Materii

Knowunity AI

Accesează aplicația

Materii

96

20 feb. 2026

3 pagini

Numere Complexe - Forma Algebrică Explicată

user profile picture

🧛🏻‍♀️

@piurecusnitel

Această lecție explorează operațiile cu numere complexe, inclusiv adunarea, scăderea,... Afișează mai mult

Page 1
Page 2
Page 3
1 / 3
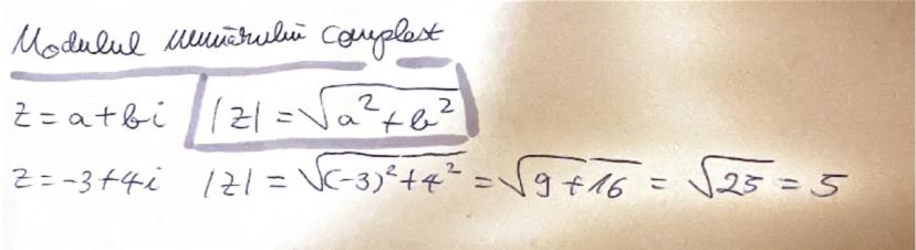
# NUMERE
COMPLEXE

luitate imaginara
$Z=a+bi$ forma algebrică a musnahabui complet z

$Rez$
(parte rela) $Yu Z$ (parte euxzélvara)

$Reż, =

Operații cu numere complexe

Numerele complexe se pot aduna, scădea, înmulți și împărți urmând reguli specifice. Pentru adunare și scădere, lucrezi separat cu părțile reale și imaginare. De exemplu: $2 + \frac{3}{2} - 5i + \frac{3}{7} + 8i = \frac{1}{14} + 3i$

La înmulțirea numerelor complexe, trebuie să distribui termenii și să ții cont că i2=1i^2 = -1. Iată un exemplu simplu: (23i)(4+5i)=8+10i12i15i2=82i15(1)=82i+15=7+22i(2-3i)(4+5i) = 8 + 10i - 12i - 15i^2 = 8 - 2i - 15(-1) = 8 - 2i + 15 = 7 + 22i

💡 Când înmulțești numere complexe, nu uita că i2=1i^2 = -1. Acest lucru transformă termenii cu i2i^2 în numere reale!

Pentru împărțirea numerelor complexe, folosim conjugatul complex în numitor pentru a elimina partea imaginară. Conjugatul unui număr complex z=a+biz = a + bi este z=abi\overline{z} = a - bi. Prin înmulțirea numitorului și numărătorului cu conjugatul numitorului, obținem o fracție cu numitor real.

Să vedem un exemplu de împărțire: 62i52i=(62i)(5+2i)(52i)(5+2i)=30+12i10i4i2254i2=30+2i+425+4=34+2i29=3429+229i\frac{6 - 2i}{5 - 2i} = \frac{(6-2i)(5+2i)}{(5-2i)(5+2i)} = \frac{30 + 12i - 10i - 4i^2}{25 - 4i^2} = \frac{30 + 2i + 4}{25 + 4} = \frac{34 + 2i}{29} = \frac{34}{29} + \frac{2}{29}i

Aceste operații cu numere complexe sunt esențiale în multe domenii, de la electronică până la fizica cuantică.

# NUMERE
COMPLEXE

luitate imaginara
$Z=a+bi$ forma algebrică a musnahabui complet z

$Rez$
(parte rela) $Yu Z$ (parte euxzélvara)

$Reż, =
# NUMERE
COMPLEXE

luitate imaginara
$Z=a+bi$ forma algebrică a musnahabui complet z

$Rez$
(parte rela) $Yu Z$ (parte euxzélvara)

$Reż, =


Credeam că nu vei întreba niciodată...

Ce este Companionul AI Knowunity?

Companionul nostru AI este creat special pentru nevoile studenților. Bazându-ne pe milioanele de materiale de pe platformă, putem oferi răspunsuri exacte și relevante pentru studenți. Dar nu este vorba doar despre răspunsuri, companionul este mai ales despre ghidarea studenților prin provocările zilnice de învățare, cu planuri de studiu personalizate, chestionare sau conținuturi în chat și personalizare 100% bazată pe abilitățile și evoluțiile studenților.

De unde pot descărca aplicația Knowunity?

Aplicația este disponibilă în Google Play Store și Apple App Store.

Este Knowunity chiar gratuită?

Da! Bucură-te de access la materiale de studiu, conectează-te cu alți elevi, și primește ajutor instant - toate acestea la un click distanță. În plus, câștigă puncte ca să deblochezi mai multe funcționalități!

Nu găsești ce cauți? Explorează alte MATERII.

Recenzii de la utilizatorii noștri. Ei iubesc să folosească Knowunity — și tu o vei face.

4.6/5

App Store

4.7/5

Google Play

Aplicația este foarte ușor de utilizat și bine concepută. Am găsit tot ce căutam până acum și am reușit să învăț multe din prezentări! Cu siguranță voi folosi aplicația pentru o temă la clasă! Și desigur, ajută mult ca sursă de inspirație.

Ștefan S

utilizator iOS

Această aplicație este super. Sunt atât de multe materiale de studiu și ajutor pentru elevi [...]. Materia mea mai problematică este franceza, de exemplu, și aplicația oferă foarte multe materiale ajutătoare. Mulțumită acestei aplicații, mi-am îmbunătățit franceza. Aș recomanda-o oricui.

Samantha Klich

utilizator Android

Wow, sunt cu adevărat impresionat. Am încercat aplicația pentru că am văzut-o promovată de multe ori și am rămas uimit. Aceasta este AJUTORUL de care ai nevoie pentru școală și, mai presus de toate, oferă atât de multe lucruri, precum exerciții și fișe de informații, care mi-au fost FOARTE de ajutor.

Anna

utilizator iOS

Te ajută să înveți foarte repede și ști foarte bine ce ai dori tu să înveți, vă recomand cu drag să încercați și să învățați mai repede.!

Thomas R

utilizator iOS

Foarte bună aplicația!!!! Mă ajută să înțeleg mult mai bine lecțiile și temele le termin mult mai repede.👍❤️

Paul P

utilizator Android

Te ajută foarte bine la teme acest robot,recomand!

David K

utilizator iOS

Aplicația e grozavă! Tot ce trebuie să fac este să introduc subiectul în bara de căutare și primesc răspunsul foarte rapid. Nu mai trebuie să mă uit la 10 videoclipuri pe YouTube pentru a înțelege ceva, deci îmi economisesc timpul. Super recomandat!

Sudenaz Ocak

utilizator Android

La școală eram chiar slab la matematică, dar datorită aplicației, mă descurc mai bine acum. Sunt atât de recunoscător că ai creat aplicația.

Greenlight Bonnie

utilizator Android

Această aplicație e super interesantă și seamănă ca tiktok-ul doar că tu ai doar teorie și explicații.

Karla S

utilizator Android

Nu mai trebuie să stau cu orele să învăț după caiet când pot să citesc de 2 ori lecțiile care apar aici și iau 10 la test ! Knowunity m-a ajutat să iau nota 9,20 la română ! Voi recomanda ff tare aceasta aplicate , să nu uităm ca are și chat GPT !👍🏻

Denisa B

utilizator iOS

CHESTIONARELE ȘI FLASHCARD-URILE SUNT ATÂT DE UTILE ȘI IUBESC Knowunity AI. E LITERALMENTE CA CHATGPT DOAR CĂ MAI DEȘTEPT!! M-A AJUTAT ȘI CU PROBLEMELE MELE CU MASCARA!! PLUS CU MATERIILE MELE ADEVĂRATE! EVIDENT 😍😁😲🤑💗✨🎀😮

Sarah L

utilizator Android

Este foarte bună te ajută la teme te face să înțelegi lecțiile am înțeles o lecție în 20 de minute i singură nu reușeam să o învăț dar cu Knowunity am învățat-o foarte ușor

Alessia V

utilizator iOS

Aplicația este foarte ușor de utilizat și bine concepută. Am găsit tot ce căutam până acum și am reușit să învăț multe din prezentări! Cu siguranță voi folosi aplicația pentru o temă la clasă! Și desigur, ajută mult ca sursă de inspirație.

Ștefan S

utilizator iOS

Această aplicație este super. Sunt atât de multe materiale de studiu și ajutor pentru elevi [...]. Materia mea mai problematică este franceza, de exemplu, și aplicația oferă foarte multe materiale ajutătoare. Mulțumită acestei aplicații, mi-am îmbunătățit franceza. Aș recomanda-o oricui.

Samantha Klich

utilizator Android

Wow, sunt cu adevărat impresionat. Am încercat aplicația pentru că am văzut-o promovată de multe ori și am rămas uimit. Aceasta este AJUTORUL de care ai nevoie pentru școală și, mai presus de toate, oferă atât de multe lucruri, precum exerciții și fișe de informații, care mi-au fost FOARTE de ajutor.

Anna

utilizator iOS

Te ajută să înveți foarte repede și ști foarte bine ce ai dori tu să înveți, vă recomand cu drag să încercați și să învățați mai repede.!

