Vectorii în plan sunt concepte matematice fundamentale care ne ajută... Afișează mai mult
Înscrie-te pentru a vedea CONȚINUTULE gratuit!
Acces la toate documentele
Îmbunătățește notele tale!
Alătură-te milioanelor de elevi
Knowunity AI
Mai mult
Materii
Triangle Congruence and Similarity Theorems
Triangle Properties and Classification
Linear Equations and Graphs
Geometric Angle Relationships
Trigonometric Functions and Identities
Equation Solving Techniques
Circle Geometry Fundamentals
Division Operations and Methods
Basic Differentiation Rules
Exponent and Logarithm Properties
Afișează toate materiile
Human Organ Systems
Reproductive Cell Cycles
Biological Sciences Subdisciplines
Cellular Energy Metabolism
Autotrophic Energy Processes
Inheritance Patterns and Principles
Biomolecular Structure and Organization
Cell Cycle and Division Mechanics
Cellular Organization and Development
Biological Structural Organization
Afișează toate materiile
Chemical Sciences and Applications
Atomic Structure and Composition
Molecular Electron Structure Representation
Atomic Electron Behavior
Matter Properties and Water
Mole Concept and Calculations
Gas Laws and Behavior
Periodic Table Organization
Chemical Thermodynamics Fundamentals
Chemical Bond Types and Properties
Afișează toate materiile
European Renaissance and Enlightenment
European Cultural Movements 800-1920
American Revolution Era 1763-1797
American Civil War 1861-1865
Global Imperial Systems
Mongol and Chinese Dynasties
U.S. Presidents and World Leaders
Historical Sources and Documentation
World Wars Era and Impact
World Religious Systems
Afișează toate materiile
Classic and Contemporary Novels
Literary Character Analysis
Rhetorical Theory and Practice
Classic Literary Narratives
Reading Analysis and Interpretation
Narrative Structure and Techniques
English Language Components
Influential English-Language Authors
Basic Sentence Structure
Narrative Voice and Perspective
Afișează toate materiile
153
•
Actualizat Apr 1, 2026
•
Daria Gaborean
@dariagaborean
Vectorii în plan sunt concepte matematice fundamentale care ne ajută... Afișează mai mult










Un vector este o mărime matematică caracterizată prin direcție, sens și valoare. Când două drepte sunt fie identice, fie paralele, spunem că ele au aceeași direcție.
Când avem un segment orientat sau vector legat, notat , punctul A reprezintă originea vectorului, iar B este vârful acestuia. Lungimea segmentului [AB] se numește modulul vectorului și se notează .
Dreapta AB reprezintă suportul vectorului, iar direcția acestei drepte devine direcția vectorului. Două segmente orientate au același sens dacă semidreptele lor corespunzătoare se află în același semiplan.
⚠️ Nu confunda un vector cu un simplu segment! Vectorul are și o orientare specifică, pe când segmentul este doar o porțiune de dreaptă între două puncte.
Dacă două segmente orientate au același modul, aceeași direcție și același sens, ele sunt echipolente (notație "~"). Un vector liber este mulțimea tuturor segmentelor orientate echipolente cu un segment dat.

Vectorii ne permit să descriem mai precis relațiile între obiectele geometrice. Doi vectori sunt coliniari dacă au aceeași direcție, indiferent de sens.
Două segmente orientate și au aceeași direcție dacă dreptele AB și CD sunt paralele sau coincid. Ele au același sens când semidreptele și se află de aceeași parte a dreptei care unește originile lor.
Pentru vectorii echipolenți, se respectă simultan trei condiții: au același modul, aceeași direcție și același sens. De exemplu, dacă avem segmentele orientate și , ele sunt echipolente când îndeplinesc toate aceste trei condiții.
Vectorul liber este un concept abstract care ne permite să lucrăm cu proprietățile vectorilor independent de poziția lor în plan. Când notăm vectori liberi, folosim simboluri ca , , , etc.
💡 Poți gândi vectorii coliniari ca săgeți orientate pe aceeași linie sau pe linii paralele, indiferent dacă "arată" în aceeași direcție sau în direcții opuse.

Adunarea vectorilor este o operație fundamentală care ne ajută să combinăm două sau mai multe deplasări. Fie și doi vectori în plan, suma lor este vectorul .
Regula paralelogramului:
Regula triunghiului:
🔑 Regula triunghiului este cel mai ușor de aplicat practic și reprezintă practic o deplasare succesivă: mai întâi în direcția primului vector, apoi în direcția celui de-al doilea.
Ambele metode dau același rezultat, iar alegerea metodei depinde doar de ce îți este mai ușor să desenezi în situația dată.

Regula poligonului extinde regula triunghiului pentru adunarea mai multor vectori:
Proprietățile adunării vectorilor:
💡 Aceste proprietăți fac ca algebra vectorilor să fie similară cu algebra numerelor reale, ceea ce ne permite să manipulăm expresii vectoriale cu ușurință.
Exercițiu: Pentru punctele distincte A, B, C, D, E putem calcula sume vectoriale precum (observă cum se anulează punctul B).

Când înmulțim un vector cu un număr real (scalar) , obținem un vector care:
Doi vectori și sunt coliniari dacă și numai dacă există un scalar astfel încât .
În reperul cartezian din plan, folosim versorii și (vectori unitari pe axele OX și OY) pentru a descrie orice vector. Astfel, pentru un punct M(x,y) în plan:
🔍 Descompunerea unui vector în componente după axele de coordonate este esențială pentru calcule matematice precise. Este ca și cum am spune "mergi 3 pași la dreapta și 2 pași înainte" în loc de "mergi în direcția aceea".
Reperul cartezian O; $\vec{i}$; $\vec{j}$ ne oferă un cadru standard pentru exprimarea și calculul vectorilor.

În reperul cartezian, orice vector poate fi scris în funcție de versorii și . Pentru un punct M(x,y), vectorul său de poziție este .
Definiții importante:
Pentru un vector , modulul se calculează cu formula:
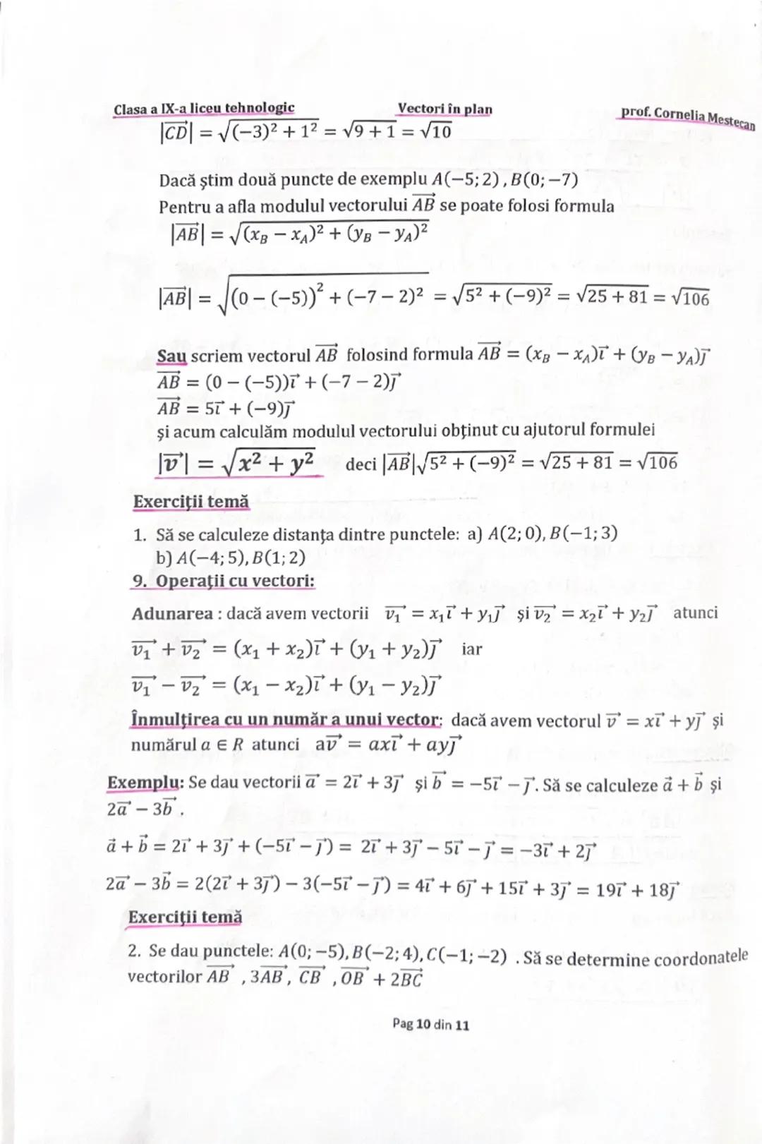
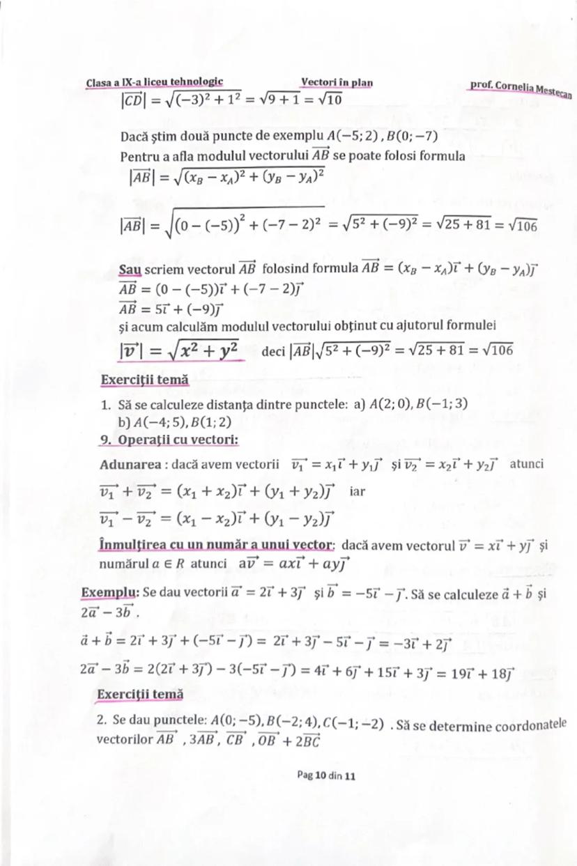
Dacă avem două puncte A și B cu coordonatele A$x_A$, $y_A$ și B$x_B$, $y_B$, atunci:
⚠️ Atenție la ordinea punctelor când calculezi vectorul - este diferit de ! De fapt, .
Coordonatele ne permit să facem calcule precise cu vectori și să rezolvăm probleme complexe de geometrie analitică.

Când lucrăm cu vectori în coordonate, operațiile devin foarte simple. Pentru doi vectori și :
Adunarea: Scăderea: Înmulțirea cu scalar:
Pentru un vector între punctele A$x_A$, $y_A$ și B$x_B$, $y_B$:
Exemple de calcule:
🔑 Modulul vectorului reprezintă lungimea sa geometrică și coincide cu distanța dintre punctele care definesc vectorul.
Aceste formule ne permit să rezolvăm rapid probleme cu vectori fără a face construcții geometrice complexe.

Operații cu vectori în coordonate ne permit să rezolvăm eficient diverse probleme:
Pentru vectorii și :
Exemplu: Pentru vectorii și :
Calculul distanței între puncte: Pentru punctele A(x₁,y₁) și B(x₂,y₂), distanța este:
💡 Operațiile cu vectori sunt similare celor cu numere complexe în formă algebrică - se adună/scad componentele de pe aceleași direcții.
Vectorii sunt instrumente puternice în geometrie, fizică și multe alte domenii științifice, permițându-ne să descompunem și să analizăm forțe, mișcări și relații spațiale.

Coordonatele mijlocului unui segment: Pentru segmentul [AB] cu A$x_A$, $y_A$ și B$x_B$, $y_B$, mijlocul M are coordonatele:
Exemplu: Pentru A(-3,0) și B(2,-1), mijlocul M are coordonatele:
Coordonatele centrului de greutate al unui triunghi: Pentru triunghiul ABC cu A$x_A$, $y_A$, B$x_B$, $y_B$ și C$x_C$, $y_C$, centrul de greutate G are coordonatele:
Exemplu: Pentru triunghiul cu A(-3,0), B(2,-1) și C(0,5), centrul de greutate G are coordonatele:
🔍 Centrul de greutate al unui triunghi este punctul de concurență al medianelor și împarte fiecare mediană în raportul 2:1 (începând de la vârf).
Aceste formule sunt foarte utile în rezolvarea problemelor de geometrie analitică, permițându-ne să calculăm rapid coordonatele unor puncte importante fără a face construcții geometrice complexe.
Companionul nostru AI este creat special pentru nevoile studenților. Bazându-ne pe milioanele de materiale de pe platformă, putem oferi răspunsuri exacte și relevante pentru studenți. Dar nu este vorba doar despre răspunsuri, companionul este mai ales despre ghidarea studenților prin provocările zilnice de învățare, cu planuri de studiu personalizate, chestionare sau conținuturi în chat și personalizare 100% bazată pe abilitățile și evoluțiile studenților.
Aplicația este disponibilă în Google Play Store și Apple App Store.
Da! Bucură-te de access la materiale de studiu, conectează-te cu alți elevi, și primește ajutor instant - toate acestea la un click distanță. În plus, câștigă puncte ca să deblochezi mai multe funcționalități!
App Store
Google Play
Aplicația este foarte ușor de utilizat și bine concepută. Am găsit tot ce căutam până acum și am reușit să învăț multe din prezentări! Cu siguranță voi folosi aplicația pentru o temă la clasă! Și desigur, ajută mult ca sursă de inspirație.
Ștefan S
utilizator iOS
Această aplicație este super. Sunt atât de multe materiale de studiu și ajutor pentru elevi [...]. Materia mea mai problematică este franceza, de exemplu, și aplicația oferă foarte multe materiale ajutătoare. Mulțumită acestei aplicații, mi-am îmbunătățit franceza. Aș recomanda-o oricui.
Samantha Klich
utilizator Android
Wow, sunt cu adevărat impresionat. Am încercat aplicația pentru că am văzut-o promovată de multe ori și am rămas uimit. Aceasta este AJUTORUL de care ai nevoie pentru școală și, mai presus de toate, oferă atât de multe lucruri, precum exerciții și fișe de informații, care mi-au fost FOARTE de ajutor.
Anna
utilizator iOS
Te ajută să înveți foarte repede și ști foarte bine ce ai dori tu să înveți, vă recomand cu drag să încercați și să învățați mai repede.!
Thomas R
utilizator iOS
Foarte bună aplicația!!!! Mă ajută să înțeleg mult mai bine lecțiile și temele le termin mult mai repede.👍❤️
Paul P
utilizator Android
Te ajută foarte bine la teme acest robot,recomand!
David K
utilizator iOS
Aplicația e grozavă! Tot ce trebuie să fac este să introduc subiectul în bara de căutare și primesc răspunsul foarte rapid. Nu mai trebuie să mă uit la 10 videoclipuri pe YouTube pentru a înțelege ceva, deci îmi economisesc timpul. Super recomandat!
