Teoremele lui Kirchhoff reprezintă două legi fundamentale pentru analiza circuitelor... Afișează mai mult
Înscrie-te pentru a vedea CONȚINUTULE gratuit!
Acces la toate documentele
Îmbunătățește notele tale!
Alătură-te milioanelor de elevi
Knowunity AI
Mai mult
Materii
Triangle Congruence and Similarity Theorems
Triangle Properties and Classification
Linear Equations and Graphs
Geometric Angle Relationships
Trigonometric Functions and Identities
Equation Solving Techniques
Circle Geometry Fundamentals
Division Operations and Methods
Basic Differentiation Rules
Exponent and Logarithm Properties
Afișează toate materiile
Human Organ Systems
Reproductive Cell Cycles
Biological Sciences Subdisciplines
Cellular Energy Metabolism
Autotrophic Energy Processes
Inheritance Patterns and Principles
Biomolecular Structure and Organization
Cell Cycle and Division Mechanics
Cellular Organization and Development
Biological Structural Organization
Afișează toate materiile
Chemical Sciences and Applications
Atomic Structure and Composition
Molecular Electron Structure Representation
Atomic Electron Behavior
Matter Properties and Water
Mole Concept and Calculations
Gas Laws and Behavior
Periodic Table Organization
Chemical Thermodynamics Fundamentals
Chemical Bond Types and Properties
Afișează toate materiile
European Renaissance and Enlightenment
European Cultural Movements 800-1920
American Revolution Era 1763-1797
American Civil War 1861-1865
Global Imperial Systems
Mongol and Chinese Dynasties
U.S. Presidents and World Leaders
Historical Sources and Documentation
World Wars Era and Impact
World Religious Systems
Afișează toate materiile
Classic and Contemporary Novels
Literary Character Analysis
Rhetorical Theory and Practice
Classic Literary Narratives
Reading Analysis and Interpretation
Narrative Structure and Techniques
English Language Components
Influential English-Language Authors
Basic Sentence Structure
Narrative Voice and Perspective
Afișează toate materiile
370
•
Actualizat Mar 29, 2026
•
Bianca
@biancaaaaaaaaa
Teoremele lui Kirchhoff reprezintă două legi fundamentale pentru analiza circuitelor... Afișează mai mult








Înainte de a studia teoremele, trebuie să înțelegem elementele unui circuit electric. Un circuit electric conține noduri (puncte unde se întâlnesc cel puțin trei conductoare), laturi (porțiuni neramificate între două noduri) și ochiuri (succesiuni de laturi care formează o linie închisă).
În funcție de prezența surselor electrice, laturile pot fi active (conțin surse electrice) sau pasive (nu conțin surse). De exemplu, în circuitul din imagine, A, B, C și D sunt noduri, AB și BC sunt laturi, iar ABDF și BCED sunt exemple de ochiuri.
Prima teoremă a lui Kirchhoff (Legea I) se exprimă matematic prin formula: . În cuvinte simple, suma algebrică a intensităților curenților care se întâlnesc într-un nod este zero, considerând pozitive intensitățile care ies din nod și negative cele care intră.
💡 Gândește-te la un nod ca la o intersecție rutieră: câte mașini intră, atâtea trebuie să iasă. Similar, curentul electric nu se poate "acumula" într-un nod!

Prima lege a lui Kirchhoff se poate enunța și astfel: suma intensităților ce intră într-un nod este egală cu suma intensităților ce ies din nod. Matematic, putem scrie: sau, alternativ, .
Pentru o rețea cu N noduri, prima teoremă a lui Kirchhoff ne oferă ecuații independente. De exemplu, pentru circuitul cu două noduri (A și B) din imagine, scriem:
Observi că ecuațiile sunt identice, deci este suficient să scriem legea pentru un singur nod. Acest lucru se aplică pentru orice circuit electric: dintr-un circuit cu N noduri, putem obține maxim ecuații independente folosind prima teoremă.
A doua teoremă a lui Kirchhoff se referă la ochiurile de rețea și stabilește relațiile dintre tensiunile din acestea. Pentru aplicarea acestei teoreme, alegem un sens arbitrar de parcurgere a ochiului, indicat printr-o săgeată curbată.
🔍 Când aplici teoremele lui Kirchhoff, alege mereu un sistem clar de semne pentru curenți și tensiuni și menține-l consecvent pe tot parcursul rezolvării problemei!

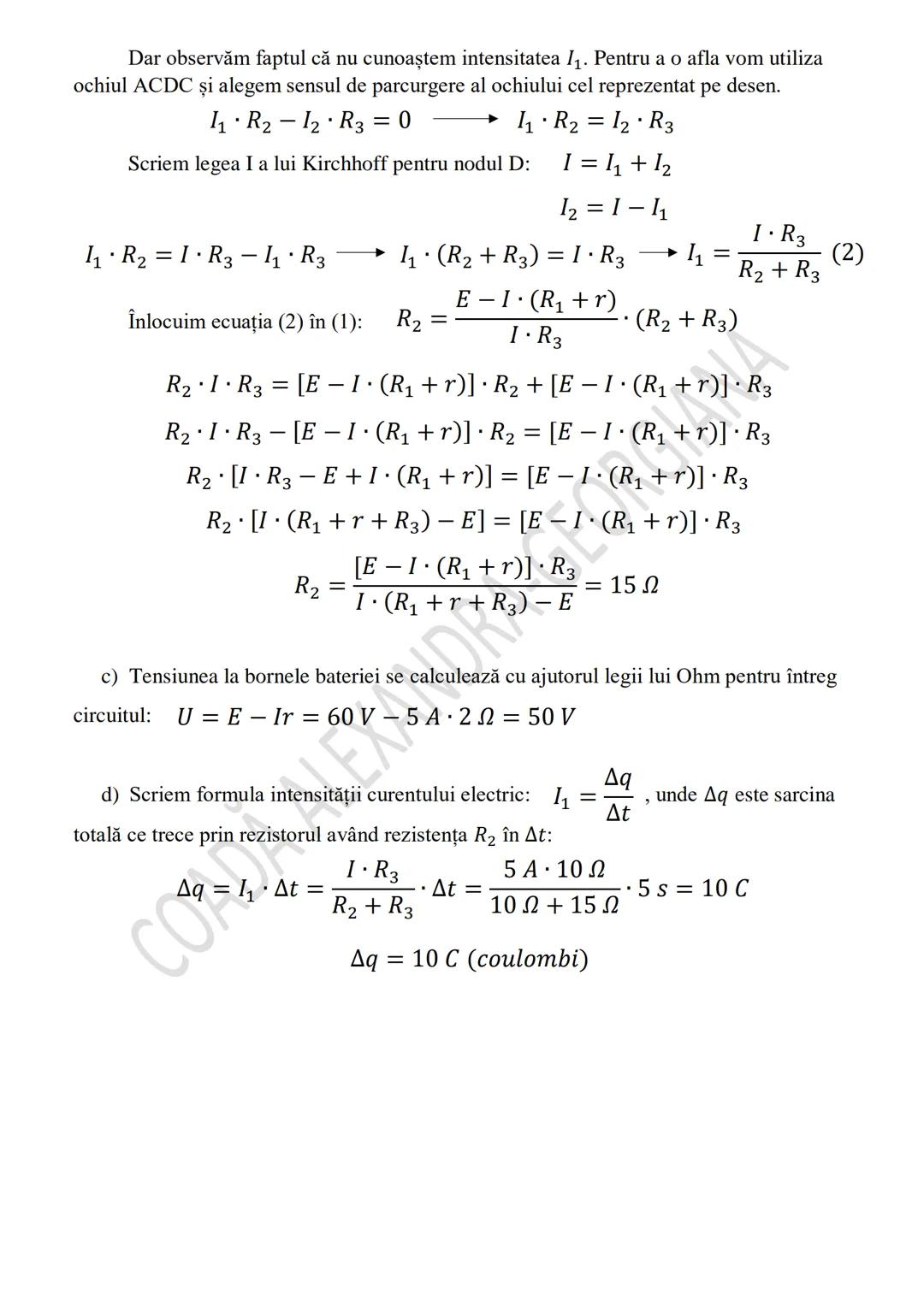
Teoremele lui Kirchhoff sunt esențiale pentru rezolvarea problemelor complexe. Iată un exemplu practic:
Pentru calculul unei rezistențe necunoscute $R_1$, putem folosi relația dintre intensități și rezistențe:
Când avem un circuit cu 2 noduri (A și B), aplicăm Legea I a lui Kirchhoff pentru unul dintre noduri: Nodul A:
Pentru calculul tensiunii electromotoare, aplicăm Legea a II-a a lui Kirchhoff pentru un ochi complet, alegând un sens convenabil de parcurgere:
Într-o altă problemă, când cunoaștem tensiunea pe o rezistență $U_1 = 20 V$, putem determina valoarea acesteia folosind legea lui Ohm:
🔑 Combină întotdeauna Legea I și Legea a II-a a lui Kirchhoff pentru a rezolva complet un circuit. Prima lege îți dă relații între intensități, iar a doua îți dă relații între tensiuni!

Pentru a-ți perfecționa abilitățile în aplicarea teoremelor lui Kirchhoff, poți consulta diverse resurse. Manualele de fizică pentru clasa a X-a, precum cele scrise de Cleopatra și Nicolae Gherbanovschi (Editura Niculescu ABC) sau de Seryl Talpalaru și colegii (Editura Corint), oferă explicații detaliate și exemple variate.
Pentru exersare, poți folosi culegerea de probleme propuse și rezolvate pentru clasa a X-a și bacalaureat, scrisă de Mihaela Chiriță (Editura Tamar). Această culegere conține numeroase probleme de diferite grade de dificultate, ce te vor ajuta să-ți formezi deprinderea de a aplica corect teoremele lui Kirchhoff.
Rezolvarea constantă a problemelor este cea mai bună metodă pentru a stăpâni aceste teoreme. Începe cu circuite simple și avansează treptat spre cele mai complexe.
💪 Nu te descuraja dacă întâmpini dificultăți la început! Cu cât rezolvi mai multe probleme, cu atât vei deveni mai abil în identificarea nodurilor și ochiurilor și în scrierea corectă a ecuațiilor.



Companionul nostru AI este creat special pentru nevoile studenților. Bazându-ne pe milioanele de materiale de pe platformă, putem oferi răspunsuri exacte și relevante pentru studenți. Dar nu este vorba doar despre răspunsuri, companionul este mai ales despre ghidarea studenților prin provocările zilnice de învățare, cu planuri de studiu personalizate, chestionare sau conținuturi în chat și personalizare 100% bazată pe abilitățile și evoluțiile studenților.
Aplicația este disponibilă în Google Play Store și Apple App Store.
Da! Bucură-te de access la materiale de studiu, conectează-te cu alți elevi, și primește ajutor instant - toate acestea la un click distanță. În plus, câștigă puncte ca să deblochezi mai multe funcționalități!
App Store
Google Play
Aplicația este foarte ușor de utilizat și bine concepută. Am găsit tot ce căutam până acum și am reușit să învăț multe din prezentări! Cu siguranță voi folosi aplicația pentru o temă la clasă! Și desigur, ajută mult ca sursă de inspirație.
Ștefan S
utilizator iOS
Această aplicație este super. Sunt atât de multe materiale de studiu și ajutor pentru elevi [...]. Materia mea mai problematică este franceza, de exemplu, și aplicația oferă foarte multe materiale ajutătoare. Mulțumită acestei aplicații, mi-am îmbunătățit franceza. Aș recomanda-o oricui.
Samantha Klich
utilizator Android
Wow, sunt cu adevărat impresionat. Am încercat aplicația pentru că am văzut-o promovată de multe ori și am rămas uimit. Aceasta este AJUTORUL de care ai nevoie pentru școală și, mai presus de toate, oferă atât de multe lucruri, precum exerciții și fișe de informații, care mi-au fost FOARTE de ajutor.
Anna
utilizator iOS
Te ajută să înveți foarte repede și ști foarte bine ce ai dori tu să înveți, vă recomand cu drag să încercați și să învățați mai repede.!
Thomas R
utilizator iOS
Foarte bună aplicația!!!! Mă ajută să înțeleg mult mai bine lecțiile și temele le termin mult mai repede.👍❤️
Paul P
utilizator Android
Te ajută foarte bine la teme acest robot,recomand!
David K
utilizator iOS
Aplicația e grozavă! Tot ce trebuie să fac este să introduc subiectul în bara de căutare și primesc răspunsul foarte rapid. Nu mai trebuie să mă uit la 10 videoclipuri pe YouTube pentru a înțelege ceva, deci îmi economisesc timpul. Super recomandat!
Sudenaz Ocak
utilizator Android
La școală eram chiar slab la matematică, dar datorită aplicației, mă descurc mai bine acum. Sunt atât de recunoscător că ai creat aplicația.
Greenlight Bonnie
utilizator Android
Această aplicație e super interesantă și seamănă ca tiktok-ul doar că tu ai doar teorie și explicații.
Karla S
utilizator Android
Nu mai trebuie să stau cu orele să învăț după caiet când pot să citesc de 2 ori lecțiile care apar aici și iau 10 la test ! Knowunity m-a ajutat să iau nota 9,20 la română ! Voi recomanda ff tare aceasta aplicate , să nu uităm ca are și chat GPT !👍🏻
Denisa B
utilizator iOS
CHESTIONARELE ȘI FLASHCARD-URILE SUNT ATÂT DE UTILE ȘI IUBESC Knowunity AI. E LITERALMENTE CA CHATGPT DOAR CĂ MAI DEȘTEPT!! M-A AJUTAT ȘI CU PROBLEMELE MELE CU MASCARA!! PLUS CU MATERIILE MELE ADEVĂRATE! EVIDENT 😍😁😲🤑💗✨🎀😮
Sarah L
utilizator Android
Este foarte bună te ajută la teme te face să înțelegi lecțiile am înțeles o lecție în 20 de minute i singură nu reușeam să o învăț dar cu Knowunity am învățat-o foarte ușor
Alessia V
utilizator iOS
Aplicația este foarte ușor de utilizat și bine concepută. Am găsit tot ce căutam până acum și am reușit să învăț multe din prezentări! Cu siguranță voi folosi aplicația pentru o temă la clasă! Și desigur, ajută mult ca sursă de inspirație.
Ștefan S
utilizator iOS
Această aplicație este super. Sunt atât de multe materiale de studiu și ajutor pentru elevi [...]. Materia mea mai problematică este franceza, de exemplu, și aplicația oferă foarte multe materiale ajutătoare. Mulțumită acestei aplicații, mi-am îmbunătățit franceza. Aș recomanda-o oricui.
Samantha Klich
utilizator Android
Wow, sunt cu adevărat impresionat. Am încercat aplicația pentru că am văzut-o promovată de multe ori și am rămas uimit. Aceasta este AJUTORUL de care ai nevoie pentru școală și, mai presus de toate, oferă atât de multe lucruri, precum exerciții și fișe de informații, care mi-au fost FOARTE de ajutor.
Anna
utilizator iOS
Te ajută să înveți foarte repede și ști foarte bine ce ai dori tu să înveți, vă recomand cu drag să încercați și să învățați mai repede.!
Thomas R
utilizator iOS
Foarte bună aplicația!!!! Mă ajută să înțeleg mult mai bine lecțiile și temele le termin mult mai repede.👍❤️
Paul P
utilizator Android
Te ajută foarte bine la teme acest robot,recomand!
David K
utilizator iOS
Aplicația e grozavă! Tot ce trebuie să fac este să introduc subiectul în bara de căutare și primesc răspunsul foarte rapid. Nu mai trebuie să mă uit la 10 videoclipuri pe YouTube pentru a înțelege ceva, deci îmi economisesc timpul. Super recomandat!
Sudenaz Ocak
utilizator Android
La școală eram chiar slab la matematică, dar datorită aplicației, mă descurc mai bine acum. Sunt atât de recunoscător că ai creat aplicația.
Greenlight Bonnie
utilizator Android
Această aplicație e super interesantă și seamănă ca tiktok-ul doar că tu ai doar teorie și explicații.
Karla S
utilizator Android
Nu mai trebuie să stau cu orele să învăț după caiet când pot să citesc de 2 ori lecțiile care apar aici și iau 10 la test ! Knowunity m-a ajutat să iau nota 9,20 la română ! Voi recomanda ff tare aceasta aplicate , să nu uităm ca are și chat GPT !👍🏻
Denisa B
utilizator iOS
CHESTIONARELE ȘI FLASHCARD-URILE SUNT ATÂT DE UTILE ȘI IUBESC Knowunity AI. E LITERALMENTE CA CHATGPT DOAR CĂ MAI DEȘTEPT!! M-A AJUTAT ȘI CU PROBLEMELE MELE CU MASCARA!! PLUS CU MATERIILE MELE ADEVĂRATE! EVIDENT 😍😁😲🤑💗✨🎀😮
Sarah L
utilizator Android
Este foarte bună te ajută la teme te face să înțelegi lecțiile am înțeles o lecție în 20 de minute i singură nu reușeam să o învăț dar cu Knowunity am învățat-o foarte ușor
Alessia V
utilizator iOS
Bianca
@biancaaaaaaaaa
Teoremele lui Kirchhoff reprezintă două legi fundamentale pentru analiza circuitelor electrice. Aceste teoreme te ajută să determini intensitățile curenților și tensiunile din orice circuit electric, indiferent de complexitatea sa. Înțelegerea lor este esențială pentru rezolvarea problemelor de electrocinetică.

Acces la toate documentele
Îmbunătățește notele tale!
Alătură-te milioanelor de elevi
Înainte de a studia teoremele, trebuie să înțelegem elementele unui circuit electric. Un circuit electric conține noduri (puncte unde se întâlnesc cel puțin trei conductoare), laturi (porțiuni neramificate între două noduri) și ochiuri (succesiuni de laturi care formează o linie închisă).
În funcție de prezența surselor electrice, laturile pot fi active (conțin surse electrice) sau pasive (nu conțin surse). De exemplu, în circuitul din imagine, A, B, C și D sunt noduri, AB și BC sunt laturi, iar ABDF și BCED sunt exemple de ochiuri.
Prima teoremă a lui Kirchhoff (Legea I) se exprimă matematic prin formula: . În cuvinte simple, suma algebrică a intensităților curenților care se întâlnesc într-un nod este zero, considerând pozitive intensitățile care ies din nod și negative cele care intră.
💡 Gândește-te la un nod ca la o intersecție rutieră: câte mașini intră, atâtea trebuie să iasă. Similar, curentul electric nu se poate "acumula" într-un nod!

Acces la toate documentele
Îmbunătățește notele tale!
Alătură-te milioanelor de elevi
Prima lege a lui Kirchhoff se poate enunța și astfel: suma intensităților ce intră într-un nod este egală cu suma intensităților ce ies din nod. Matematic, putem scrie: sau, alternativ, .
Pentru o rețea cu N noduri, prima teoremă a lui Kirchhoff ne oferă ecuații independente. De exemplu, pentru circuitul cu două noduri (A și B) din imagine, scriem:
Observi că ecuațiile sunt identice, deci este suficient să scriem legea pentru un singur nod. Acest lucru se aplică pentru orice circuit electric: dintr-un circuit cu N noduri, putem obține maxim ecuații independente folosind prima teoremă.
A doua teoremă a lui Kirchhoff se referă la ochiurile de rețea și stabilește relațiile dintre tensiunile din acestea. Pentru aplicarea acestei teoreme, alegem un sens arbitrar de parcurgere a ochiului, indicat printr-o săgeată curbată.
🔍 Când aplici teoremele lui Kirchhoff, alege mereu un sistem clar de semne pentru curenți și tensiuni și menține-l consecvent pe tot parcursul rezolvării problemei!

Acces la toate documentele
Îmbunătățește notele tale!
Alătură-te milioanelor de elevi
Teoremele lui Kirchhoff sunt esențiale pentru rezolvarea problemelor complexe. Iată un exemplu practic:
Pentru calculul unei rezistențe necunoscute $R_1$, putem folosi relația dintre intensități și rezistențe:
Când avem un circuit cu 2 noduri (A și B), aplicăm Legea I a lui Kirchhoff pentru unul dintre noduri: Nodul A:
Pentru calculul tensiunii electromotoare, aplicăm Legea a II-a a lui Kirchhoff pentru un ochi complet, alegând un sens convenabil de parcurgere:
Într-o altă problemă, când cunoaștem tensiunea pe o rezistență $U_1 = 20 V$, putem determina valoarea acesteia folosind legea lui Ohm:
🔑 Combină întotdeauna Legea I și Legea a II-a a lui Kirchhoff pentru a rezolva complet un circuit. Prima lege îți dă relații între intensități, iar a doua îți dă relații între tensiuni!

Acces la toate documentele
Îmbunătățește notele tale!
Alătură-te milioanelor de elevi
Pentru a-ți perfecționa abilitățile în aplicarea teoremelor lui Kirchhoff, poți consulta diverse resurse. Manualele de fizică pentru clasa a X-a, precum cele scrise de Cleopatra și Nicolae Gherbanovschi (Editura Niculescu ABC) sau de Seryl Talpalaru și colegii (Editura Corint), oferă explicații detaliate și exemple variate.
Pentru exersare, poți folosi culegerea de probleme propuse și rezolvate pentru clasa a X-a și bacalaureat, scrisă de Mihaela Chiriță (Editura Tamar). Această culegere conține numeroase probleme de diferite grade de dificultate, ce te vor ajuta să-ți formezi deprinderea de a aplica corect teoremele lui Kirchhoff.
Rezolvarea constantă a problemelor este cea mai bună metodă pentru a stăpâni aceste teoreme. Începe cu circuite simple și avansează treptat spre cele mai complexe.
💪 Nu te descuraja dacă întâmpini dificultăți la început! Cu cât rezolvi mai multe probleme, cu atât vei deveni mai abil în identificarea nodurilor și ochiurilor și în scrierea corectă a ecuațiilor.

Acces la toate documentele
Îmbunătățește notele tale!
Alătură-te milioanelor de elevi

Acces la toate documentele
Îmbunătățește notele tale!
Alătură-te milioanelor de elevi

Acces la toate documentele
Îmbunătățește notele tale!
Alătură-te milioanelor de elevi
Companionul nostru AI este creat special pentru nevoile studenților. Bazându-ne pe milioanele de materiale de pe platformă, putem oferi răspunsuri exacte și relevante pentru studenți. Dar nu este vorba doar despre răspunsuri, companionul este mai ales despre ghidarea studenților prin provocările zilnice de învățare, cu planuri de studiu personalizate, chestionare sau conținuturi în chat și personalizare 100% bazată pe abilitățile și evoluțiile studenților.
Aplicația este disponibilă în Google Play Store și Apple App Store.
Da! Bucură-te de access la materiale de studiu, conectează-te cu alți elevi, și primește ajutor instant - toate acestea la un click distanță. În plus, câștigă puncte ca să deblochezi mai multe funcționalități!
4
Instrumente inteligente NOU
Transformă această notiță în: ✓ 50+ întrebări de exersare ✓ Flashcard-uri interactive ✓ Examen de practică complet ✓ Planuri de eseu
App Store
Google Play
Aplicația este foarte ușor de utilizat și bine concepută. Am găsit tot ce căutam până acum și am reușit să învăț multe din prezentări! Cu siguranță voi folosi aplicația pentru o temă la clasă! Și desigur, ajută mult ca sursă de inspirație.
Ștefan S
utilizator iOS
Această aplicație este super. Sunt atât de multe materiale de studiu și ajutor pentru elevi [...]. Materia mea mai problematică este franceza, de exemplu, și aplicația oferă foarte multe materiale ajutătoare. Mulțumită acestei aplicații, mi-am îmbunătățit franceza. Aș recomanda-o oricui.
Samantha Klich
utilizator Android
Wow, sunt cu adevărat impresionat. Am încercat aplicația pentru că am văzut-o promovată de multe ori și am rămas uimit. Aceasta este AJUTORUL de care ai nevoie pentru școală și, mai presus de toate, oferă atât de multe lucruri, precum exerciții și fișe de informații, care mi-au fost FOARTE de ajutor.
Anna
utilizator iOS
Te ajută să înveți foarte repede și ști foarte bine ce ai dori tu să înveți, vă recomand cu drag să încercați și să învățați mai repede.!
Thomas R
utilizator iOS
Foarte bună aplicația!!!! Mă ajută să înțeleg mult mai bine lecțiile și temele le termin mult mai repede.👍❤️
Paul P
utilizator Android
Te ajută foarte bine la teme acest robot,recomand!
David K
utilizator iOS
Aplicația e grozavă! Tot ce trebuie să fac este să introduc subiectul în bara de căutare și primesc răspunsul foarte rapid. Nu mai trebuie să mă uit la 10 videoclipuri pe YouTube pentru a înțelege ceva, deci îmi economisesc timpul. Super recomandat!
Sudenaz Ocak
utilizator Android
La școală eram chiar slab la matematică, dar datorită aplicației, mă descurc mai bine acum. Sunt atât de recunoscător că ai creat aplicația.
Greenlight Bonnie
utilizator Android
Această aplicație e super interesantă și seamănă ca tiktok-ul doar că tu ai doar teorie și explicații.
Karla S
utilizator Android
Nu mai trebuie să stau cu orele să învăț după caiet când pot să citesc de 2 ori lecțiile care apar aici și iau 10 la test ! Knowunity m-a ajutat să iau nota 9,20 la română ! Voi recomanda ff tare aceasta aplicate , să nu uităm ca are și chat GPT !👍🏻
Denisa B
utilizator iOS
CHESTIONARELE ȘI FLASHCARD-URILE SUNT ATÂT DE UTILE ȘI IUBESC Knowunity AI. E LITERALMENTE CA CHATGPT DOAR CĂ MAI DEȘTEPT!! M-A AJUTAT ȘI CU PROBLEMELE MELE CU MASCARA!! PLUS CU MATERIILE MELE ADEVĂRATE! EVIDENT 😍😁😲🤑💗✨🎀😮
Sarah L
utilizator Android
Este foarte bună te ajută la teme te face să înțelegi lecțiile am înțeles o lecție în 20 de minute i singură nu reușeam să o învăț dar cu Knowunity am învățat-o foarte ușor
Alessia V
utilizator iOS
Aplicația este foarte ușor de utilizat și bine concepută. Am găsit tot ce căutam până acum și am reușit să învăț multe din prezentări! Cu siguranță voi folosi aplicația pentru o temă la clasă! Și desigur, ajută mult ca sursă de inspirație.
Ștefan S
utilizator iOS
Această aplicație este super. Sunt atât de multe materiale de studiu și ajutor pentru elevi [...]. Materia mea mai problematică este franceza, de exemplu, și aplicația oferă foarte multe materiale ajutătoare. Mulțumită acestei aplicații, mi-am îmbunătățit franceza. Aș recomanda-o oricui.
Samantha Klich
utilizator Android
Wow, sunt cu adevărat impresionat. Am încercat aplicația pentru că am văzut-o promovată de multe ori și am rămas uimit. Aceasta este AJUTORUL de care ai nevoie pentru școală și, mai presus de toate, oferă atât de multe lucruri, precum exerciții și fișe de informații, care mi-au fost FOARTE de ajutor.
Anna
utilizator iOS
Te ajută să înveți foarte repede și ști foarte bine ce ai dori tu să înveți, vă recomand cu drag să încercați și să învățați mai repede.!
Thomas R
utilizator iOS
Foarte bună aplicația!!!! Mă ajută să înțeleg mult mai bine lecțiile și temele le termin mult mai repede.👍❤️
Paul P
utilizator Android
Te ajută foarte bine la teme acest robot,recomand!
David K
utilizator iOS
Aplicația e grozavă! Tot ce trebuie să fac este să introduc subiectul în bara de căutare și primesc răspunsul foarte rapid. Nu mai trebuie să mă uit la 10 videoclipuri pe YouTube pentru a înțelege ceva, deci îmi economisesc timpul. Super recomandat!
Sudenaz Ocak
utilizator Android
La școală eram chiar slab la matematică, dar datorită aplicației, mă descurc mai bine acum. Sunt atât de recunoscător că ai creat aplicația.
Greenlight Bonnie
utilizator Android
Această aplicație e super interesantă și seamănă ca tiktok-ul doar că tu ai doar teorie și explicații.
Karla S
utilizator Android
Nu mai trebuie să stau cu orele să învăț după caiet când pot să citesc de 2 ori lecțiile care apar aici și iau 10 la test ! Knowunity m-a ajutat să iau nota 9,20 la română ! Voi recomanda ff tare aceasta aplicate , să nu uităm ca are și chat GPT !👍🏻
Denisa B
utilizator iOS
CHESTIONARELE ȘI FLASHCARD-URILE SUNT ATÂT DE UTILE ȘI IUBESC Knowunity AI. E LITERALMENTE CA CHATGPT DOAR CĂ MAI DEȘTEPT!! M-A AJUTAT ȘI CU PROBLEMELE MELE CU MASCARA!! PLUS CU MATERIILE MELE ADEVĂRATE! EVIDENT 😍😁😲🤑💗✨🎀😮
Sarah L
utilizator Android
Este foarte bună te ajută la teme te face să înțelegi lecțiile am înțeles o lecție în 20 de minute i singură nu reușeam să o învăț dar cu Knowunity am învățat-o foarte ușor
Alessia V
utilizator iOS