Thomas R

utilizator iOS

Foarte bună aplicația!!!! Mă ajută să înțeleg mult mai bine lecțiile și temele le termin mult mai repede.👍❤️

Paul P

utilizator Android

Te ajută foarte bine la teme acest robot,recomand!

David K

utilizator iOS

Aplicația e grozavă! Tot ce trebuie să fac este să introduc subiectul în bara de căutare și primesc răspunsul foarte rapid. Nu mai trebuie să mă uit la 10 videoclipuri pe YouTube pentru a înțelege ceva, deci îmi economisesc timpul. Super recomandat!

Sudenaz Ocak

utilizator Android

La școală eram chiar slab la matematică, dar datorită aplicației, mă descurc mai bine acum. Sunt atât de recunoscător că ai creat aplicația.

Greenlight Bonnie

utilizator Android

Această aplicație e super interesantă și seamănă ca tiktok-ul doar că tu ai doar teorie și explicații.

Karla S

utilizator Android

Nu mai trebuie să stau cu orele să învăț după caiet când pot să citesc de 2 ori lecțiile care apar aici și iau 10 la test ! Knowunity m-a ajutat să iau nota 9,20 la română ! Voi recomanda ff tare aceasta aplicate , să nu uităm ca are și chat GPT !👍🏻

Denisa B

utilizator iOS

CHESTIONARELE ȘI FLASHCARD-URILE SUNT ATÂT DE UTILE ȘI IUBESC Knowunity AI. E LITERALMENTE CA CHATGPT DOAR CĂ MAI DEȘTEPT!! M-A AJUTAT ȘI CU PROBLEMELE MELE CU MASCARA!! PLUS CU MATERIILE MELE ADEVĂRATE! EVIDENT 😍😁😲🤑💗✨🎀😮

Sarah L

utilizator Android

Este foarte bună te ajută la teme te face să înțelegi lecțiile am înțeles o lecție în 20 de minute i singură nu reușeam să o învăț dar cu Knowunity am învățat-o foarte ușor

Alessia V

utilizator iOS

 

Matematică

96

20 feb. 2026

3 pagini

Numere Complexe - Forma Algebrică Explicată

user profile picture

🧛🏻‍♀️

@piurecusnitel

Această lecție explorează operațiile cu numere complexe, inclusiv adunarea, scăderea, înmulțirea și împărțirea. Vei descoperi cum să manipulezi expresiile care conțin partea reală și partea imaginară, folosind proprietățile specifice numerelor complexe.

# NUMERE
COMPLEXE

luitate imaginara
$Z=a+bi$ forma algebrică a musnahabui complet z

$Rez$
(parte rela) $Yu Z$ (parte euxzélvara)

$Reż, =

Înscrie-te pentru a vedea CONȚINUTULE gratuit!

Acces la toate documentele

Îmbunătățește notele tale!

Alătură-te milioanelor de elevi

Prin înregistrare, accepți Termenii de serviciu și Politica de confidențialitate

Operații cu numere complexe

Numerele complexe se pot aduna, scădea, înmulți și împărți urmând reguli specifice. Pentru adunare și scădere, lucrezi separat cu părțile reale și imaginare. De exemplu: $2 + \frac{3}{2} - 5i + \frac{3}{7} + 8i = \frac{1}{14} + 3i$

La înmulțirea numerelor complexe, trebuie să distribui termenii și să ții cont că i2=1i^2 = -1. Iată un exemplu simplu: (23i)(4+5i)=8+10i12i15i2=82i15(1)=82i+15=7+22i(2-3i)(4+5i) = 8 + 10i - 12i - 15i^2 = 8 - 2i - 15(-1) = 8 - 2i + 15 = 7 + 22i

💡 Când înmulțești numere complexe, nu uita că i2=1i^2 = -1. Acest lucru transformă termenii cu i2i^2 în numere reale!

Pentru împărțirea numerelor complexe, folosim conjugatul complex în numitor pentru a elimina partea imaginară. Conjugatul unui număr complex z=a+biz = a + bi este z=abi\overline{z} = a - bi. Prin înmulțirea numitorului și numărătorului cu conjugatul numitorului, obținem o fracție cu numitor real.

