Rezumatul se concentrează pe modele de subiecte de bacalaureat la... Afișează mai mult
Înscrie-te pentru a vedea CONȚINUTULE gratuit!
Acces la toate documentele
Îmbunătățește notele tale!
Alătură-te milioanelor de elevi
Knowunity AI
Mai mult
Materii
Triangle Congruence and Similarity Theorems
Triangle Properties and Classification
Linear Equations and Graphs
Geometric Angle Relationships
Trigonometric Functions and Identities
Equation Solving Techniques
Circle Geometry Fundamentals
Division Operations and Methods
Basic Differentiation Rules
Exponent and Logarithm Properties
Afișează toate materiile
Human Organ Systems
Reproductive Cell Cycles
Biological Sciences Subdisciplines
Cellular Energy Metabolism
Autotrophic Energy Processes
Inheritance Patterns and Principles
Biomolecular Structure and Organization
Cell Cycle and Division Mechanics
Cellular Organization and Development
Biological Structural Organization
Afișează toate materiile
Chemical Sciences and Applications
Atomic Structure and Composition
Molecular Electron Structure Representation
Atomic Electron Behavior
Matter Properties and Water
Mole Concept and Calculations
Gas Laws and Behavior
Periodic Table Organization
Chemical Thermodynamics Fundamentals
Chemical Bond Types and Properties
Afișează toate materiile
European Renaissance and Enlightenment
European Cultural Movements 800-1920
American Revolution Era 1763-1797
American Civil War 1861-1865
Global Imperial Systems
Mongol and Chinese Dynasties
U.S. Presidents and World Leaders
Historical Sources and Documentation
World Wars Era and Impact
World Religious Systems
Afișează toate materiile
Classic and Contemporary Novels
Literary Character Analysis
Rhetorical Theory and Practice
Classic Literary Narratives
Reading Analysis and Interpretation
Narrative Structure and Techniques
English Language Components
Influential English-Language Authors
Basic Sentence Structure
Narrative Voice and Perspective
Afișează toate materiile
1,267
•
Actualizat Apr 4, 2026
•
Stefan
@stefan_tm07x
Rezumatul se concentrează pe modele de subiecte de bacalaureat la... Afișează mai mult





















































































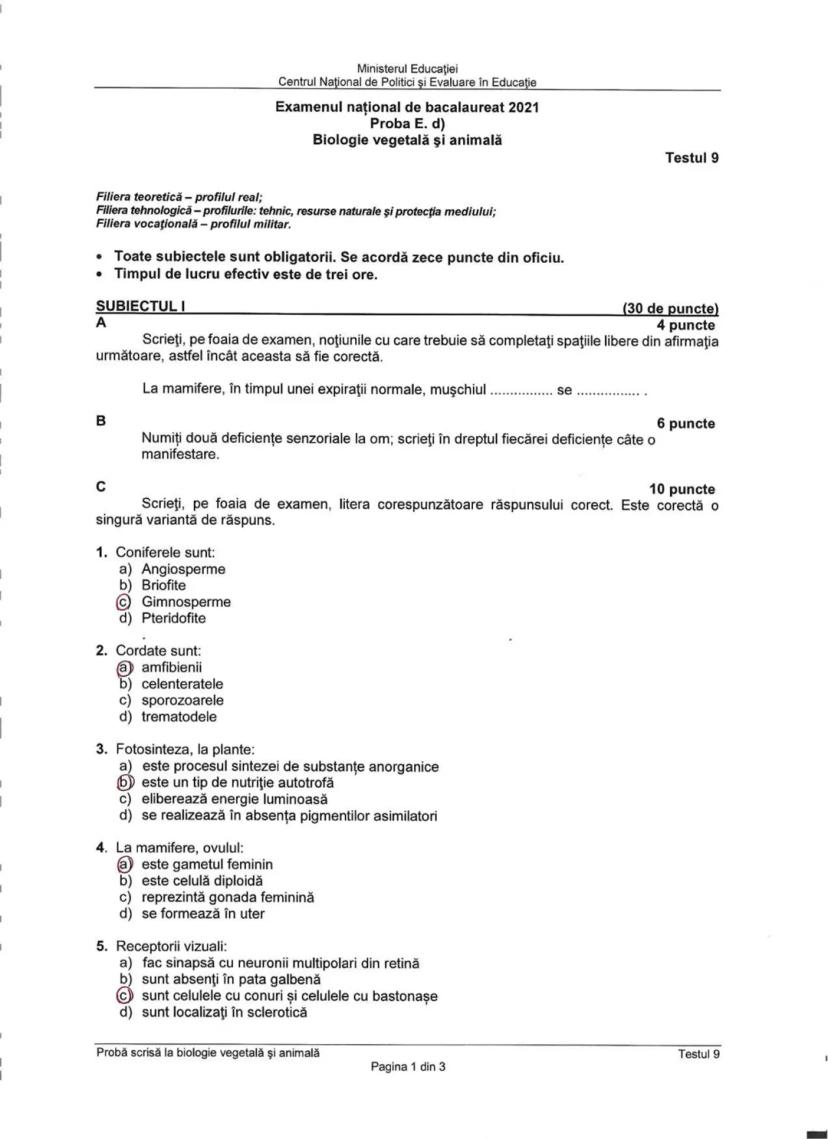
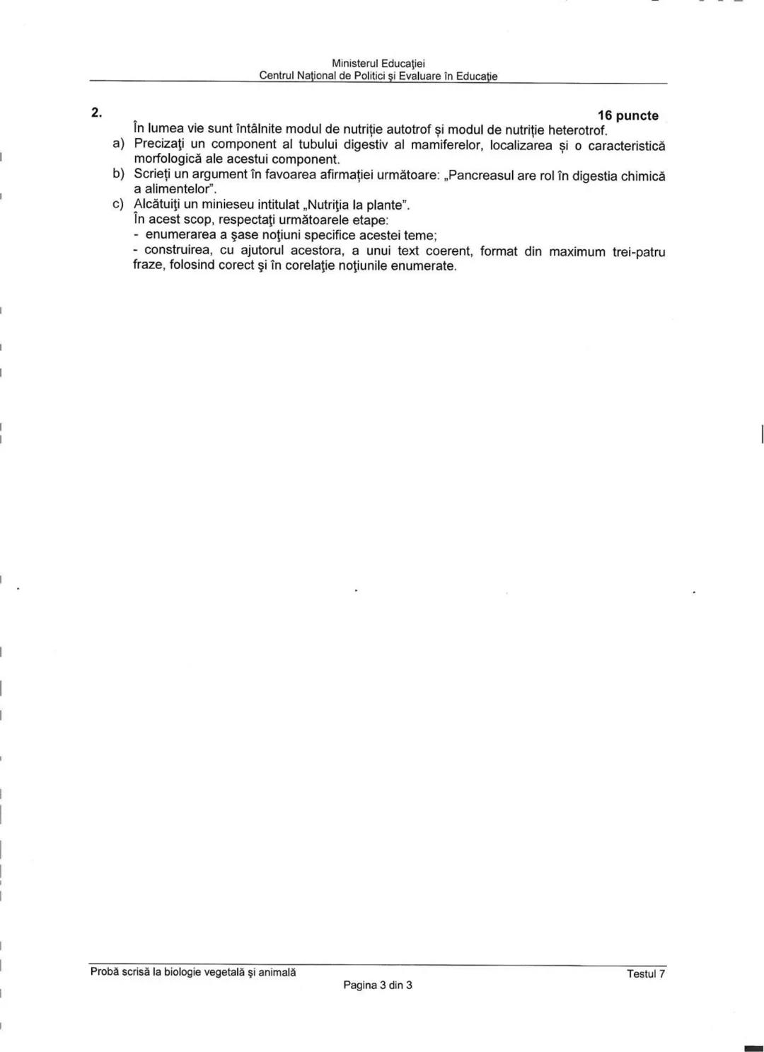
Examenul de bacalaureat la biologie este structurat în trei subiecte principale, fiecare cu cerințe specifice. Subiectul I cuprinde exerciții cu completare de spații libere, denumiri de concepte biologice, și întrebări cu răspuns multiplu.
La proba de biologie, ai la dispoziție trei ore pentru rezolvare, iar punctajul maxim este de 100 de puncte, din care 10 puncte sunt acordate din oficiu. Asta înseamnă că trebuie să obții minim 90 de puncte pentru nota maximă.
Printre informațiile importante din Subiectul I se numără cunoștințe despre sistemul reproducător masculin, ale cărui glande anexe sunt veziculele seminale și prostata. De asemenea, deficiențe senzoriale precum miopia (cauzată de axul ocular mai lung) și astigmatismul (cauzată de curbura neuniformă a cristalinului) sunt subiecte frecvente.
Sfat util: Pentru Subiectul I, partea C (întrebări cu răspuns multiplu), analizează cu atenție fiecare variantă și elimină răspunsurile evident greșite înainte de a face alegerea finală.

Pentru Subiectul I, răspunsurile corecte sunt structurate clar și direct. La partea A, sistemul reproducător masculin are ca glande anexe: două vezicule seminale și prostata.
La partea B, deficiențele senzoriale menționate sunt:
Pentru partea C, răspunsurile corecte sunt: 1-d (sporozoarele fac parte din grupul protistelor), 2-c (anurele sunt cordate), 3-d (stomacul participă la digestia lipidelor), 4-c (emisferele cerebrale sunt unite prin punți de substanță albă), 5-a (rinichii au zona corticală sub capsula fibroasă).
La partea D, afirmațiile adevărate/false sunt corect identificate, cu mențiunea că urechea internă conține receptori vestibulari (adevărat), însă seva brută nu circulă prin vase limfatice, ci prin vase lemnoase la plante (fals).
Reține: Identificarea corectă a afirmațiilor false și modificarea lor pentru a deveni adevărate reprezintă o parte importantă din strategia de rezolvare a subiectului I.

Mișcările plantelor se clasifică în trei categorii principale:
Adaptările animalelor la mediu sunt esențiale pentru supraviețuire. De exemplu, cârtița prezintă adaptări la viața subterană: membre anterioare groase și puternice, cu gheare, transformate în lopeti pentru săpat galerii.
Pielea la mamifere are o structură complexă formată din trei straturi: epidermul (la exterior, format din țesut epitelial pavimentos keratinizat), dermul și hipodermul.
Măduva spinării îndeplinește două funcții importante: funcția de centru nervos (prin substanța cenușie) și funcția de conducere (realizată prin substanța albă).
Atenție: Fotosinteza poate fi evidențiată prin multiple procedee experimentale, inclusiv evidențierea producerii de O₂, consumul de CO₂, sau identificarea substanțelor organice sintetizate.

Respirația anaerobă se desfășoară în medii lipsite de O₂ și constă în oxidarea parțială a substanțelor organice până la compuși intermediari. În acest proces se formează substanțe organice, CO₂ și energie în cantități mai mici comparativ cu respirația aerobă.
Acest tip de respirație este întâlnit la anumite tipuri de bacterii, ciuperci și temporar la plantele superioare în condiții de inundare a terenului, când oxigenul devine limitat.
La microorganisme, respirația anaerobă se numește fermentație și se clasifică în trei tipuri principale:
Aplicație practică: Fermentațiile sunt procese valorificate în industria alimentară pentru obținerea produselor de panificație, a băuturilor alcoolice și a produselor lactate acide.

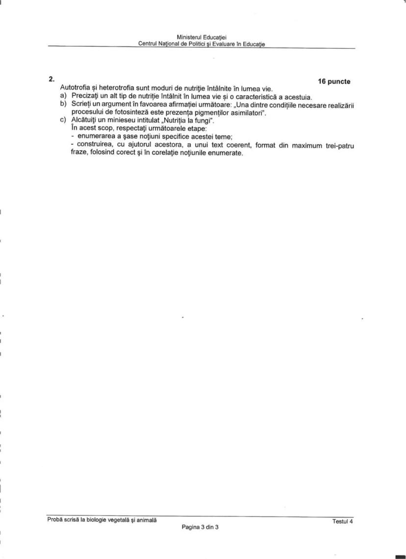
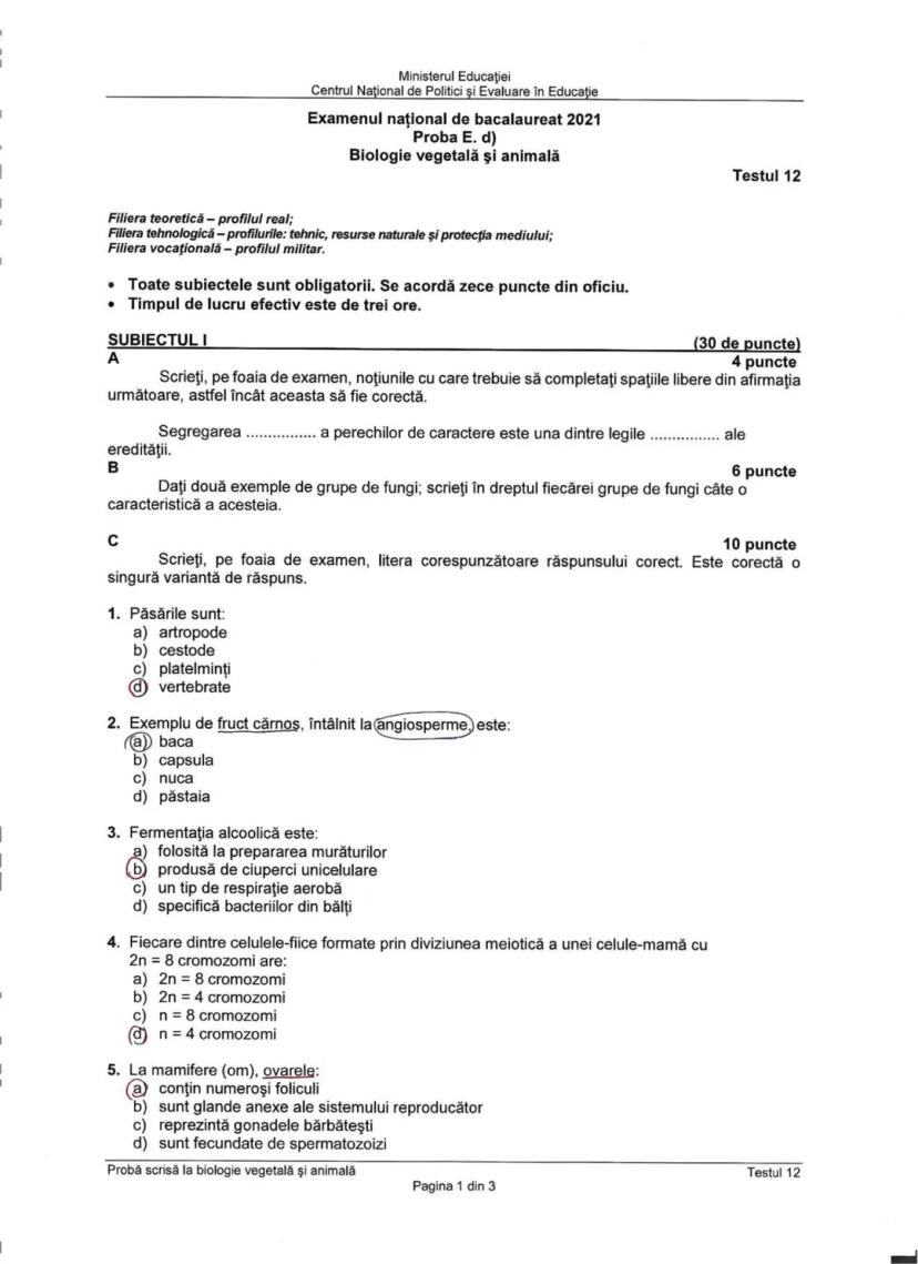
Testul 2 de bacalaureat la biologie urmează aceeași structură cu trei subiecte principale. La Subiectul I, partea A cere completarea noțiunilor referitoare la mugurii gustativi de la mamifere, care conțin celule senzoriale și celule de susținere.
Partea B solicită exemple de fructe întâlnite la angiosperme. Partea C include întrebări cu alegere multiplă despre artropode, celulele cu con din retină, ovare la mamifere, respirația aerobă și structura rinichiului.
La mamifere, celulele cu con sunt sensibile la culorile roșu, verde și albastru, fiind esențiale pentru vederea colorată. Respirația aerobă necesită prezența oxigenului atmosferic și este procesul principal de obținere a energiei în celulă.
Rinichiul mamiferelor este un organ cu rol important în formarea urinei, fiind localizat în cavitatea abdominală. Cunoașterea structurii și funcțiilor sistemelor de organe reprezintă o parte esențială din pregătirea pentru examenul de bacalaureat.
Important: Structura subiectului rămâne constantă între diferitele variante de teste, ceea ce permite o pregătire sistematică și eficientă pentru examen.

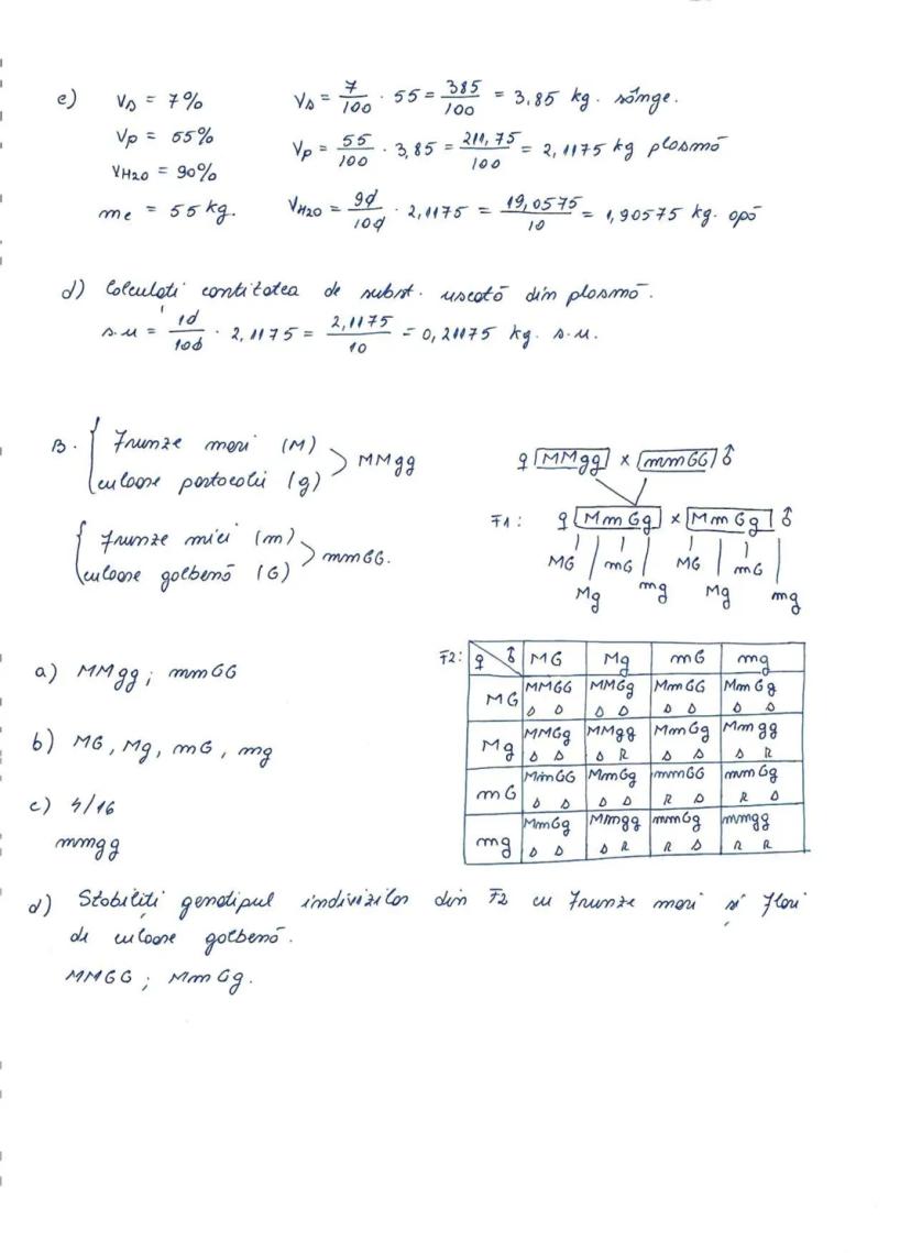
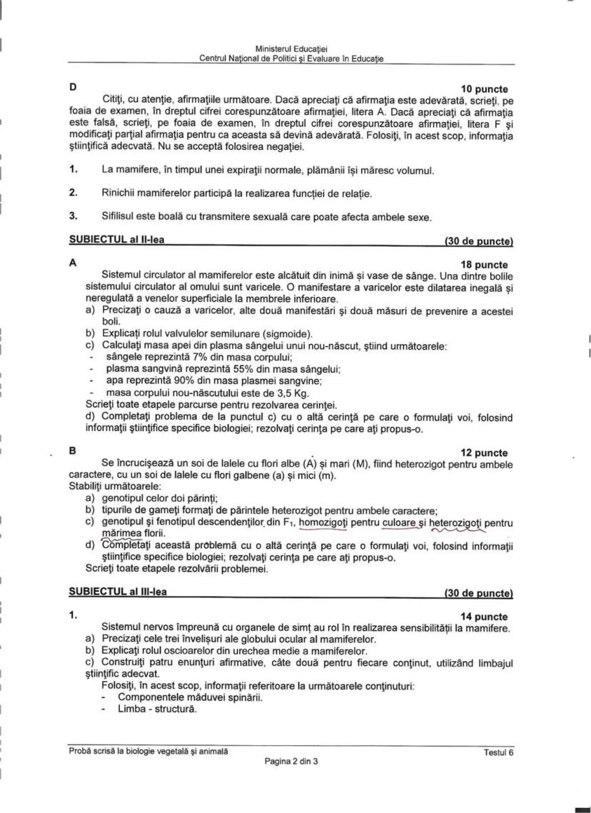
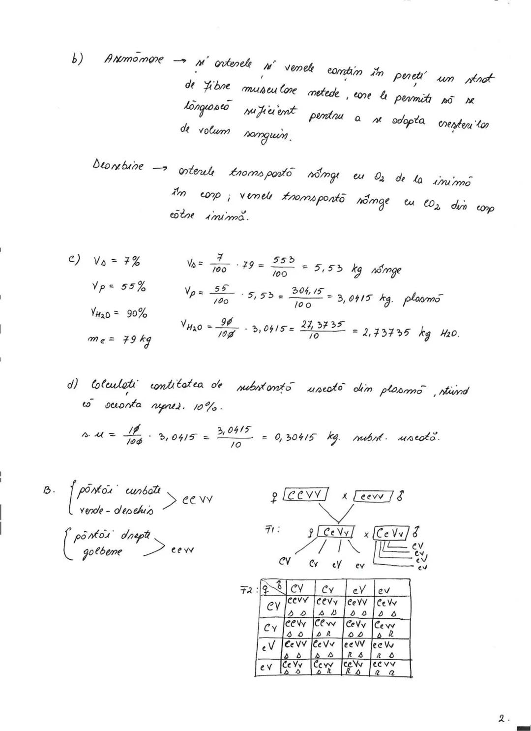
La Subiectul al II-lea, partea A se concentrează pe sistemul circulator al mamiferelor. Inima este localizată în cavitatea toracică, între cei doi plămâni, și este formată din patru camere: două atrii și două ventricule. Atriile sunt separate printr-un sept interatrial, iar ventriculele printr-un sept interventricular.
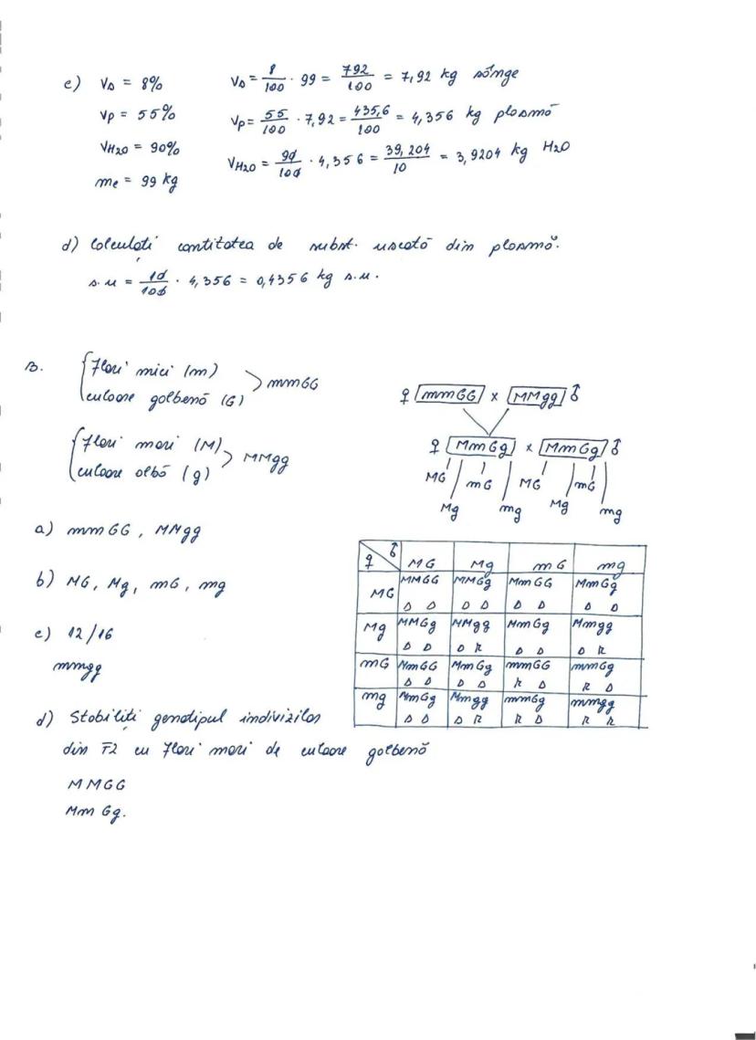
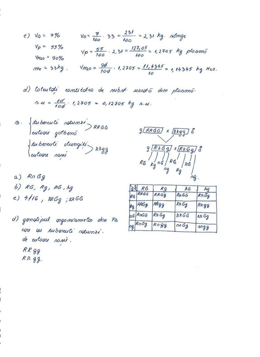
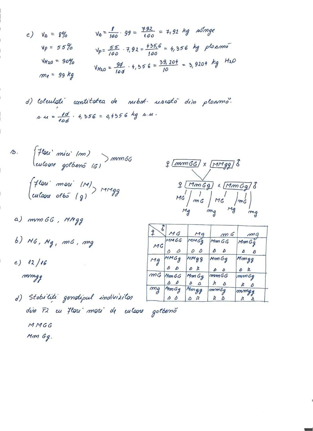
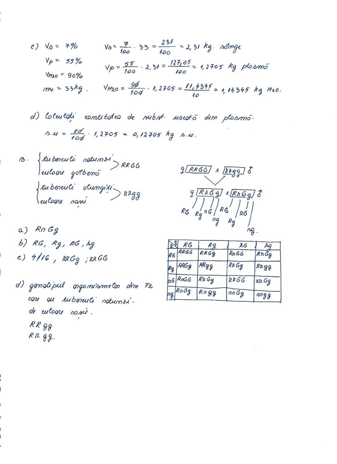
Partea B abordează probleme de genetică mendeliană, unde se încrucișează două soiuri de fasole: unul cu păstăi curbate, de culoare verde-deschis (genotip CCVV) și altul cu păstăi drepte, de culoare galbenă (genotip ccvv). În prima generație F1 se obțin organisme hibride cu genotipul CcVv.
Gamețiii formați de organismele din F1 sunt: CV, Cv, cV, cv. În generația F2 se obțin 16 combinații de factori ereditari, dintre care 4 sunt dublu homozigote.
Organismele din F2 cu păstăi drepte și de culoare verde-deschis au genotipurile: ccVV și ccVv.
Sfat pentru rezolvare: În problemele de genetică, realizează întotdeauna o diagramă Punnett pentru a vizualiza toate combinațiile posibile de gameți și genotipurile rezultate.

La Subiectul al III-lea, partea 1, se studiază componentele sistemului nervos central al mamiferelor: măduva spinării și encefalul.
Cerebelul este alcătuit din două emisfere cerebeloase unite prin vermis. Este format din substanță cenușie care formează la exterior scoarța cerebeloasă și la interior nuclei cerebeloși, precum și substanță albă. Rolurile cerebelului includ:
Un argument în favoarea afirmației că "reflexele care au centrii în trunchiul cerebral sunt reflexe necondiţionate" este că reflexele necondiţionate se închid la niveluri inferioare ale nevraxului (trunchi cerebral, diencefal, măduva spinării), pe când cele condiționate se închid doar la nivel cortical.
Reflexele somatice medulare sunt de două tipuri: monosinaptice și polisinaptice. Cele monosinaptice sunt formate din doi neuroni (unul senzitiv și unul motor), iar cele polisinaptice conțin cel puțin trei neuroni.
Concepte cheie: Distincția între reflexele condiționate și necondiționate este esențială pentru înțelegerea funcționării sistemului nervos.

Epilepsia poate fi provocată de o predispoziție ereditară, infecții, tumori sau traumatisme craniene. Această afecțiune se manifestă prin pierderea cunoștinței, convulsii și înțepenirea corpului.
În problemele de genetică, încrucișarea între hibrizi din F1 (CcVv) duce la formarea a 16 combinații în F2. Dintre acestea, 4 sunt dublu homozigote (CCVV, CCvv, ccVV, ccvv) și 4 sunt dublu heterozigote (CcVv).
Genotipul organismelor din F2 care au păstăi drepte și de culoare verde-deschis este fie ccVV (homozigot pentru culoarea verde), fie ccVv (heterozigot pentru culoare, dar homozigot pentru forma dreaptă).
Pentru rezolvarea corectă a problemelor de genetică, este esențial să:
Recomandare: La problemele de genetică, organizează informațiile în tabele pentru a vizualiza mai ușor toate combinațiile posibile de gameți și genotipurile rezultate.

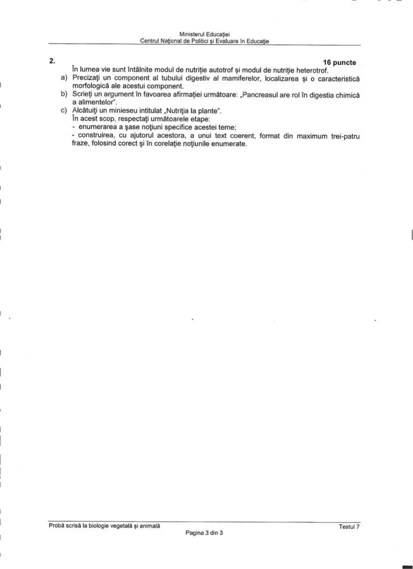
Sistemul digestiv include glandele anexe care produc enzime esențiale pentru digestie:
Saliva conține amilază salivară, care descompune amidonul preparat (copt sau fiert) în maltoză, începând astfel procesul de digestie încă din cavitatea bucală.
Fotosinteza reprezintă unul dintre cele mai importante procese din natură, având multiple roluri esențiale:
Aplicație practică: Înțelegerea fotosintezei este esențială pentru agricultură, silvicultură și combaterea schimbărilor climatice, deoarece plantele absorb CO₂ din atmosferă.

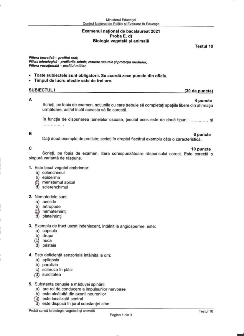
Testul 3 urmează aceeași structură ca testele anterioare. La Subiectul I, partea A, se solicită completarea spațiilor libere referitoare la respirația la plante, care poate fi evidențiată după consumul de oxigen și de substanțe organice.
Partea B se referă la grupele de celenterate și caracteristicile acestora. Partea C include întrebări cu alegere multiplă despre:
În timpul unei expirații normale la mamifere, mușchiul diafragm se relaxează, iar mușchii intercostali externi rotesc coastele. Înțelegerea mecanismului respirator este esențială pentru a explica schimbul de gaze la nivel pulmonar.
Recapitulare: Organitele celulare specializate în producerea de energie sunt mitocondriile, fiind numite și "centralele energetice ale celulei".










































































Companionul nostru AI este creat special pentru nevoile studenților. Bazându-ne pe milioanele de materiale de pe platformă, putem oferi răspunsuri exacte și relevante pentru studenți. Dar nu este vorba doar despre răspunsuri, companionul este mai ales despre ghidarea studenților prin provocările zilnice de învățare, cu planuri de studiu personalizate, chestionare sau conținuturi în chat și personalizare 100% bazată pe abilitățile și evoluțiile studenților.
Aplicația este disponibilă în Google Play Store și Apple App Store.
Da! Bucură-te de access la materiale de studiu, conectează-te cu alți elevi, și primește ajutor instant - toate acestea la un click distanță. În plus, câștigă puncte ca să deblochezi mai multe funcționalități!
App Store
Google Play
Aplicația este foarte ușor de utilizat și bine concepută. Am găsit tot ce căutam până acum și am reușit să învăț multe din prezentări! Cu siguranță voi folosi aplicația pentru o temă la clasă! Și desigur, ajută mult ca sursă de inspirație.
Ștefan S
utilizator iOS
Această aplicație este super. Sunt atât de multe materiale de studiu și ajutor pentru elevi [...]. Materia mea mai problematică este franceza, de exemplu, și aplicația oferă foarte multe materiale ajutătoare. Mulțumită acestei aplicații, mi-am îmbunătățit franceza. Aș recomanda-o oricui.
Samantha Klich
utilizator Android
Wow, sunt cu adevărat impresionat. Am încercat aplicația pentru că am văzut-o promovată de multe ori și am rămas uimit. Aceasta este AJUTORUL de care ai nevoie pentru școală și, mai presus de toate, oferă atât de multe lucruri, precum exerciții și fișe de informații, care mi-au fost FOARTE de ajutor.
Anna
utilizator iOS
Te ajută să înveți foarte repede și ști foarte bine ce ai dori tu să înveți, vă recomand cu drag să încercați și să învățați mai repede.!
Thomas R
utilizator iOS
Foarte bună aplicația!!!! Mă ajută să înțeleg mult mai bine lecțiile și temele le termin mult mai repede.👍❤️
Paul P
utilizator Android
Te ajută foarte bine la teme acest robot,recomand!
David K
utilizator iOS
Aplicația e grozavă! Tot ce trebuie să fac este să introduc subiectul în bara de căutare și primesc răspunsul foarte rapid. Nu mai trebuie să mă uit la 10 videoclipuri pe YouTube pentru a înțelege ceva, deci îmi economisesc timpul. Super recomandat!
Sudenaz Ocak
utilizator Android
La școală eram chiar slab la matematică, dar datorită aplicației, mă descurc mai bine acum. Sunt atât de recunoscător că ai creat aplicația.
Greenlight Bonnie
utilizator Android
Această aplicație e super interesantă și seamănă ca tiktok-ul doar că tu ai doar teorie și explicații.
Karla S
utilizator Android
Nu mai trebuie să stau cu orele să învăț după caiet când pot să citesc de 2 ori lecțiile care apar aici și iau 10 la test ! Knowunity m-a ajutat să iau nota 9,20 la română ! Voi recomanda ff tare aceasta aplicate , să nu uităm ca are și chat GPT !👍🏻
Denisa B
utilizator iOS
CHESTIONARELE ȘI FLASHCARD-URILE SUNT ATÂT DE UTILE ȘI IUBESC Knowunity AI. E LITERALMENTE CA CHATGPT DOAR CĂ MAI DEȘTEPT!! M-A AJUTAT ȘI CU PROBLEMELE MELE CU MASCARA!! PLUS CU MATERIILE MELE ADEVĂRATE! EVIDENT 😍😁😲🤑💗✨🎀😮
Sarah L
utilizator Android
Este foarte bună te ajută la teme te face să înțelegi lecțiile am înțeles o lecție în 20 de minute i singură nu reușeam să o învăț dar cu Knowunity am învățat-o foarte ușor
Alessia V
utilizator iOS
Aplicația este foarte ușor de utilizat și bine concepută. Am găsit tot ce căutam până acum și am reușit să învăț multe din prezentări! Cu siguranță voi folosi aplicația pentru o temă la clasă! Și desigur, ajută mult ca sursă de inspirație.
Ștefan S
utilizator iOS
Această aplicație este super. Sunt atât de multe materiale de studiu și ajutor pentru elevi [...]. Materia mea mai problematică este franceza, de exemplu, și aplicația oferă foarte multe materiale ajutătoare. Mulțumită acestei aplicații, mi-am îmbunătățit franceza. Aș recomanda-o oricui.
Samantha Klich
utilizator Android
Wow, sunt cu adevărat impresionat. Am încercat aplicația pentru că am văzut-o promovată de multe ori și am rămas uimit. Aceasta este AJUTORUL de care ai nevoie pentru școală și, mai presus de toate, oferă atât de multe lucruri, precum exerciții și fișe de informații, care mi-au fost FOARTE de ajutor.
Anna
utilizator iOS
Te ajută să înveți foarte repede și ști foarte bine ce ai dori tu să înveți, vă recomand cu drag să încercați și să învățați mai repede.!
Thomas R
utilizator iOS
Foarte bună aplicația!!!! Mă ajută să înțeleg mult mai bine lecțiile și temele le termin mult mai repede.👍❤️
Paul P
utilizator Android
Te ajută foarte bine la teme acest robot,recomand!
David K
utilizator iOS
Aplicația e grozavă! Tot ce trebuie să fac este să introduc subiectul în bara de căutare și primesc răspunsul foarte rapid. Nu mai trebuie să mă uit la 10 videoclipuri pe YouTube pentru a înțelege ceva, deci îmi economisesc timpul. Super recomandat!
Sudenaz Ocak
utilizator Android
La școală eram chiar slab la matematică, dar datorită aplicației, mă descurc mai bine acum. Sunt atât de recunoscător că ai creat aplicația.
Greenlight Bonnie
utilizator Android
Această aplicație e super interesantă și seamănă ca tiktok-ul doar că tu ai doar teorie și explicații.
Karla S
utilizator Android
Nu mai trebuie să stau cu orele să învăț după caiet când pot să citesc de 2 ori lecțiile care apar aici și iau 10 la test ! Knowunity m-a ajutat să iau nota 9,20 la română ! Voi recomanda ff tare aceasta aplicate , să nu uităm ca are și chat GPT !👍🏻
Denisa B
utilizator iOS
CHESTIONARELE ȘI FLASHCARD-URILE SUNT ATÂT DE UTILE ȘI IUBESC Knowunity AI. E LITERALMENTE CA CHATGPT DOAR CĂ MAI DEȘTEPT!! M-A AJUTAT ȘI CU PROBLEMELE MELE CU MASCARA!! PLUS CU MATERIILE MELE ADEVĂRATE! EVIDENT 😍😁😲🤑💗✨🎀😮
Sarah L
utilizator Android
Este foarte bună te ajută la teme te face să înțelegi lecțiile am înțeles o lecție în 20 de minute i singură nu reușeam să o învăț dar cu Knowunity am învățat-o foarte ușor
Alessia V
utilizator iOS
Stefan
@stefan_tm07x
Rezumatul se concentrează pe modele de subiecte de bacalaureat la biologie vegetală și animală, oferind un ghid concis al răspunsurilor corecte pentru elevii de clasa a XII-a. Materialul acoperă mai multe teste și evidențiază tipurile de subiecte și răspunsurile aferente... Afișează mai mult

Acces la toate documentele
Îmbunătățește notele tale!
Alătură-te milioanelor de elevi
Examenul de bacalaureat la biologie este structurat în trei subiecte principale, fiecare cu cerințe specifice. Subiectul I cuprinde exerciții cu completare de spații libere, denumiri de concepte biologice, și întrebări cu răspuns multiplu.
La proba de biologie, ai la dispoziție trei ore pentru rezolvare, iar punctajul maxim este de 100 de puncte, din care 10 puncte sunt acordate din oficiu. Asta înseamnă că trebuie să obții minim 90 de puncte pentru nota maximă.
Printre informațiile importante din Subiectul I se numără cunoștințe despre sistemul reproducător masculin, ale cărui glande anexe sunt veziculele seminale și prostata. De asemenea, deficiențe senzoriale precum miopia (cauzată de axul ocular mai lung) și astigmatismul (cauzată de curbura neuniformă a cristalinului) sunt subiecte frecvente.
Sfat util: Pentru Subiectul I, partea C (întrebări cu răspuns multiplu), analizează cu atenție fiecare variantă și elimină răspunsurile evident greșite înainte de a face alegerea finală.

Acces la toate documentele
Îmbunătățește notele tale!
Alătură-te milioanelor de elevi
Pentru Subiectul I, răspunsurile corecte sunt structurate clar și direct. La partea A, sistemul reproducător masculin are ca glande anexe: două vezicule seminale și prostata.
La partea B, deficiențele senzoriale menționate sunt:
Pentru partea C, răspunsurile corecte sunt: 1-d (sporozoarele fac parte din grupul protistelor), 2-c (anurele sunt cordate), 3-d (stomacul participă la digestia lipidelor), 4-c (emisferele cerebrale sunt unite prin punți de substanță albă), 5-a (rinichii au zona corticală sub capsula fibroasă).
La partea D, afirmațiile adevărate/false sunt corect identificate, cu mențiunea că urechea internă conține receptori vestibulari (adevărat), însă seva brută nu circulă prin vase limfatice, ci prin vase lemnoase la plante (fals).
Reține: Identificarea corectă a afirmațiilor false și modificarea lor pentru a deveni adevărate reprezintă o parte importantă din strategia de rezolvare a subiectului I.

Acces la toate documentele
Îmbunătățește notele tale!
Alătură-te milioanelor de elevi
Mișcările plantelor se clasifică în trei categorii principale:
Adaptările animalelor la mediu sunt esențiale pentru supraviețuire. De exemplu, cârtița prezintă adaptări la viața subterană: membre anterioare groase și puternice, cu gheare, transformate în lopeti pentru săpat galerii.
Pielea la mamifere are o structură complexă formată din trei straturi: epidermul (la exterior, format din țesut epitelial pavimentos keratinizat), dermul și hipodermul.
Măduva spinării îndeplinește două funcții importante: funcția de centru nervos (prin substanța cenușie) și funcția de conducere (realizată prin substanța albă).
Atenție: Fotosinteza poate fi evidențiată prin multiple procedee experimentale, inclusiv evidențierea producerii de O₂, consumul de CO₂, sau identificarea substanțelor organice sintetizate.

Acces la toate documentele
Îmbunătățește notele tale!
Alătură-te milioanelor de elevi
Respirația anaerobă se desfășoară în medii lipsite de O₂ și constă în oxidarea parțială a substanțelor organice până la compuși intermediari. În acest proces se formează substanțe organice, CO₂ și energie în cantități mai mici comparativ cu respirația aerobă.
Acest tip de respirație este întâlnit la anumite tipuri de bacterii, ciuperci și temporar la plantele superioare în condiții de inundare a terenului, când oxigenul devine limitat.
La microorganisme, respirația anaerobă se numește fermentație și se clasifică în trei tipuri principale:
Aplicație practică: Fermentațiile sunt procese valorificate în industria alimentară pentru obținerea produselor de panificație, a băuturilor alcoolice și a produselor lactate acide.

Acces la toate documentele
Îmbunătățește notele tale!
Alătură-te milioanelor de elevi
Testul 2 de bacalaureat la biologie urmează aceeași structură cu trei subiecte principale. La Subiectul I, partea A cere completarea noțiunilor referitoare la mugurii gustativi de la mamifere, care conțin celule senzoriale și celule de susținere.
Partea B solicită exemple de fructe întâlnite la angiosperme. Partea C include întrebări cu alegere multiplă despre artropode, celulele cu con din retină, ovare la mamifere, respirația aerobă și structura rinichiului.
La mamifere, celulele cu con sunt sensibile la culorile roșu, verde și albastru, fiind esențiale pentru vederea colorată. Respirația aerobă necesită prezența oxigenului atmosferic și este procesul principal de obținere a energiei în celulă.
Rinichiul mamiferelor este un organ cu rol important în formarea urinei, fiind localizat în cavitatea abdominală. Cunoașterea structurii și funcțiilor sistemelor de organe reprezintă o parte esențială din pregătirea pentru examenul de bacalaureat.
Important: Structura subiectului rămâne constantă între diferitele variante de teste, ceea ce permite o pregătire sistematică și eficientă pentru examen.

Acces la toate documentele
Îmbunătățește notele tale!
Alătură-te milioanelor de elevi
La Subiectul al II-lea, partea A se concentrează pe sistemul circulator al mamiferelor. Inima este localizată în cavitatea toracică, între cei doi plămâni, și este formată din patru camere: două atrii și două ventricule. Atriile sunt separate printr-un sept interatrial, iar ventriculele printr-un sept interventricular.
Partea B abordează probleme de genetică mendeliană, unde se încrucișează două soiuri de fasole: unul cu păstăi curbate, de culoare verde-deschis (genotip CCVV) și altul cu păstăi drepte, de culoare galbenă (genotip ccvv). În prima generație F1 se obțin organisme hibride cu genotipul CcVv.
Gamețiii formați de organismele din F1 sunt: CV, Cv, cV, cv. În generația F2 se obțin 16 combinații de factori ereditari, dintre care 4 sunt dublu homozigote.
Organismele din F2 cu păstăi drepte și de culoare verde-deschis au genotipurile: ccVV și ccVv.
Sfat pentru rezolvare: În problemele de genetică, realizează întotdeauna o diagramă Punnett pentru a vizualiza toate combinațiile posibile de gameți și genotipurile rezultate.

Acces la toate documentele
Îmbunătățește notele tale!
Alătură-te milioanelor de elevi
La Subiectul al III-lea, partea 1, se studiază componentele sistemului nervos central al mamiferelor: măduva spinării și encefalul.
Cerebelul este alcătuit din două emisfere cerebeloase unite prin vermis. Este format din substanță cenușie care formează la exterior scoarța cerebeloasă și la interior nuclei cerebeloși, precum și substanță albă. Rolurile cerebelului includ:
Un argument în favoarea afirmației că "reflexele care au centrii în trunchiul cerebral sunt reflexe necondiţionate" este că reflexele necondiţionate se închid la niveluri inferioare ale nevraxului (trunchi cerebral, diencefal, măduva spinării), pe când cele condiționate se închid doar la nivel cortical.
Reflexele somatice medulare sunt de două tipuri: monosinaptice și polisinaptice. Cele monosinaptice sunt formate din doi neuroni (unul senzitiv și unul motor), iar cele polisinaptice conțin cel puțin trei neuroni.
Concepte cheie: Distincția între reflexele condiționate și necondiționate este esențială pentru înțelegerea funcționării sistemului nervos.

Acces la toate documentele
Îmbunătățește notele tale!
Alătură-te milioanelor de elevi
Epilepsia poate fi provocată de o predispoziție ereditară, infecții, tumori sau traumatisme craniene. Această afecțiune se manifestă prin pierderea cunoștinței, convulsii și înțepenirea corpului.
În problemele de genetică, încrucișarea între hibrizi din F1 (CcVv) duce la formarea a 16 combinații în F2. Dintre acestea, 4 sunt dublu homozigote (CCVV, CCvv, ccVV, ccvv) și 4 sunt dublu heterozigote (CcVv).
Genotipul organismelor din F2 care au păstăi drepte și de culoare verde-deschis este fie ccVV (homozigot pentru culoarea verde), fie ccVv (heterozigot pentru culoare, dar homozigot pentru forma dreaptă).
Pentru rezolvarea corectă a problemelor de genetică, este esențial să:
Recomandare: La problemele de genetică, organizează informațiile în tabele pentru a vizualiza mai ușor toate combinațiile posibile de gameți și genotipurile rezultate.

Acces la toate documentele
Îmbunătățește notele tale!
Alătură-te milioanelor de elevi
Sistemul digestiv include glandele anexe care produc enzime esențiale pentru digestie:
Saliva conține amilază salivară, care descompune amidonul preparat (copt sau fiert) în maltoză, începând astfel procesul de digestie încă din cavitatea bucală.
Fotosinteza reprezintă unul dintre cele mai importante procese din natură, având multiple roluri esențiale:
Aplicație practică: Înțelegerea fotosintezei este esențială pentru agricultură, silvicultură și combaterea schimbărilor climatice, deoarece plantele absorb CO₂ din atmosferă.

Acces la toate documentele
Îmbunătățește notele tale!
Alătură-te milioanelor de elevi
Testul 3 urmează aceeași structură ca testele anterioare. La Subiectul I, partea A, se solicită completarea spațiilor libere referitoare la respirația la plante, care poate fi evidențiată după consumul de oxigen și de substanțe organice.
Partea B se referă la grupele de celenterate și caracteristicile acestora. Partea C include întrebări cu alegere multiplă despre:
În timpul unei expirații normale la mamifere, mușchiul diafragm se relaxează, iar mușchii intercostali externi rotesc coastele. Înțelegerea mecanismului respirator este esențială pentru a explica schimbul de gaze la nivel pulmonar.
Recapitulare: Organitele celulare specializate în producerea de energie sunt mitocondriile, fiind numite și "centralele energetice ale celulei".

Acces la toate documentele
Îmbunătățește notele tale!
Alătură-te milioanelor de elevi

Acces la toate documentele
Îmbunătățește notele tale!
Alătură-te milioanelor de elevi

Acces la toate documentele
Îmbunătățește notele tale!
Alătură-te milioanelor de elevi

Acces la toate documentele
Îmbunătățește notele tale!
Alătură-te milioanelor de elevi

Acces la toate documentele
Îmbunătățește notele tale!
Alătură-te milioanelor de elevi

Acces la toate documentele
Îmbunătățește notele tale!
Alătură-te milioanelor de elevi

Acces la toate documentele
Îmbunătățește notele tale!
Alătură-te milioanelor de elevi

Acces la toate documentele
Îmbunătățește notele tale!
Alătură-te milioanelor de elevi

Acces la toate documentele
Îmbunătățește notele tale!
Alătură-te milioanelor de elevi

Acces la toate documentele
Îmbunătățește notele tale!
Alătură-te milioanelor de elevi

Acces la toate documentele
Îmbunătățește notele tale!
Alătură-te milioanelor de elevi

Acces la toate documentele
Îmbunătățește notele tale!
Alătură-te milioanelor de elevi

Acces la toate documentele
Îmbunătățește notele tale!
Alătură-te milioanelor de elevi

Acces la toate documentele
Îmbunătățește notele tale!
Alătură-te milioanelor de elevi

Acces la toate documentele
Îmbunătățește notele tale!
Alătură-te milioanelor de elevi

Acces la toate documentele
Îmbunătățește notele tale!
Alătură-te milioanelor de elevi

Acces la toate documentele
Îmbunătățește notele tale!
Alătură-te milioanelor de elevi

Acces la toate documentele
Îmbunătățește notele tale!
Alătură-te milioanelor de elevi

Acces la toate documentele
Îmbunătățește notele tale!
Alătură-te milioanelor de elevi

Acces la toate documentele
Îmbunătățește notele tale!
Alătură-te milioanelor de elevi

Acces la toate documentele
Îmbunătățește notele tale!
Alătură-te milioanelor de elevi

Acces la toate documentele
Îmbunătățește notele tale!
Alătură-te milioanelor de elevi

Acces la toate documentele
Îmbunătățește notele tale!
Alătură-te milioanelor de elevi

Acces la toate documentele
Îmbunătățește notele tale!
Alătură-te milioanelor de elevi

Acces la toate documentele
Îmbunătățește notele tale!
Alătură-te milioanelor de elevi

Acces la toate documentele
Îmbunătățește notele tale!
Alătură-te milioanelor de elevi

Acces la toate documentele
Îmbunătățește notele tale!
Alătură-te milioanelor de elevi

Acces la toate documentele
Îmbunătățește notele tale!
Alătură-te milioanelor de elevi

Acces la toate documentele
Îmbunătățește notele tale!
Alătură-te milioanelor de elevi

Acces la toate documentele
Îmbunătățește notele tale!
Alătură-te milioanelor de elevi

Acces la toate documentele
Îmbunătățește notele tale!
Alătură-te milioanelor de elevi

Acces la toate documentele
Îmbunătățește notele tale!
Alătură-te milioanelor de elevi

Acces la toate documentele
Îmbunătățește notele tale!
Alătură-te milioanelor de elevi

Acces la toate documentele
Îmbunătățește notele tale!
Alătură-te milioanelor de elevi

Acces la toate documentele
Îmbunătățește notele tale!
Alătură-te milioanelor de elevi

Acces la toate documentele
Îmbunătățește notele tale!
Alătură-te milioanelor de elevi

Acces la toate documentele
Îmbunătățește notele tale!
Alătură-te milioanelor de elevi

Acces la toate documentele
Îmbunătățește notele tale!
Alătură-te milioanelor de elevi

Acces la toate documentele
Îmbunătățește notele tale!
Alătură-te milioanelor de elevi

Acces la toate documentele
Îmbunătățește notele tale!
Alătură-te milioanelor de elevi

Acces la toate documentele
Îmbunătățește notele tale!
Alătură-te milioanelor de elevi

Acces la toate documentele
Îmbunătățește notele tale!
Alătură-te milioanelor de elevi

Acces la toate documentele
Îmbunătățește notele tale!
Alătură-te milioanelor de elevi

Acces la toate documentele
Îmbunătățește notele tale!
Alătură-te milioanelor de elevi

Acces la toate documentele
Îmbunătățește notele tale!
Alătură-te milioanelor de elevi

Acces la toate documentele
Îmbunătățește notele tale!
Alătură-te milioanelor de elevi

Acces la toate documentele
Îmbunătățește notele tale!
Alătură-te milioanelor de elevi

Acces la toate documentele
Îmbunătățește notele tale!
Alătură-te milioanelor de elevi

Acces la toate documentele
Îmbunătățește notele tale!
Alătură-te milioanelor de elevi

Acces la toate documentele
Îmbunătățește notele tale!
Alătură-te milioanelor de elevi

Acces la toate documentele
Îmbunătățește notele tale!
Alătură-te milioanelor de elevi

Acces la toate documentele
Îmbunătățește notele tale!
Alătură-te milioanelor de elevi

Acces la toate documentele
Îmbunătățește notele tale!
Alătură-te milioanelor de elevi

Acces la toate documentele
Îmbunătățește notele tale!
Alătură-te milioanelor de elevi

Acces la toate documentele
Îmbunătățește notele tale!
Alătură-te milioanelor de elevi

Acces la toate documentele
Îmbunătățește notele tale!
Alătură-te milioanelor de elevi

Acces la toate documentele
Îmbunătățește notele tale!
Alătură-te milioanelor de elevi

Acces la toate documentele
Îmbunătățește notele tale!
Alătură-te milioanelor de elevi

Acces la toate documentele
Îmbunătățește notele tale!
Alătură-te milioanelor de elevi

Acces la toate documentele
Îmbunătățește notele tale!
Alătură-te milioanelor de elevi

Acces la toate documentele
Îmbunătățește notele tale!
Alătură-te milioanelor de elevi

Acces la toate documentele
Îmbunătățește notele tale!
Alătură-te milioanelor de elevi

Acces la toate documentele
Îmbunătățește notele tale!
Alătură-te milioanelor de elevi

Acces la toate documentele
Îmbunătățește notele tale!
Alătură-te milioanelor de elevi

Acces la toate documentele
Îmbunătățește notele tale!
Alătură-te milioanelor de elevi

Acces la toate documentele
Îmbunătățește notele tale!
Alătură-te milioanelor de elevi

Acces la toate documentele
Îmbunătățește notele tale!
Alătură-te milioanelor de elevi

Acces la toate documentele
Îmbunătățește notele tale!
Alătură-te milioanelor de elevi

Acces la toate documentele
Îmbunătățește notele tale!
Alătură-te milioanelor de elevi

Acces la toate documentele
Îmbunătățește notele tale!
Alătură-te milioanelor de elevi

Acces la toate documentele
Îmbunătățește notele tale!
Alătură-te milioanelor de elevi

Acces la toate documentele
Îmbunătățește notele tale!
Alătură-te milioanelor de elevi

Acces la toate documentele
Îmbunătățește notele tale!
Alătură-te milioanelor de elevi

Acces la toate documentele
Îmbunătățește notele tale!
Alătură-te milioanelor de elevi
Companionul nostru AI este creat special pentru nevoile studenților. Bazându-ne pe milioanele de materiale de pe platformă, putem oferi răspunsuri exacte și relevante pentru studenți. Dar nu este vorba doar despre răspunsuri, companionul este mai ales despre ghidarea studenților prin provocările zilnice de învățare, cu planuri de studiu personalizate, chestionare sau conținuturi în chat și personalizare 100% bazată pe abilitățile și evoluțiile studenților.
Aplicația este disponibilă în Google Play Store și Apple App Store.
Da! Bucură-te de access la materiale de studiu, conectează-te cu alți elevi, și primește ajutor instant - toate acestea la un click distanță. În plus, câștigă puncte ca să deblochezi mai multe funcționalități!
23
Instrumente inteligente NOU
Transformă această notiță în: ✓ 50+ întrebări de exersare ