Logaritmii sunt funcții matematice care determină exponentul la care trebuie... Afișează mai mult
Înscrie-te pentru a vedea CONȚINUTULE gratuit!
Acces la toate documentele
Îmbunătățește notele tale!
Alătură-te milioanelor de elevi
Knowunity AI
Mai mult
Materii
Triangle Congruence and Similarity Theorems
Triangle Properties and Classification
Linear Equations and Graphs
Geometric Angle Relationships
Trigonometric Functions and Identities
Equation Solving Techniques
Circle Geometry Fundamentals
Division Operations and Methods
Basic Differentiation Rules
Exponent and Logarithm Properties
Afișează toate materiile
Human Organ Systems
Reproductive Cell Cycles
Biological Sciences Subdisciplines
Cellular Energy Metabolism
Autotrophic Energy Processes
Inheritance Patterns and Principles
Biomolecular Structure and Organization
Cell Cycle and Division Mechanics
Cellular Organization and Development
Biological Structural Organization
Afișează toate materiile
Chemical Sciences and Applications
Atomic Structure and Composition
Molecular Electron Structure Representation
Atomic Electron Behavior
Matter Properties and Water
Mole Concept and Calculations
Gas Laws and Behavior
Periodic Table Organization
Chemical Thermodynamics Fundamentals
Chemical Bond Types and Properties
Afișează toate materiile
European Renaissance and Enlightenment
European Cultural Movements 800-1920
American Revolution Era 1763-1797
American Civil War 1861-1865
Global Imperial Systems
Mongol and Chinese Dynasties
U.S. Presidents and World Leaders
Historical Sources and Documentation
World Wars Era and Impact
World Religious Systems
Afișează toate materiile
Classic and Contemporary Novels
Literary Character Analysis
Rhetorical Theory and Practice
Classic Literary Narratives
Reading Analysis and Interpretation
Narrative Structure and Techniques
English Language Components
Influential English-Language Authors
Basic Sentence Structure
Narrative Voice and Perspective
Afișează toate materiile
376
•
Actualizat Apr 11, 2026
•
onyx
@piurecusnitel
Logaritmii sunt funcții matematice care determină exponentul la care trebuie... Afișează mai mult





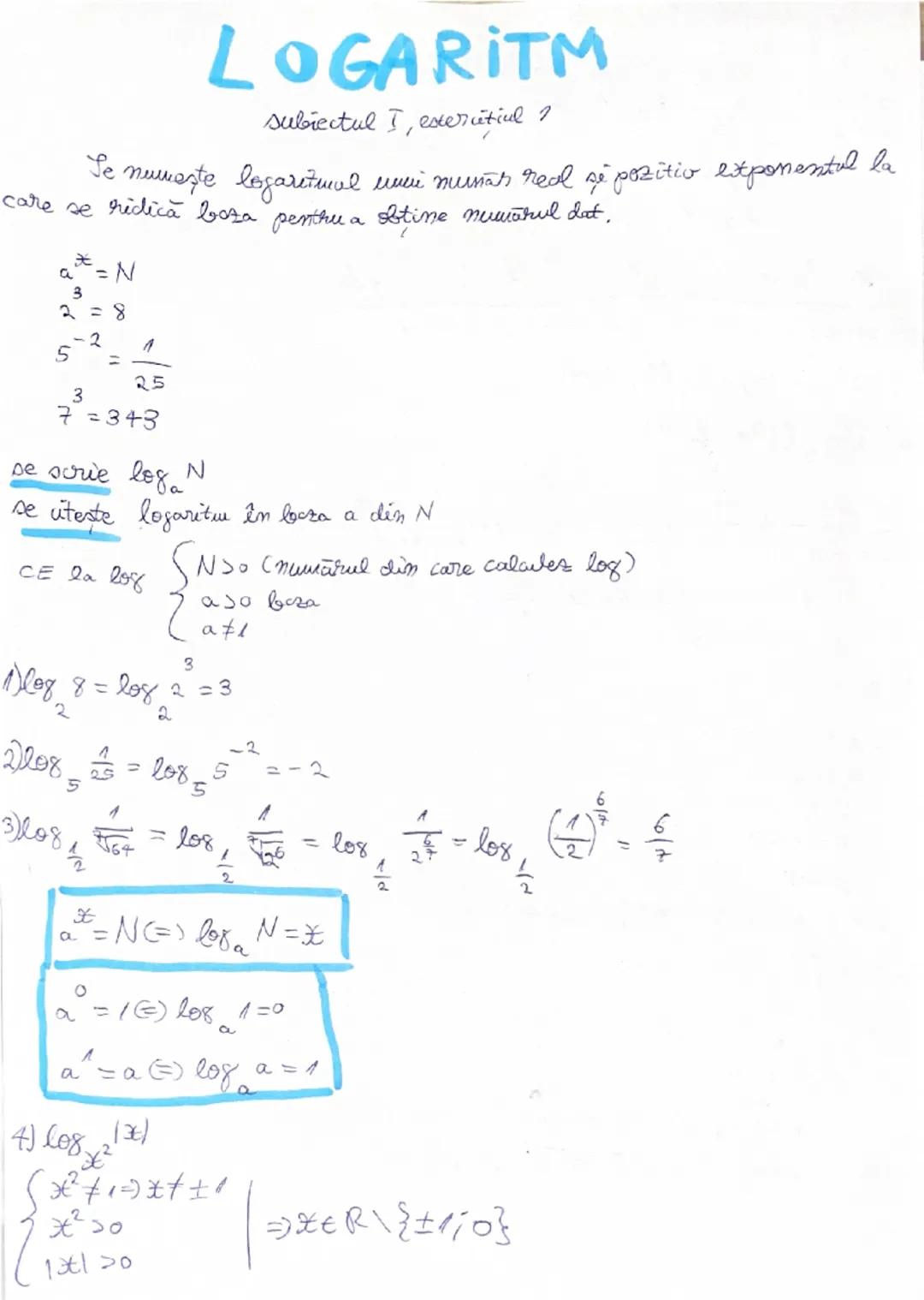
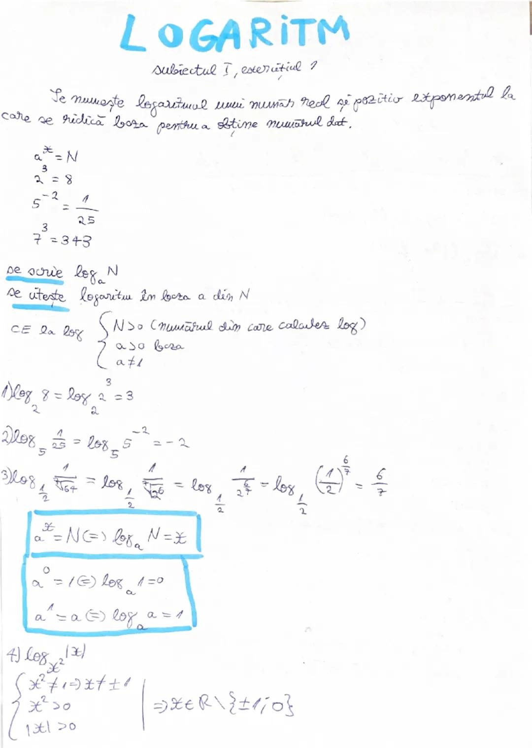
Logaritmul unui număr real pozitiv este exponentul la care trebuie ridicată baza pentru a obține numărul respectiv. Dacă a^x = N, atunci scriem log_a N = x, și citim "logaritmul în baza a din N".
Pentru a calcula logaritmi, trebuie să respectăm condițiile: N > 0, a > 0 și a ≠ 1. Exemple simple includ log_2 8 = 3 sau log_5 (1/25) = -2 .
Există logaritmi de bază cu proprietăți speciale. De exemplu, log_a 1 = 0 și log_a a = 1 . Aceste valori particulare te vor ajuta să rezolvi mai ușor probleme.
⚡ Sfat util: Când rezolvi ecuații cu logaritmi, verifică întotdeauna domeniul de definiție (x > 0 pentru argumentul logaritmului) pentru a evita soluții false!
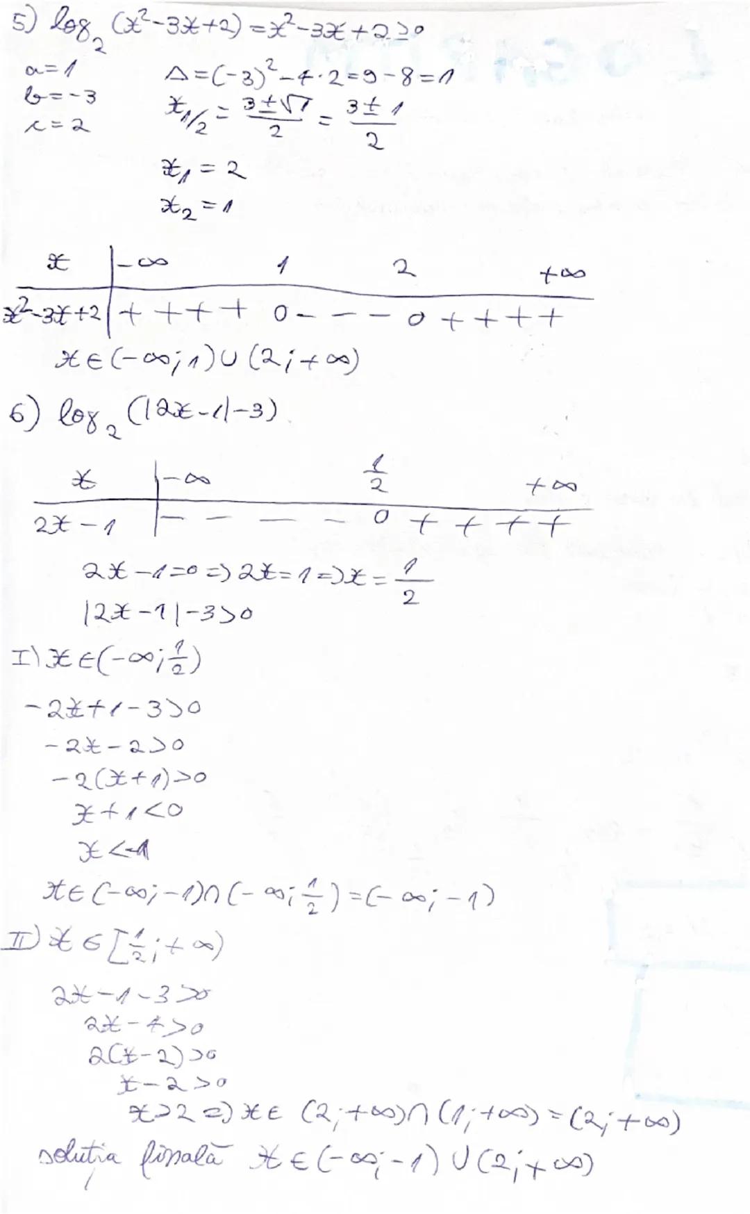
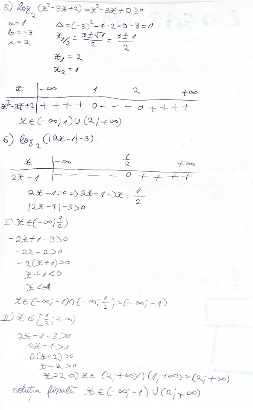
La rezolvarea ecuațiilor cu logaritmi, trebuie să determinăm și valorile pentru care expresia de sub logaritm este strict pozitivă, ca în cazul lui log_2 , unde trebuie să rezolvăm inegalitatea x^2 - 3x + 2 > 0.

Ecuațiile cu logaritmi necesită verificarea domeniului de definiție. Pentru log_2 , determinăm pentru ce valori expresia din paranteze este pozitivă. Calculăm rădăcinile ecuației x^2 - 3x + 2 = 0, obținând x_1 = 1 și x_2 = 2, apoi stabilim că x ∈ (-∞; 1) ∪ (2; +∞).
În cazul expresiilor mai complicate, cum ar fi log_2 , trebuie să lucrăm pe cazuri. Pentru x < 1/2, |2x - 1| = - = -2x + 1, iar pentru x ≥ 1/2, |2x - 1| = 2x - 1. Fiecare caz trebuie analizat separat.
După ce rezolvăm inegalitățile pentru fiecare caz, reunim soluțiile pentru a obține răspunsul final. În exemplul nostru, soluția este x ∈ (-∞; -1) ∪ (2; +∞).
🔍 Important: Divizează problema în cazuri când lucrezi cu valori absolute în logaritmi. Acest approach face calculele mai ușor de gestionat și te ajută să nu pierzi soluții!

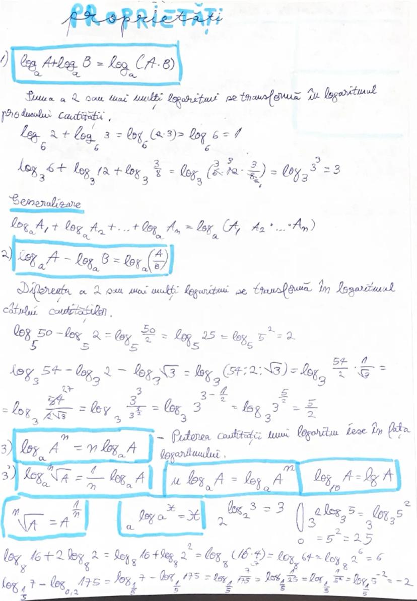
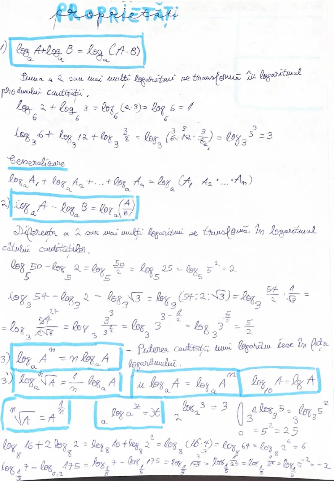
Proprietatea 1: Suma logaritmilor devine logaritmul produsului: log_a A + log_a B = log_a (A·B). De exemplu, log_6 6 + log_6 12 + log_6 (6/3) = log_6 (6·12·(6/3)) = log_6 3 = 3.
Proprietatea 2: Diferența logaritmilor devine logaritmul câtului: log_a A - log_a B = log_a . De exemplu, log_5 50 - log_5 2 = log_5 (50/2) = log_5 25 = log_5 5^2 = 2.
Proprietatea 3: Logaritmul unei puteri devine puterea înmulțită cu logaritmul: log_a A^n = n·log_a A. Similar, log_a √A = ·log_a A. Aceste proprietăți îți permit să simplifici expresii complexe cu logaritmi.
💡 Pont: Folosește proprietățile logaritmilor pentru a transforma expresiile complicate în unele mai simple. De exemplu, log_8 16 + 2·log_8 2 = log_8 = log_8 64 = log_8 2^6 = 6.

Formula de schimbare a bazei permite calculul logaritmului în orice bază folosind logaritmi în alte baze: log_a A = /, unde c este orice bază convenabilă.
O formulă utilă derivată din aceasta este: log_a b = 1/. Acest lucru îți permite să inversezi bazele logaritmilor când e necesar pentru simplificare.
Aceste formule te ajută să rezolvi probleme complexe. De exemplu, log_4 128 poate fi calculat ca / = 7/2 = 3,5, folosind proprietățile logaritmilor și schimbarea de bază.
🧩 Strategia câștigătoare: Când te confrunți cu baze diferite în aceeași problemă, alege o singură bază convenabilă și transformă toți logaritmii folosind formula de schimbare a bazei!
Pentru calcule mai elaborate, poți combina schimbarea de bază cu celelalte proprietăți. Aceasta îți permite să transformi expresii complexe precum - în calcule directe.
Companionul nostru AI este creat special pentru nevoile studenților. Bazându-ne pe milioanele de materiale de pe platformă, putem oferi răspunsuri exacte și relevante pentru studenți. Dar nu este vorba doar despre răspunsuri, companionul este mai ales despre ghidarea studenților prin provocările zilnice de învățare, cu planuri de studiu personalizate, chestionare sau conținuturi în chat și personalizare 100% bazată pe abilitățile și evoluțiile studenților.
Aplicația este disponibilă în Google Play Store și Apple App Store.
Da! Bucură-te de access la materiale de studiu, conectează-te cu alți elevi, și primește ajutor instant - toate acestea la un click distanță. În plus, câștigă puncte ca să deblochezi mai multe funcționalități!
App Store
Google Play
Aplicația este foarte ușor de utilizat și bine concepută. Am găsit tot ce căutam până acum și am reușit să învăț multe din prezentări! Cu siguranță voi folosi aplicația pentru o temă la clasă! Și desigur, ajută mult ca sursă de inspirație.
Ștefan S
utilizator iOS
Această aplicație este super. Sunt atât de multe materiale de studiu și ajutor pentru elevi [...]. Materia mea mai problematică este franceza, de exemplu, și aplicația oferă foarte multe materiale ajutătoare. Mulțumită acestei aplicații, mi-am îmbunătățit franceza. Aș recomanda-o oricui.
Samantha Klich
utilizator Android
Wow, sunt cu adevărat impresionat. Am încercat aplicația pentru că am văzut-o promovată de multe ori și am rămas uimit. Aceasta este AJUTORUL de care ai nevoie pentru școală și, mai presus de toate, oferă atât de multe lucruri, precum exerciții și fișe de informații, care mi-au fost FOARTE de ajutor.
Anna
utilizator iOS
Te ajută să înveți foarte repede și ști foarte bine ce ai dori tu să înveți, vă recomand cu drag să încercați și să învățați mai repede.!
Thomas R
utilizator iOS
Foarte bună aplicația!!!! Mă ajută să înțeleg mult mai bine lecțiile și temele le termin mult mai repede.👍❤️
Paul P
utilizator Android
Te ajută foarte bine la teme acest robot,recomand!
David K
utilizator iOS
Aplicația e grozavă! Tot ce trebuie să fac este să introduc subiectul în bara de căutare și primesc răspunsul foarte rapid. Nu mai trebuie să mă uit la 10 videoclipuri pe YouTube pentru a înțelege ceva, deci îmi economisesc timpul. Super recomandat!
Sudenaz Ocak
utilizator Android
La școală eram chiar slab la matematică, dar datorită aplicației, mă descurc mai bine acum. Sunt atât de recunoscător că ai creat aplicația.
Greenlight Bonnie
utilizator Android
Această aplicație e super interesantă și seamănă ca tiktok-ul doar că tu ai doar teorie și explicații.
Karla S
utilizator Android
Nu mai trebuie să stau cu orele să învăț după caiet când pot să citesc de 2 ori lecțiile care apar aici și iau 10 la test ! Knowunity m-a ajutat să iau nota 9,20 la română ! Voi recomanda ff tare aceasta aplicate , să nu uităm ca are și chat GPT !👍🏻
Denisa B
utilizator iOS
CHESTIONARELE ȘI FLASHCARD-URILE SUNT ATÂT DE UTILE ȘI IUBESC Knowunity AI. E LITERALMENTE CA CHATGPT DOAR CĂ MAI DEȘTEPT!! M-A AJUTAT ȘI CU PROBLEMELE MELE CU MASCARA!! PLUS CU MATERIILE MELE ADEVĂRATE! EVIDENT 😍😁😲🤑💗✨🎀😮
Sarah L
utilizator Android
Este foarte bună te ajută la teme te face să înțelegi lecțiile am înțeles o lecție în 20 de minute i singură nu reușeam să o învăț dar cu Knowunity am învățat-o foarte ușor
Alessia V
utilizator iOS
Aplicația este foarte ușor de utilizat și bine concepută. Am găsit tot ce căutam până acum și am reușit să învăț multe din prezentări! Cu siguranță voi folosi aplicația pentru o temă la clasă! Și desigur, ajută mult ca sursă de inspirație.
Ștefan S
utilizator iOS
Această aplicație este super. Sunt atât de multe materiale de studiu și ajutor pentru elevi [...]. Materia mea mai problematică este franceza, de exemplu, și aplicația oferă foarte multe materiale ajutătoare. Mulțumită acestei aplicații, mi-am îmbunătățit franceza. Aș recomanda-o oricui.
Samantha Klich
utilizator Android
Wow, sunt cu adevărat impresionat. Am încercat aplicația pentru că am văzut-o promovată de multe ori și am rămas uimit. Aceasta este AJUTORUL de care ai nevoie pentru școală și, mai presus de toate, oferă atât de multe lucruri, precum exerciții și fișe de informații, care mi-au fost FOARTE de ajutor.
Anna
utilizator iOS
Te ajută să înveți foarte repede și ști foarte bine ce ai dori tu să înveți, vă recomand cu drag să încercați și să învățați mai repede.!
Thomas R
utilizator iOS
Foarte bună aplicația!!!! Mă ajută să înțeleg mult mai bine lecțiile și temele le termin mult mai repede.👍❤️
Paul P
utilizator Android
Te ajută foarte bine la teme acest robot,recomand!
David K
utilizator iOS
Aplicația e grozavă! Tot ce trebuie să fac este să introduc subiectul în bara de căutare și primesc răspunsul foarte rapid. Nu mai trebuie să mă uit la 10 videoclipuri pe YouTube pentru a înțelege ceva, deci îmi economisesc timpul. Super recomandat!
Sudenaz Ocak
utilizator Android
La școală eram chiar slab la matematică, dar datorită aplicației, mă descurc mai bine acum. Sunt atât de recunoscător că ai creat aplicația.
Greenlight Bonnie
utilizator Android
Această aplicație e super interesantă și seamănă ca tiktok-ul doar că tu ai doar teorie și explicații.
Karla S
utilizator Android
Nu mai trebuie să stau cu orele să învăț după caiet când pot să citesc de 2 ori lecțiile care apar aici și iau 10 la test ! Knowunity m-a ajutat să iau nota 9,20 la română ! Voi recomanda ff tare aceasta aplicate , să nu uităm ca are și chat GPT !👍🏻
Denisa B
utilizator iOS
CHESTIONARELE ȘI FLASHCARD-URILE SUNT ATÂT DE UTILE ȘI IUBESC Knowunity AI. E LITERALMENTE CA CHATGPT DOAR CĂ MAI DEȘTEPT!! M-A AJUTAT ȘI CU PROBLEMELE MELE CU MASCARA!! PLUS CU MATERIILE MELE ADEVĂRATE! EVIDENT 😍😁😲🤑💗✨🎀😮
Sarah L
utilizator Android
Este foarte bună te ajută la teme te face să înțelegi lecțiile am înțeles o lecție în 20 de minute i singură nu reușeam să o învăț dar cu Knowunity am învățat-o foarte ușor
Alessia V
utilizator iOS
onyx
@piurecusnitel
Logaritmii sunt funcții matematice care determină exponentul la care trebuie ridicată o bază pentru a obține un anumit număr. Sunt esențiali în rezolvarea ecuațiilor exponențiale și în multiple aplicații practice. Vom explora definiția, proprietățile și tehnicile de calcul cu logaritmi.

Acces la toate documentele
Îmbunătățește notele tale!
Alătură-te milioanelor de elevi
Logaritmul unui număr real pozitiv este exponentul la care trebuie ridicată baza pentru a obține numărul respectiv. Dacă a^x = N, atunci scriem log_a N = x, și citim "logaritmul în baza a din N".
Pentru a calcula logaritmi, trebuie să respectăm condițiile: N > 0, a > 0 și a ≠ 1. Exemple simple includ log_2 8 = 3 sau log_5 (1/25) = -2 .
Există logaritmi de bază cu proprietăți speciale. De exemplu, log_a 1 = 0 și log_a a = 1 . Aceste valori particulare te vor ajuta să rezolvi mai ușor probleme.
⚡ Sfat util: Când rezolvi ecuații cu logaritmi, verifică întotdeauna domeniul de definiție (x > 0 pentru argumentul logaritmului) pentru a evita soluții false!
La rezolvarea ecuațiilor cu logaritmi, trebuie să determinăm și valorile pentru care expresia de sub logaritm este strict pozitivă, ca în cazul lui log_2 , unde trebuie să rezolvăm inegalitatea x^2 - 3x + 2 > 0.

Acces la toate documentele
Îmbunătățește notele tale!
Alătură-te milioanelor de elevi
Ecuațiile cu logaritmi necesită verificarea domeniului de definiție. Pentru log_2 , determinăm pentru ce valori expresia din paranteze este pozitivă. Calculăm rădăcinile ecuației x^2 - 3x + 2 = 0, obținând x_1 = 1 și x_2 = 2, apoi stabilim că x ∈ (-∞; 1) ∪ (2; +∞).
În cazul expresiilor mai complicate, cum ar fi log_2 , trebuie să lucrăm pe cazuri. Pentru x < 1/2, |2x - 1| = - = -2x + 1, iar pentru x ≥ 1/2, |2x - 1| = 2x - 1. Fiecare caz trebuie analizat separat.
După ce rezolvăm inegalitățile pentru fiecare caz, reunim soluțiile pentru a obține răspunsul final. În exemplul nostru, soluția este x ∈ (-∞; -1) ∪ (2; +∞).
🔍 Important: Divizează problema în cazuri când lucrezi cu valori absolute în logaritmi. Acest approach face calculele mai ușor de gestionat și te ajută să nu pierzi soluții!

Acces la toate documentele
Îmbunătățește notele tale!
Alătură-te milioanelor de elevi
Proprietatea 1: Suma logaritmilor devine logaritmul produsului: log_a A + log_a B = log_a (A·B). De exemplu, log_6 6 + log_6 12 + log_6 (6/3) = log_6 (6·12·(6/3)) = log_6 3 = 3.
Proprietatea 2: Diferența logaritmilor devine logaritmul câtului: log_a A - log_a B = log_a . De exemplu, log_5 50 - log_5 2 = log_5 (50/2) = log_5 25 = log_5 5^2 = 2.
Proprietatea 3: Logaritmul unei puteri devine puterea înmulțită cu logaritmul: log_a A^n = n·log_a A. Similar, log_a √A = ·log_a A. Aceste proprietăți îți permit să simplifici expresii complexe cu logaritmi.
💡 Pont: Folosește proprietățile logaritmilor pentru a transforma expresiile complicate în unele mai simple. De exemplu, log_8 16 + 2·log_8 2 = log_8 = log_8 64 = log_8 2^6 = 6.

Acces la toate documentele
Îmbunătățește notele tale!
Alătură-te milioanelor de elevi
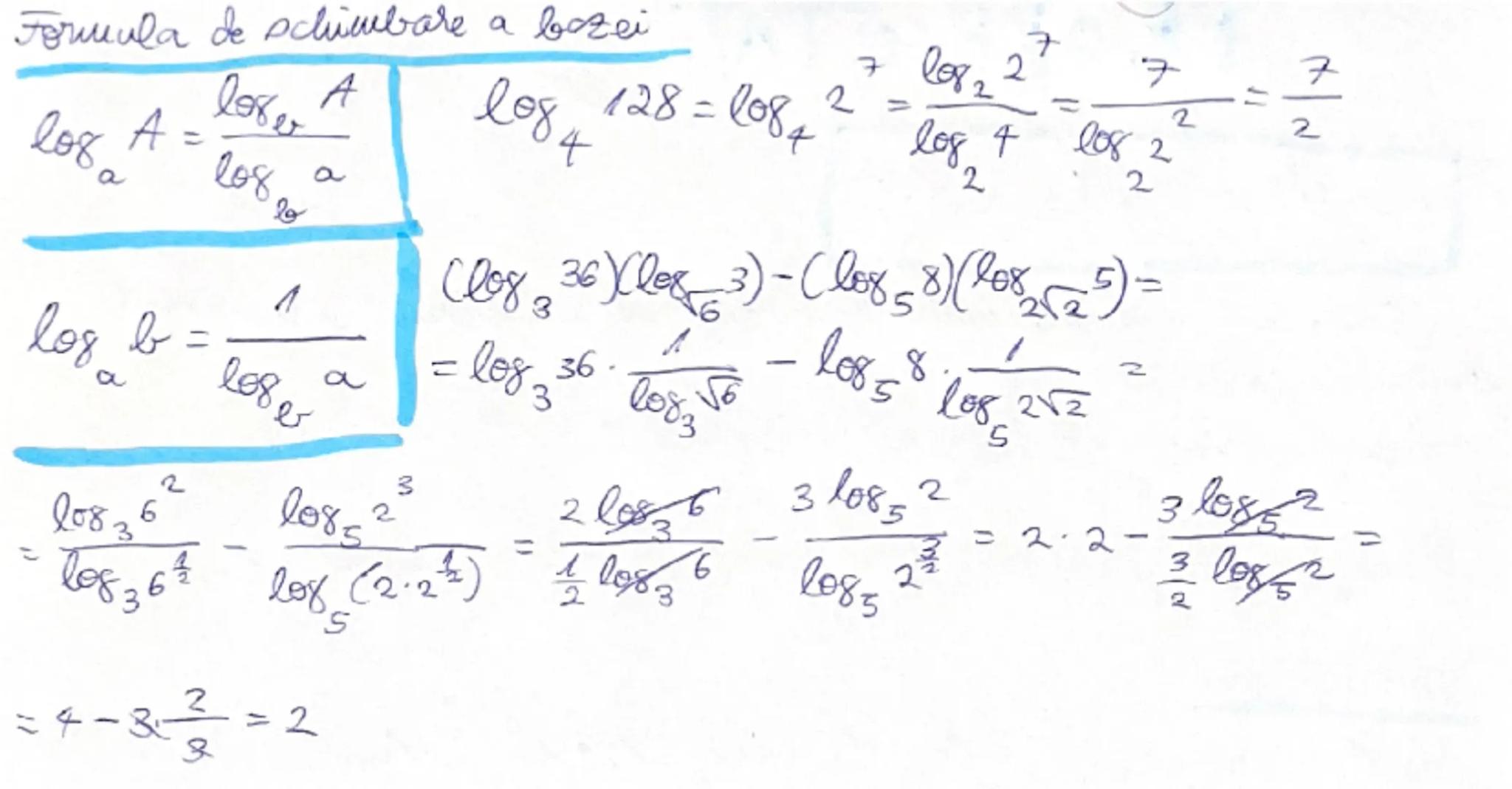
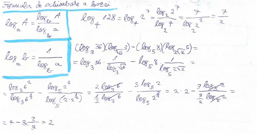
Formula de schimbare a bazei permite calculul logaritmului în orice bază folosind logaritmi în alte baze: log_a A = /, unde c este orice bază convenabilă.
O formulă utilă derivată din aceasta este: log_a b = 1/. Acest lucru îți permite să inversezi bazele logaritmilor când e necesar pentru simplificare.
Aceste formule te ajută să rezolvi probleme complexe. De exemplu, log_4 128 poate fi calculat ca / = 7/2 = 3,5, folosind proprietățile logaritmilor și schimbarea de bază.
🧩 Strategia câștigătoare: Când te confrunți cu baze diferite în aceeași problemă, alege o singură bază convenabilă și transformă toți logaritmii folosind formula de schimbare a bazei!
Pentru calcule mai elaborate, poți combina schimbarea de bază cu celelalte proprietăți. Aceasta îți permite să transformi expresii complexe precum - în calcule directe.
Companionul nostru AI este creat special pentru nevoile studenților. Bazându-ne pe milioanele de materiale de pe platformă, putem oferi răspunsuri exacte și relevante pentru studenți. Dar nu este vorba doar despre răspunsuri, companionul este mai ales despre ghidarea studenților prin provocările zilnice de învățare, cu planuri de studiu personalizate, chestionare sau conținuturi în chat și personalizare 100% bazată pe abilitățile și evoluțiile studenților.
Aplicația este disponibilă în Google Play Store și Apple App Store.
Da! Bucură-te de access la materiale de studiu, conectează-te cu alți elevi, și primește ajutor instant - toate acestea la un click distanță. În plus, câștigă puncte ca să deblochezi mai multe funcționalități!
7
Instrumente inteligente NOU
Transformă această notiță în: ✓ 50+ întrebări de exersare ✓ Flashcard-uri interactive ✓ Examen de practică complet ✓ Planuri de eseu
App Store
Google Play
Aplicația este foarte ușor de utilizat și bine concepută. Am găsit tot ce căutam până acum și am reușit să învăț multe din prezentări! Cu siguranță voi folosi aplicația pentru o temă la clasă! Și desigur, ajută mult ca sursă de inspirație.
Ștefan S
utilizator iOS
Această aplicație este super. Sunt atât de multe materiale de studiu și ajutor pentru elevi [...]. Materia mea mai problematică este franceza, de exemplu, și aplicația oferă foarte multe materiale ajutătoare. Mulțumită acestei aplicații, mi-am îmbunătățit franceza. Aș recomanda-o oricui.
Samantha Klich
utilizator Android
Wow, sunt cu adevărat impresionat. Am încercat aplicația pentru că am văzut-o promovată de multe ori și am rămas uimit. Aceasta este AJUTORUL de care ai nevoie pentru școală și, mai presus de toate, oferă atât de multe lucruri, precum exerciții și fișe de informații, care mi-au fost FOARTE de ajutor.
Anna
utilizator iOS
Te ajută să înveți foarte repede și ști foarte bine ce ai dori tu să înveți, vă recomand cu drag să încercați și să învățați mai repede.!
Thomas R
utilizator iOS
Foarte bună aplicația!!!! Mă ajută să înțeleg mult mai bine lecțiile și temele le termin mult mai repede.👍❤️
Paul P
utilizator Android
Te ajută foarte bine la teme acest robot,recomand!