Să vedem un exemplu de împărțire: 62i52i=(62i)(5+2i)(52i)(5+2i)=30+12i10i4i2254i2=30+2i+425+4=34+2i29=3429+229i\frac{6 - 2i}{5 - 2i} = \frac{(6-2i)(5+2i)}{(5-2i)(5+2i)} = \frac{30 + 12i - 10i - 4i^2}{25 - 4i^2} = \frac{30 + 2i + 4}{25 + 4} = \frac{34 + 2i}{29} = \frac{34}{29} + \frac{2}{29}i

Aceste operații cu numere complexe sunt esențiale în multe domenii, de la electronică până la fizica cuantică.

# NUMERE
COMPLEXE

luitate imaginara
$Z=a+bi$ forma algebrică a musnahabui complet z

$Rez$
(parte rela) $Yu Z$ (parte euxzélvara)

$Reż, =

Înscrie-te pentru a vedea CONȚINUTULE gratuit!

Acces la toate documentele

Îmbunătățește notele tale!

Alătură-te milioanelor de elevi

Prin înregistrare, accepți Termenii de serviciu și Politica de confidențialitate

# NUMERE
COMPLEXE

luitate imaginara
$Z=a+bi$ forma algebrică a musnahabui complet z

$Rez$
(parte rela) $Yu Z$ (parte euxzélvara)

$Reż, =

Înscrie-te pentru a vedea CONȚINUTULE gratuit!

Acces la toate documentele

Îmbunătățește notele tale!

Alătură-te milioanelor de elevi

Prin înregistrare, accepți Termenii de serviciu și Politica de confidențialitate

Credeam că nu vei întreba niciodată...

Ce este Companionul AI Knowunity?

Companionul nostru AI este creat special pentru nevoile studenților. Bazându-ne pe milioanele de materiale de pe platformă, putem oferi răspunsuri exacte și relevante pentru studenți. Dar nu este vorba doar despre răspunsuri, companionul este mai ales despre ghidarea studenților prin provocările zilnice de învățare, cu planuri de studiu personalizate, chestionare sau conținuturi în chat și personalizare 100% bazată pe abilitățile și evoluțiile studenților.

De unde pot descărca aplicația Knowunity?

Aplicația este disponibilă în Google Play Store și Apple App Store.

Este Knowunity chiar gratuită?

Da! Bucură-te de access la materiale de studiu, conectează-te cu alți elevi, și primește ajutor instant - toate acestea la un click distanță. În plus, câștigă puncte ca să deblochezi mai multe funcționalități!

5

Instrumente inteligente NOU

Transformă această notiță în: ✓ 50+ întrebări de exersare ✓ Flashcard-uri interactive ✓ Examen de practică complet ✓ Planuri de eseu

Examen de practică
Quiz
Flashcard-uri
Eseu

Nu găsești ce cauți? Explorează alte MATERII.

Recenzii de la utilizatorii noștri. Ei iubesc să folosească Knowunity — și tu o vei face.

4.6/5

App Store

4.7/5

Google Play

Aplicația este foarte ușor de utilizat și bine concepută. Am găsit tot ce căutam până acum și am reușit să învăț multe din prezentări! Cu siguranță voi folosi aplicația pentru o temă la clasă! Și desigur, ajută mult ca sursă de inspirație.

Ștefan S

utilizator iOS

Această aplicație este super. Sunt atât de multe materiale de studiu și ajutor pentru elevi [...]. Materia mea mai problematică este franceza, de exemplu, și aplicația oferă foarte multe materiale ajutătoare. Mulțumită acestei aplicații, mi-am îmbunătățit franceza. Aș recomanda-o oricui.

Samantha Klich

utilizator Android

Wow, sunt cu adevărat impresionat. Am încercat aplicația pentru că am văzut-o promovată de multe ori și am rămas uimit. Aceasta este AJUTORUL de care ai nevoie pentru școală și, mai presus de toate, oferă atât de multe lucruri, precum exerciții și fișe de informații, care mi-au fost FOARTE de ajutor.

Anna

utilizator iOS

Te ajută să înveți foarte repede și ști foarte bine ce ai dori tu să înveți, vă recomand cu drag să încercați și să învățați mai repede.!

Thomas R

utilizator iOS

Foarte bună aplicația!!!! Mă ajută să înțeleg mult mai bine lecțiile și temele le termin mult mai repede.👍❤️

Paul P

utilizator Android

Te ajută foarte bine la teme acest robot,recomand!

David K

utilizator iOS

Aplicația e grozavă! Tot ce trebuie să fac este să introduc subiectul în bara de căutare și primesc răspunsul foarte rapid. Nu mai trebuie să mă uit la 10 videoclipuri pe YouTube pentru a înțelege ceva, deci îmi economisesc timpul. Super recomandat!

Sudenaz Ocak

utilizator Android

La școală eram chiar slab la matematică, dar datorită aplicației, mă descurc mai bine acum. Sunt atât de recunoscător că ai creat aplicația.

Greenlight Bonnie

utilizator Android

Această aplicație e super interesantă și seamănă ca tiktok-ul doar că tu ai doar teorie și explicații.

Karla S

utilizator Android

Nu mai trebuie să stau cu orele să învăț după caiet când pot să citesc de 2 ori lecțiile care apar aici și iau 10 la test ! Knowunity m-a ajutat să iau nota 9,20 la română ! Voi recomanda ff tare aceasta aplicate , să nu uităm ca are și chat GPT !👍🏻

Denisa B

utilizator iOS

CHESTIONARELE ȘI FLASHCARD-URILE SUNT ATÂT DE UTILE ȘI IUBESC Knowunity AI. E LITERALMENTE CA CHATGPT DOAR CĂ MAI DEȘTEPT!! M-A AJUTAT ȘI CU PROBLEMELE MELE CU MASCARA!! PLUS CU MATERIILE MELE ADEVĂRATE! EVIDENT 😍😁😲🤑💗✨🎀😮

Sarah L

utilizator Android

Este foarte bună te ajută la teme te face să înțelegi lecțiile am înțeles o lecție în 20 de minute i singură nu reușeam să o învăț dar cu Knowunity am învățat-o foarte ușor

Alessia V

utilizator iOS

Aplicația este foarte ușor de utilizat și bine concepută. Am găsit tot ce căutam până acum și am reușit să învăț multe din prezentări! Cu siguranță voi folosi aplicația pentru o temă la clasă! Și desigur, ajută mult ca sursă de inspirație.

Ștefan S

utilizator iOS

Această aplicație este super. Sunt atât de multe materiale de studiu și ajutor pentru elevi [...]. Materia mea mai problematică este franceza, de exemplu, și aplicația oferă foarte multe materiale ajutătoare. Mulțumită acestei aplicații, mi-am îmbunătățit franceza. Aș recomanda-o oricui.

Samantha Klich

utilizator Android

Wow, sunt cu adevărat impresionat. Am încercat aplicația pentru că am văzut-o promovată de multe ori și am rămas uimit. Aceasta este AJUTORUL de care ai nevoie pentru școală și, mai presus de toate, oferă atât de multe lucruri, precum exerciții și fișe de informații, care mi-au fost FOARTE de ajutor.

Anna

utilizator iOS

Te ajută să înveți foarte repede și ști foarte bine ce ai dori tu să înveți, vă recomand cu drag să încercați și să învățați mai repede.!

Thomas R

utilizator iOS

Foarte bună aplicația!!!! Mă ajută să înțeleg mult mai bine lecțiile și temele le termin mult mai repede.👍❤️

Paul P

utilizator Android

Te ajută foarte bine la teme acest robot,recomand!

David K

utilizator iOS

Aplicația e grozavă! Tot ce trebuie să fac este să introduc subiectul în bara de căutare și primesc răspunsul foarte rapid. Nu mai trebuie să mă uit la 10 videoclipuri pe YouTube pentru a înțelege ceva, deci îmi economisesc timpul. Super recomandat!

Sudenaz Ocak

utilizator Android

La școală eram chiar slab la matematică, dar datorită aplicației, mă descurc mai bine acum. Sunt atât de recunoscător că ai creat aplicația.

Greenlight Bonnie

utilizator Android

Această aplicație e super interesantă și seamănă ca tiktok-ul doar că tu ai doar teorie și explicații.

Karla S

utilizator Android

Nu mai trebuie să stau cu orele să învăț după caiet când pot să citesc de 2 ori lecțiile care apar aici și iau 10 la test ! Knowunity m-a ajutat să iau nota 9,20 la română ! Voi recomanda ff tare aceasta aplicate , să nu uităm ca are și chat GPT !👍🏻

Denisa B

utilizator iOS

CHESTIONARELE ȘI FLASHCARD-URILE SUNT ATÂT DE UTILE ȘI IUBESC Knowunity AI. E LITERALMENTE CA CHATGPT DOAR CĂ MAI DEȘTEPT!! M-A AJUTAT ȘI CU PROBLEMELE MELE CU MASCARA!! PLUS CU MATERIILE MELE ADEVĂRATE! EVIDENT 😍😁😲🤑💗✨🎀😮

Sarah L

utilizator Android

Este foarte bună te ajută la teme te face să înțelegi lecțiile am înțeles o lecție în 20 de minute i singură nu reușeam să o învăț dar cu Knowunity am învățat-o foarte ușor

Alessia V

utilizator iOS