Sudenaz Ocak
utilizator Android
La școală eram chiar slab la matematică, dar datorită aplicației, mă descurc mai bine acum. Sunt atât de recunoscător că ai creat aplicația.
Greenlight Bonnie
utilizator Android
Această aplicație e super interesantă și seamănă ca tiktok-ul doar că tu ai doar teorie și explicații.
Karla S
utilizator Android
Nu mai trebuie să stau cu orele să învăț după caiet când pot să citesc de 2 ori lecțiile care apar aici și iau 10 la test ! Knowunity m-a ajutat să iau nota 9,20 la română ! Voi recomanda ff tare aceasta aplicate , să nu uităm ca are și chat GPT !👍🏻
Denisa B
utilizator iOS
CHESTIONARELE ȘI FLASHCARD-URILE SUNT ATÂT DE UTILE ȘI IUBESC Knowunity AI. E LITERALMENTE CA CHATGPT DOAR CĂ MAI DEȘTEPT!! M-A AJUTAT ȘI CU PROBLEMELE MELE CU MASCARA!! PLUS CU MATERIILE MELE ADEVĂRATE! EVIDENT 😍😁😲🤑💗✨🎀😮
Sarah L
utilizator Android
Este foarte bună te ajută la teme te face să înțelegi lecțiile am înțeles o lecție în 20 de minute i singură nu reușeam să o învăț dar cu Knowunity am învățat-o foarte ușor
Alessia V
utilizator iOS
Aplicația este foarte ușor de utilizat și bine concepută. Am găsit tot ce căutam până acum și am reușit să învăț multe din prezentări! Cu siguranță voi folosi aplicația pentru o temă la clasă! Și desigur, ajută mult ca sursă de inspirație.
Ștefan S
utilizator iOS
Această aplicație este super. Sunt atât de multe materiale de studiu și ajutor pentru elevi [...]. Materia mea mai problematică este franceza, de exemplu, și aplicația oferă foarte multe materiale ajutătoare. Mulțumită acestei aplicații, mi-am îmbunătățit franceza. Aș recomanda-o oricui.
Samantha Klich
utilizator Android
Wow, sunt cu adevărat impresionat. Am încercat aplicația pentru că am văzut-o promovată de multe ori și am rămas uimit. Aceasta este AJUTORUL de care ai nevoie pentru școală și, mai presus de toate, oferă atât de multe lucruri, precum exerciții și fișe de informații, care mi-au fost FOARTE de ajutor.
Anna
utilizator iOS
Te ajută să înveți foarte repede și ști foarte bine ce ai dori tu să înveți, vă recomand cu drag să încercați și să învățați mai repede.!
Thomas R
utilizator iOS
Foarte bună aplicația!!!! Mă ajută să înțeleg mult mai bine lecțiile și temele le termin mult mai repede.👍❤️
Paul P
utilizator Android
Te ajută foarte bine la teme acest robot,recomand!
David K
utilizator iOS
Aplicația e grozavă! Tot ce trebuie să fac este să introduc subiectul în bara de căutare și primesc răspunsul foarte rapid. Nu mai trebuie să mă uit la 10 videoclipuri pe YouTube pentru a înțelege ceva, deci îmi economisesc timpul. Super recomandat!
Sudenaz Ocak
utilizator Android
La școală eram chiar slab la matematică, dar datorită aplicației, mă descurc mai bine acum. Sunt atât de recunoscător că ai creat aplicația.
Greenlight Bonnie
utilizator Android
Această aplicație e super interesantă și seamănă ca tiktok-ul doar că tu ai doar teorie și explicații.
Karla S
utilizator Android
Nu mai trebuie să stau cu orele să învăț după caiet când pot să citesc de 2 ori lecțiile care apar aici și iau 10 la test ! Knowunity m-a ajutat să iau nota 9,20 la română ! Voi recomanda ff tare aceasta aplicate , să nu uităm ca are și chat GPT !👍🏻
Denisa B
utilizator iOS
CHESTIONARELE ȘI FLASHCARD-URILE SUNT ATÂT DE UTILE ȘI IUBESC Knowunity AI. E LITERALMENTE CA CHATGPT DOAR CĂ MAI DEȘTEPT!! M-A AJUTAT ȘI CU PROBLEMELE MELE CU MASCARA!! PLUS CU MATERIILE MELE ADEVĂRATE! EVIDENT 😍😁😲🤑💗✨🎀😮
Sarah L
utilizator Android
Este foarte bună te ajută la teme te face să înțelegi lecțiile am înțeles o lecție în 20 de minute i singură nu reușeam să o învăț dar cu Knowunity am învățat-o foarte ușor
Alessia V
utilizator iOS
Daria Gaborean
@dariagaborean
Vectorii în plan sunt concepte matematice fundamentale care ne ajută să descriem mișcările și direcțiile în geometrie. Ei sunt esențiali pentru înțelegerea multor fenomene din fizică, inginerie și matematică avansată. În acest material, vom explora proprietățile vectorilor și operațiile cu... Afișează mai mult

Acces la toate documentele
Îmbunătățește notele tale!
Alătură-te milioanelor de elevi
Un vector este o mărime matematică caracterizată prin direcție, sens și valoare. Când două drepte sunt fie identice, fie paralele, spunem că ele au aceeași direcție.
Când avem un segment orientat sau vector legat, notat , punctul A reprezintă originea vectorului, iar B este vârful acestuia. Lungimea segmentului [AB] se numește modulul vectorului și se notează .
Dreapta AB reprezintă suportul vectorului, iar direcția acestei drepte devine direcția vectorului. Două segmente orientate au același sens dacă semidreptele lor corespunzătoare se află în același semiplan.
⚠️ Nu confunda un vector cu un simplu segment! Vectorul are și o orientare specifică, pe când segmentul este doar o porțiune de dreaptă între două puncte.
Dacă două segmente orientate au același modul, aceeași direcție și același sens, ele sunt echipolente (notație "~"). Un vector liber este mulțimea tuturor segmentelor orientate echipolente cu un segment dat.

Acces la toate documentele
Îmbunătățește notele tale!
Alătură-te milioanelor de elevi
Vectorii ne permit să descriem mai precis relațiile între obiectele geometrice. Doi vectori sunt coliniari dacă au aceeași direcție, indiferent de sens.
Două segmente orientate și au aceeași direcție dacă dreptele AB și CD sunt paralele sau coincid. Ele au același sens când semidreptele și se află de aceeași parte a dreptei care unește originile lor.
Pentru vectorii echipolenți, se respectă simultan trei condiții: au același modul, aceeași direcție și același sens. De exemplu, dacă avem segmentele orientate și , ele sunt echipolente când îndeplinesc toate aceste trei condiții.
Vectorul liber este un concept abstract care ne permite să lucrăm cu proprietățile vectorilor independent de poziția lor în plan. Când notăm vectori liberi, folosim simboluri ca , , , etc.
💡 Poți gândi vectorii coliniari ca săgeți orientate pe aceeași linie sau pe linii paralele, indiferent dacă "arată" în aceeași direcție sau în direcții opuse.

Acces la toate documentele
Îmbunătățește notele tale!
Alătură-te milioanelor de elevi
Adunarea vectorilor este o operație fundamentală care ne ajută să combinăm două sau mai multe deplasări. Fie și doi vectori în plan, suma lor este vectorul .
Regula paralelogramului:
Regula triunghiului:
🔑 Regula triunghiului este cel mai ușor de aplicat practic și reprezintă practic o deplasare succesivă: mai întâi în direcția primului vector, apoi în direcția celui de-al doilea.
Ambele metode dau același rezultat, iar alegerea metodei depinde doar de ce îți este mai ușor să desenezi în situația dată.

Acces la toate documentele
Îmbunătățește notele tale!
Alătură-te milioanelor de elevi
Regula poligonului extinde regula triunghiului pentru adunarea mai multor vectori:
Proprietățile adunării vectorilor:
💡 Aceste proprietăți fac ca algebra vectorilor să fie similară cu algebra numerelor reale, ceea ce ne permite să manipulăm expresii vectoriale cu ușurință.
Exercițiu: Pentru punctele distincte A, B, C, D, E putem calcula sume vectoriale precum (observă cum se anulează punctul B).

Acces la toate documentele
Îmbunătățește notele tale!
Alătură-te milioanelor de elevi
Când înmulțim un vector cu un număr real (scalar) , obținem un vector care:
Doi vectori și sunt coliniari dacă și numai dacă există un scalar astfel încât .
În reperul cartezian din plan, folosim versorii și (vectori unitari pe axele OX și OY) pentru a descrie orice vector. Astfel, pentru un punct M(x,y) în plan:
🔍 Descompunerea unui vector în componente după axele de coordonate este esențială pentru calcule matematice precise. Este ca și cum am spune "mergi 3 pași la dreapta și 2 pași înainte" în loc de "mergi în direcția aceea".
Reperul cartezian O; $\vec{i}$; $\vec{j}$ ne oferă un cadru standard pentru exprimarea și calculul vectorilor.

Acces la toate documentele
Îmbunătățește notele tale!
Alătură-te milioanelor de elevi
În reperul cartezian, orice vector poate fi scris în funcție de versorii și . Pentru un punct M(x,y), vectorul său de poziție este .
Definiții importante:
Pentru un vector , modulul se calculează cu formula:
Dacă avem două puncte A și B cu coordonatele A$x_A$, $y_A$ și B$x_B$, $y_B$, atunci:
⚠️ Atenție la ordinea punctelor când calculezi vectorul - este diferit de ! De fapt, .
Coordonatele ne permit să facem calcule precise cu vectori și să rezolvăm probleme complexe de geometrie analitică.

Acces la toate documentele
Îmbunătățește notele tale!
Alătură-te milioanelor de elevi
Când lucrăm cu vectori în coordonate, operațiile devin foarte simple. Pentru doi vectori și :
Adunarea: Scăderea: Înmulțirea cu scalar:
Pentru un vector între punctele A$x_A$, $y_A$ și B$x_B$, $y_B$:
Exemple de calcule:
🔑 Modulul vectorului reprezintă lungimea sa geometrică și coincide cu distanța dintre punctele care definesc vectorul.
Aceste formule ne permit să rezolvăm rapid probleme cu vectori fără a face construcții geometrice complexe.

Acces la toate documentele
Îmbunătățește notele tale!
Alătură-te milioanelor de elevi
Operații cu vectori în coordonate ne permit să rezolvăm eficient diverse probleme:
Pentru vectorii și :
Exemplu: Pentru vectorii și :
Calculul distanței între puncte: Pentru punctele A(x₁,y₁) și B(x₂,y₂), distanța este:
💡 Operațiile cu vectori sunt similare celor cu numere complexe în formă algebrică - se adună/scad componentele de pe aceleași direcții.
Vectorii sunt instrumente puternice în geometrie, fizică și multe alte domenii științifice, permițându-ne să descompunem și să analizăm forțe, mișcări și relații spațiale.

Acces la toate documentele
Îmbunătățește notele tale!
Alătură-te milioanelor de elevi
Coordonatele mijlocului unui segment: Pentru segmentul [AB] cu A$x_A$, $y_A$ și B$x_B$, $y_B$, mijlocul M are coordonatele:
Exemplu: Pentru A(-3,0) și B(2,-1), mijlocul M are coordonatele:
Coordonatele centrului de greutate al unui triunghi: Pentru triunghiul ABC cu A$x_A$, $y_A$, B$x_B$, $y_B$ și C$x_C$, $y_C$, centrul de greutate G are coordonatele:
Exemplu: Pentru triunghiul cu A(-3,0), B(2,-1) și C(0,5), centrul de greutate G are coordonatele:
🔍 Centrul de greutate al unui triunghi este punctul de concurență al medianelor și împarte fiecare mediană în raportul 2:1 (începând de la vârf).
Aceste formule sunt foarte utile în rezolvarea problemelor de geometrie analitică, permițându-ne să calculăm rapid coordonatele unor puncte importante fără a face construcții geometrice complexe.
Companionul nostru AI este creat special pentru nevoile studenților. Bazându-ne pe milioanele de materiale de pe platformă, putem oferi răspunsuri exacte și relevante pentru studenți. Dar nu este vorba doar despre răspunsuri, companionul este mai ales despre ghidarea studenților prin provocările zilnice de învățare, cu planuri de studiu personalizate, chestionare sau conținuturi în chat și personalizare 100% bazată pe abilitățile și evoluțiile studenților.
Aplicația este disponibilă în Google Play Store și Apple App Store.
Da! Bucură-te de access la materiale de studiu, conectează-te cu alți elevi, și primește ajutor instant - toate acestea la un click distanță. În plus, câștigă puncte ca să deblochezi mai multe funcționalități!
1
Instrumente inteligente NOU
Transformă această notiță în: ✓ 50+ întrebări de exersare ✓ Flashcard-uri interactive ✓ Examen de practică complet ✓ Planuri de eseu
App Store
Google Play
Aplicația este foarte ușor de utilizat și bine concepută. Am găsit tot ce căutam până acum și am reușit să învăț multe din prezentări! Cu siguranță voi folosi aplicația pentru o temă la clasă! Și desigur, ajută mult ca sursă de inspirație.
Ștefan S
utilizator iOS
Această aplicație este super. Sunt atât de multe materiale de studiu și ajutor pentru elevi [...]. Materia mea mai problematică este franceza, de exemplu, și aplicația oferă foarte multe materiale ajutătoare. Mulțumită acestei aplicații, mi-am îmbunătățit franceza. Aș recomanda-o oricui.
Samantha Klich
utilizator Android
Wow, sunt cu adevărat impresionat. Am încercat aplicația pentru că am văzut-o promovată de multe ori și am rămas uimit. Aceasta este AJUTORUL de care ai nevoie pentru școală și, mai presus de toate, oferă atât de multe lucruri, precum exerciții și fișe de informații, care mi-au fost FOARTE de ajutor.
Anna
utilizator iOS
Te ajută să înveți foarte repede și ști foarte bine ce ai dori tu să înveți, vă recomand cu drag să încercați și să învățați mai repede.!
Thomas R
utilizator iOS
Foarte bună aplicația!!!! Mă ajută să înțeleg mult mai bine lecțiile și temele le termin mult mai repede.👍❤️
Paul P
utilizator Android
Te ajută foarte bine la teme acest robot,recomand!
David K
utilizator iOS
Aplicația e grozavă! Tot ce trebuie să fac este să introduc subiectul în bara de căutare și primesc răspunsul foarte rapid. Nu mai trebuie să mă uit la 10 videoclipuri pe YouTube pentru a înțelege ceva, deci îmi economisesc timpul. Super recomandat!
Sudenaz Ocak
utilizator Android
La școală eram chiar slab la matematică, dar datorită aplicației, mă descurc mai bine acum. Sunt atât de recunoscător că ai creat aplicația.
Greenlight Bonnie
utilizator Android
Această aplicație e super interesantă și seamănă ca tiktok-ul doar că tu ai doar teorie și explicații.
Karla S
utilizator Android
Nu mai trebuie să stau cu orele să învăț după caiet când pot să citesc de 2 ori lecțiile care apar aici și iau 10 la test ! Knowunity m-a ajutat să iau nota 9,20 la română ! Voi recomanda ff tare aceasta aplicate , să nu uităm ca are și chat GPT !👍🏻
Denisa B
utilizator iOS
CHESTIONARELE ȘI FLASHCARD-URILE SUNT ATÂT DE UTILE ȘI IUBESC Knowunity AI. E LITERALMENTE CA CHATGPT DOAR CĂ MAI DEȘTEPT!! M-A AJUTAT ȘI CU PROBLEMELE MELE CU MASCARA!! PLUS CU MATERIILE MELE ADEVĂRATE! EVIDENT 😍😁😲🤑💗✨🎀😮
Sarah L
utilizator Android
Este foarte bună te ajută la teme te face să înțelegi lecțiile am înțeles o lecție în 20 de minute i singură nu reușeam să o învăț dar cu Knowunity am învățat-o foarte ușor
Alessia V
utilizator iOS
Aplicația este foarte ușor de utilizat și bine concepută. Am găsit tot ce căutam până acum și am reușit să învăț multe din prezentări! Cu siguranță voi folosi aplicația pentru o temă la clasă! Și desigur, ajută mult ca sursă de inspirație.
Ștefan S
utilizator iOS
Această aplicație este super. Sunt atât de multe materiale de studiu și ajutor pentru elevi [...]. Materia mea mai problematică este franceza, de exemplu, și aplicația oferă foarte multe materiale ajutătoare. Mulțumită acestei aplicații, mi-am îmbunătățit franceza. Aș recomanda-o oricui.
Samantha Klich
utilizator Android
Wow, sunt cu adevărat impresionat. Am încercat aplicația pentru că am văzut-o promovată de multe ori și am rămas uimit. Aceasta este AJUTORUL de care ai nevoie pentru școală și, mai presus de toate, oferă atât de multe lucruri, precum exerciții și fișe de informații, care mi-au fost FOARTE de ajutor.
Anna
utilizator iOS
Te ajută să înveți foarte repede și ști foarte bine ce ai dori tu să înveți, vă recomand cu drag să încercați și să învățați mai repede.!
Thomas R
utilizator iOS
Foarte bună aplicația!!!! Mă ajută să înțeleg mult mai bine lecțiile și temele le termin mult mai repede.👍❤️
Paul P
utilizator Android
Te ajută foarte bine la teme acest robot,recomand!
David K
utilizator iOS
Aplicația e grozavă! Tot ce trebuie să fac este să introduc subiectul în bara de căutare și primesc răspunsul foarte rapid. Nu mai trebuie să mă uit la 10 videoclipuri pe YouTube pentru a înțelege ceva, deci îmi economisesc timpul. Super recomandat!
Sudenaz Ocak
utilizator Android
La școală eram chiar slab la matematică, dar datorită aplicației, mă descurc mai bine acum. Sunt atât de recunoscător că ai creat aplicația.
Greenlight Bonnie
utilizator Android
Această aplicație e super interesantă și seamănă ca tiktok-ul doar că tu ai doar teorie și explicații.
Karla S
utilizator Android
Nu mai trebuie să stau cu orele să învăț după caiet când pot să citesc de 2 ori lecțiile care apar aici și iau 10 la test ! Knowunity m-a ajutat să iau nota 9,20 la română ! Voi recomanda ff tare aceasta aplicate , să nu uităm ca are și chat GPT !👍🏻
Denisa B
utilizator iOS
CHESTIONARELE ȘI FLASHCARD-URILE SUNT ATÂT DE UTILE ȘI IUBESC Knowunity AI. E LITERALMENTE CA CHATGPT DOAR CĂ MAI DEȘTEPT!! M-A AJUTAT ȘI CU PROBLEMELE MELE CU MASCARA!! PLUS CU MATERIILE MELE ADEVĂRATE! EVIDENT 😍😁😲🤑💗✨🎀😮
Sarah L
utilizator Android
Este foarte bună te ajută la teme te face să înțelegi lecțiile am înțeles o lecție în 20 de minute i singură nu reușeam să o învăț dar cu Knowunity am învățat-o foarte ușor
Alessia V
utilizator iOS