David K
utilizator iOS
Aplicația e grozavă! Tot ce trebuie să fac este să introduc subiectul în bara de căutare și primesc răspunsul foarte rapid. Nu mai trebuie să mă uit la 10 videoclipuri pe YouTube pentru a înțelege ceva, deci îmi economisesc timpul. Super recomandat!
Sudenaz Ocak
utilizator Android
La școală eram chiar slab la matematică, dar datorită aplicației, mă descurc mai bine acum. Sunt atât de recunoscător că ai creat aplicația.
Greenlight Bonnie
utilizator Android
Această aplicație e super interesantă și seamănă ca tiktok-ul doar că tu ai doar teorie și explicații.
Karla S
utilizator Android
Nu mai trebuie să stau cu orele să învăț după caiet când pot să citesc de 2 ori lecțiile care apar aici și iau 10 la test ! Knowunity m-a ajutat să iau nota 9,20 la română ! Voi recomanda ff tare aceasta aplicate , să nu uităm ca are și chat GPT !👍🏻
Denisa B
utilizator iOS
CHESTIONARELE ȘI FLASHCARD-URILE SUNT ATÂT DE UTILE ȘI IUBESC Knowunity AI. E LITERALMENTE CA CHATGPT DOAR CĂ MAI DEȘTEPT!! M-A AJUTAT ȘI CU PROBLEMELE MELE CU MASCARA!! PLUS CU MATERIILE MELE ADEVĂRATE! EVIDENT 😍😁😲🤑💗✨🎀😮
Sarah L
utilizator Android
Este foarte bună te ajută la teme te face să înțelegi lecțiile am înțeles o lecție în 20 de minute i singură nu reușeam să o învăț dar cu Knowunity am învățat-o foarte ușor
Alessia V
utilizator iOS
Aplicația este foarte ușor de utilizat și bine concepută. Am găsit tot ce căutam până acum și am reușit să învăț multe din prezentări! Cu siguranță voi folosi aplicația pentru o temă la clasă! Și desigur, ajută mult ca sursă de inspirație.
Ștefan S
utilizator iOS
Această aplicație este super. Sunt atât de multe materiale de studiu și ajutor pentru elevi [...]. Materia mea mai problematică este franceza, de exemplu, și aplicația oferă foarte multe materiale ajutătoare. Mulțumită acestei aplicații, mi-am îmbunătățit franceza. Aș recomanda-o oricui.
Samantha Klich
utilizator Android
Wow, sunt cu adevărat impresionat. Am încercat aplicația pentru că am văzut-o promovată de multe ori și am rămas uimit. Aceasta este AJUTORUL de care ai nevoie pentru școală și, mai presus de toate, oferă atât de multe lucruri, precum exerciții și fișe de informații, care mi-au fost FOARTE de ajutor.
Anna
utilizator iOS
Te ajută să înveți foarte repede și ști foarte bine ce ai dori tu să înveți, vă recomand cu drag să încercați și să învățați mai repede.!
Thomas R
utilizator iOS
Foarte bună aplicația!!!! Mă ajută să înțeleg mult mai bine lecțiile și temele le termin mult mai repede.👍❤️
Paul P
utilizator Android
Te ajută foarte bine la teme acest robot,recomand!
David K
utilizator iOS
Aplicația e grozavă! Tot ce trebuie să fac este să introduc subiectul în bara de căutare și primesc răspunsul foarte rapid. Nu mai trebuie să mă uit la 10 videoclipuri pe YouTube pentru a înțelege ceva, deci îmi economisesc timpul. Super recomandat!
Sudenaz Ocak
utilizator Android
La școală eram chiar slab la matematică, dar datorită aplicației, mă descurc mai bine acum. Sunt atât de recunoscător că ai creat aplicația.
Greenlight Bonnie
utilizator Android
Această aplicație e super interesantă și seamănă ca tiktok-ul doar că tu ai doar teorie și explicații.
Karla S
utilizator Android
Nu mai trebuie să stau cu orele să învăț după caiet când pot să citesc de 2 ori lecțiile care apar aici și iau 10 la test ! Knowunity m-a ajutat să iau nota 9,20 la română ! Voi recomanda ff tare aceasta aplicate , să nu uităm ca are și chat GPT !👍🏻
Denisa B
utilizator iOS
CHESTIONARELE ȘI FLASHCARD-URILE SUNT ATÂT DE UTILE ȘI IUBESC Knowunity AI. E LITERALMENTE CA CHATGPT DOAR CĂ MAI DEȘTEPT!! M-A AJUTAT ȘI CU PROBLEMELE MELE CU MASCARA!! PLUS CU MATERIILE MELE ADEVĂRATE! EVIDENT 😍😁😲🤑💗✨🎀😮
Sarah L
utilizator Android
Este foarte bună te ajută la teme te face să înțelegi lecțiile am înțeles o lecție în 20 de minute i singură nu reușeam să o învăț dar cu Knowunity am învățat-o foarte ușor
Alessia V
utilizator iOS