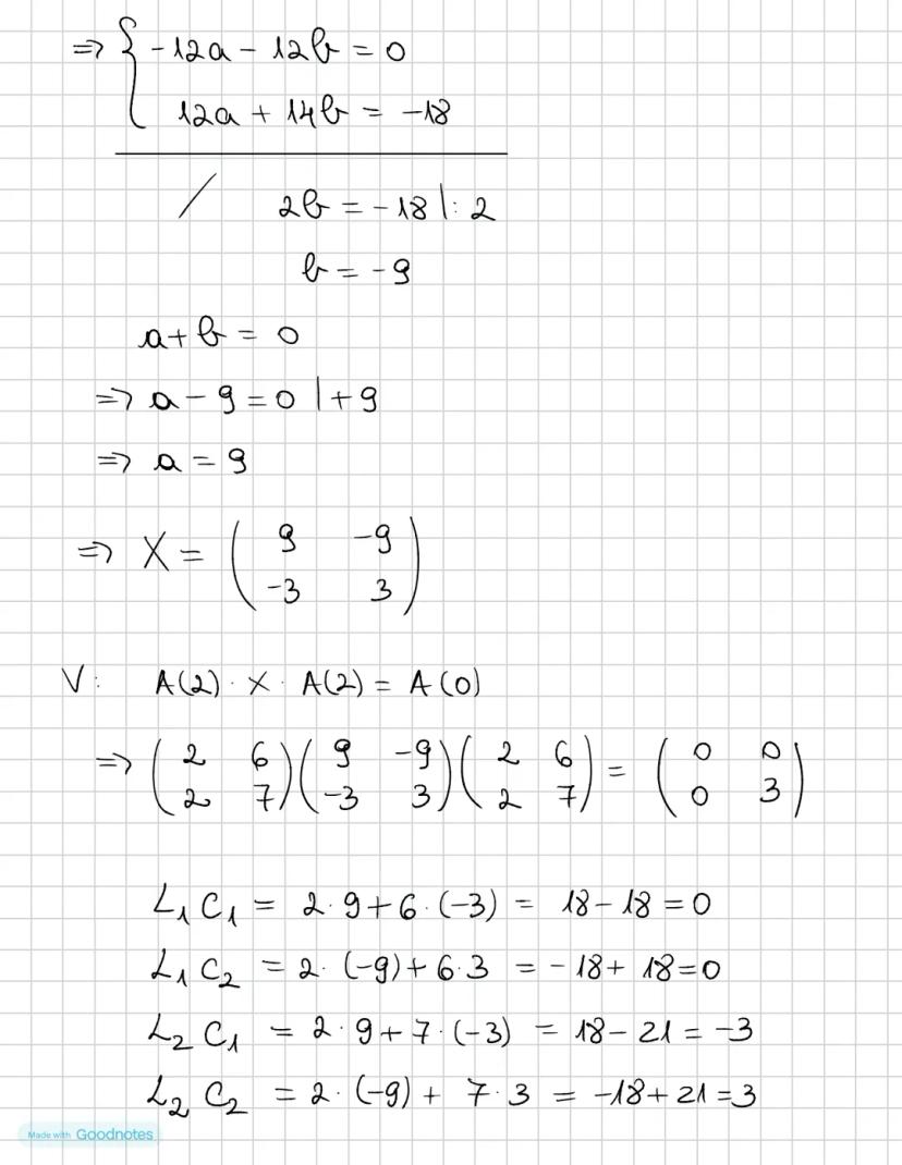
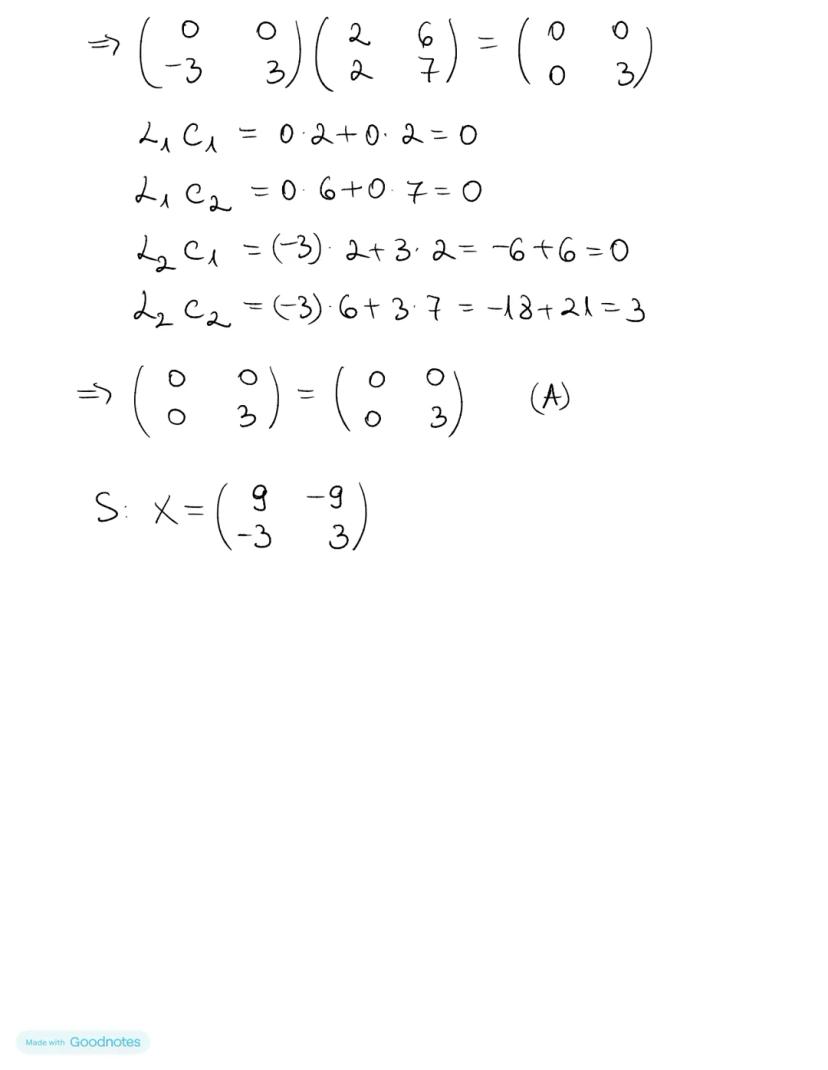
Din primele două ecuații, deduci că c+d=0, iar din ultimele două obții 6c+7d=3. Rezolvând acest subsistem, găsești c=-3 și d=3, apoi a+b=0, ceea ce înseamnă că matricea X va avea forma X=(aa 33)X = \begin{pmatrix} a & -a \ -3 & 3 \end{pmatrix}.

Ministerul Educației și Cercetării
Centrul Național de Politici și Evaluare în Educație

Examenul național de bacalaureat 2025
Proba E. c)
M

Înscrie-te pentru a vedea CONȚINUTULE gratuit!

Acces la toate documentele

Îmbunătățește notele tale!

Alătură-te milioanelor de elevi

Prin înregistrare, accepți Termenii de serviciu și Politica de confidențialitate

Ecuații matriceale complexe

Pentru a finaliza rezolvarea problemei matriceale, trebuie să completezi determinarea completă a matricei X. După ce ai găsit c=-3 și d=3 din sistemul anterior, ai obținut relația a+b=0.

Dacă înlocuiești aceste valori în ecuațiile inițiale, vei obține: 4a+12(3)+4b+12(3)=04a+12(-3)+4b+12(3) = 0 4a36+4b+36=04a-36+4b+36 = 0 4a+4b=04a+4b = 0 a+b=0a+b = 0

De asemenea, din a treia ecuație: 12a+36(3)+14b+42(3)=012a+36(-3)+14b+42(3) = 0 12a108+14b+126=012a-108+14b+126 = 0 12a+14b+18=012a+14b+18 = 0

Observație: În probleme cu matrici, verificarea soluției este la fel de importantă ca și găsirea ei! Substituie rezultatele în ecuația originală pentru a te asigura că ai rezolvat corect.

Acest sistem ne dă o relație între a și b, iar combinat cu a+b=0, putem determina valorile exacte pentru ambele necunoscute, completând astfel matricea X.

Ministerul Educației și Cercetării
Centrul Național de Politici și Evaluare în Educație

Examenul național de bacalaureat 2025
Proba E. c)
M

Înscrie-te pentru a vedea CONȚINUTULE gratuit!

Acces la toate documentele

Îmbunătățește notele tale!

Alătură-te milioanelor de elevi

Prin înregistrare, accepți Termenii de serviciu și Politica de confidențialitate

Rezolvarea sistemelor de ecuații

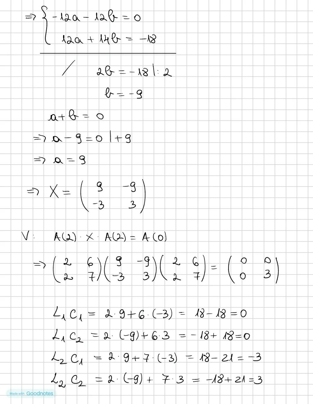
În continuarea rezolvării ecuației matriceale, trebuie să finalizăm determinarea valorilor necunoscutelor a și b. Din ecuațiile obținute anterior, avem:

a+b=0a+b = 0 12a+14b=1812a+14b = -18

Înmulțind prima ecuație cu -12 și adăugând la a doua, obținem: 12a12b=0-12a-12b = 0 12a+14b=1812a+14b = -18

Adunând aceste ecuații: 2b=182b = -18 b=9b = -9

Și din relația a+b=0, rezultă: a+(9)=0a+(-9) = 0 a=9a = 9

Verificare rapidă: Înlocuiește valorile a=9, b=-9, c=-3, d=3 în ecuația originală pentru a confirma că ai găsit soluția corectă.

Astfel, matricea X căutată este X=(99 33)X = \begin{pmatrix} 9 & -9 \ -3 & 3 \end{pmatrix}. Acesta este un exemplu tipic de problemă complexă cu matrici care apare la bacalaureat.

Ministerul Educației și Cercetării
Centrul Național de Politici și Evaluare în Educație

Examenul național de bacalaureat 2025
Proba E. c)
M

Înscrie-te pentru a vedea CONȚINUTULE gratuit!

Acces la toate documentele

Îmbunătățește notele tale!

Alătură-te milioanelor de elevi

Prin înregistrare, accepți Termenii de serviciu și Politica de confidențialitate

Finalizarea problemei matriceale

Pentru a concluziona problema cu matricea X, verificăm că valorile găsite a=9, b=-9, c=-3 și d=3 satisfac sistemul nostru de ecuații.

Substituind în ecuația 4a+12c+4b+12d=04a+12c+4b+12d = 0: 4(9)+12(3)+4(9)+12(3)=363636+36=04(9)+12(-3)+4(-9)+12(3) = 36-36-36+36 = 0

Și în ecuația 12a+36c+14b+42d=012a+36c+14b+42d = 0: 12(9)+36(3)+14(9)+42(3)=108108126+126=012(9)+36(-3)+14(-9)+42(3) = 108-108-126+126 = 0

Astfel, matricea X pe care am determinat-o, X=(99 33)X = \begin{pmatrix} 9 & -9 \ -3 & 3 \end{pmatrix}, satisface condiția A(2)XA(2)=A(0)A(2) \cdot X - A(2) = A(0).

Concluzie importantă: În problemele cu matrici, este esențial să verifici rezultatul final în ecuația inițială pentru a te asigura că soluția este corectă.

Acest tip de probleme testează abilitatea ta de a manipula expresii matriceale și de a rezolva sisteme de ecuații - competențe foarte valoroase pentru examenul de bacalaureat.

Ministerul Educației și Cercetării
Centrul Național de Politici și Evaluare în Educație

Examenul național de bacalaureat 2025
Proba E. c)
M

Înscrie-te pentru a vedea CONȚINUTULE gratuit!

Acces la toate documentele

Îmbunătățește notele tale!

Alătură-te milioanelor de elevi

Prin înregistrare, accepți Termenii de serviciu și Politica de confidențialitate

Ministerul Educației și Cercetării
Centrul Național de Politici și Evaluare în Educație

Examenul național de bacalaureat 2025
Proba E. c)
M

Înscrie-te pentru a vedea CONȚINUTULE gratuit!

Acces la toate documentele

Îmbunătățește notele tale!

Alătură-te milioanelor de elevi

Prin înregistrare, accepți Termenii de serviciu și Politica de confidențialitate

Credeam că nu vei întreba niciodată...

Ce este Companionul AI Knowunity?

Companionul nostru AI este creat special pentru nevoile studenților. Bazându-ne pe milioanele de materiale de pe platformă, putem oferi răspunsuri exacte și relevante pentru studenți. Dar nu este vorba doar despre răspunsuri, companionul este mai ales despre ghidarea studenților prin provocările zilnice de învățare, cu planuri de studiu personalizate, chestionare sau conținuturi în chat și personalizare 100% bazată pe abilitățile și evoluțiile studenților.

De unde pot descărca aplicația Knowunity?

Aplicația este disponibilă în Google Play Store și Apple App Store.

Este Knowunity chiar gratuită?

Da! Bucură-te de access la materiale de studiu, conectează-te cu alți elevi, și primește ajutor instant - toate acestea la un click distanță. În plus, câștigă puncte ca să deblochezi mai multe funcționalități!

2

Instrumente inteligente NOU

Transformă această notiță în: ✓ 50+ întrebări de exersare ✓ Flashcard-uri interactive ✓ Simulare completă ✓ Planuri de eseu

Simulare
Quiz
Flashcard-uri
Eseu

Nu găsești ce cauți? Explorează alte MATERII.

Recenzii de la utilizatorii noștri. Ei iubesc să folosească Knowunity — și tu o vei face.

4.9/5

App Store

4.8/5

Google Play

Aplicația este foarte ușor de utilizat și bine concepută. Am găsit tot ce căutam până acum și am reușit să învăț multe din prezentări! Cu siguranță voi folosi aplicația pentru o temă la clasă! Și desigur, ajută mult ca sursă de inspirație.

Ștefan S

utilizator iOS

Această aplicație este super. Sunt atât de multe materiale de studiu și ajutor pentru elevi [...]. Materia mea mai problematică este franceza, de exemplu, și aplicația oferă foarte multe materiale ajutătoare. Mulțumită acestei aplicații, mi-am îmbunătățit franceza. Aș recomanda-o oricui.

Samantha Klich

utilizator Android

Wow, sunt cu adevărat impresionat. Am încercat aplicația pentru că am văzut-o promovată de multe ori și am rămas uimit. Aceasta este AJUTORUL de care ai nevoie pentru școală și, mai presus de toate, oferă atât de multe lucruri, precum exerciții și fișe de informații, care mi-au fost FOARTE de ajutor.

Anna

utilizator iOS

Te ajută să înveți foarte repede și ști foarte bine ce ai dori tu să înveți, vă recomand cu drag să încercați și să învățați mai repede.!

Thomas R

utilizator iOS

Foarte bună aplicația!!!! Mă ajută să înțeleg mult mai bine lecțiile și temele le termin mult mai repede.👍❤️

Paul P

utilizator Android

Te ajută foarte bine la teme acest robot,recomand!

David K

utilizator iOS

Aplicația e grozavă! Tot ce trebuie să fac este să introduc subiectul în bara de căutare și primesc răspunsul foarte rapid. Nu mai trebuie să mă uit la 10 videoclipuri pe YouTube pentru a înțelege ceva, deci îmi economisesc timpul. Super recomandat!

Sudenaz Ocak

utilizator Android

La școală eram chiar slab la matematică, dar datorită aplicației, mă descurc mai bine acum. Sunt atât de recunoscător că ai creat aplicația.

Greenlight Bonnie

utilizator Android

Această aplicație e super interesantă și seamănă ca tiktok-ul doar că tu ai doar teorie și explicații.

Karla S

utilizator Android

Nu mai trebuie să stau cu orele să învăț după caiet când pot să citesc de 2 ori lecțiile care apar aici și iau 10 la test ! Knowunity m-a ajutat să iau nota 9,20 la română ! Voi recomanda ff tare aceasta aplicate , să nu uităm ca are și chat GPT !👍🏻

Denisa B

utilizator iOS

m-a ajutat foarte mult să înțeleg anumite exerciții la diferite materii , mă ajută foarte mult la teme , explicându-mi pas cu pas tot , o aplicație excelentă !! RECOMAND !

Sarah L

utilizator Android

Este foarte bună te ajută la teme te face să înțelegi lecțiile am înțeles o lecție în 20 de minute i singură nu reușeam să o învăț dar cu Knowunity am învățat-o foarte ușor

Alessia V

utilizator iOS

Aplicația este foarte ușor de utilizat și bine concepută. Am găsit tot ce căutam până acum și am reușit să învăț multe din prezentări! Cu siguranță voi folosi aplicația pentru o temă la clasă! Și desigur, ajută mult ca sursă de inspirație.

Ștefan S

utilizator iOS

Această aplicație este super. Sunt atât de multe materiale de studiu și ajutor pentru elevi [...]. Materia mea mai problematică este franceza, de exemplu, și aplicația oferă foarte multe materiale ajutătoare. Mulțumită acestei aplicații, mi-am îmbunătățit franceza. Aș recomanda-o oricui.

Samantha Klich

utilizator Android

Wow, sunt cu adevărat impresionat. Am încercat aplicația pentru că am văzut-o promovată de multe ori și am rămas uimit. Aceasta este AJUTORUL de care ai nevoie pentru școală și, mai presus de toate, oferă atât de multe lucruri, precum exerciții și fișe de informații, care mi-au fost FOARTE de ajutor.

Anna

utilizator iOS

Te ajută să înveți foarte repede și ști foarte bine ce ai dori tu să înveți, vă recomand cu drag să încercați și să învățați mai repede.!

Thomas R

utilizator iOS

Foarte bună aplicația!!!! Mă ajută să înțeleg mult mai bine lecțiile și temele le termin mult mai repede.👍❤️

Paul P

utilizator Android

Te ajută foarte bine la teme acest robot,recomand!

David K

utilizator iOS

Aplicația e grozavă! Tot ce trebuie să fac este să introduc subiectul în bara de căutare și primesc răspunsul foarte rapid. Nu mai trebuie să mă uit la 10 videoclipuri pe YouTube pentru a înțelege ceva, deci îmi economisesc timpul. Super recomandat!

Sudenaz Ocak

utilizator Android

La școală eram chiar slab la matematică, dar datorită aplicației, mă descurc mai bine acum. Sunt atât de recunoscător că ai creat aplicația.

Greenlight Bonnie

utilizator Android

Această aplicație e super interesantă și seamănă ca tiktok-ul doar că tu ai doar teorie și explicații.

Karla S

utilizator Android

Nu mai trebuie să stau cu orele să învăț după caiet când pot să citesc de 2 ori lecțiile care apar aici și iau 10 la test ! Knowunity m-a ajutat să iau nota 9,20 la română ! Voi recomanda ff tare aceasta aplicate , să nu uităm ca are și chat GPT !👍🏻

Denisa B

utilizator iOS

m-a ajutat foarte mult să înțeleg anumite exerciții la diferite materii , mă ajută foarte mult la teme , explicându-mi pas cu pas tot , o aplicație excelentă !! RECOMAND !

Sarah L

utilizator Android

Este foarte bună te ajută la teme te face să înțelegi lecțiile am înțeles o lecție în 20 de minute i singură nu reușeam să o învăț dar cu Knowunity am învățat-o foarte ușor

Alessia V

utilizator iOS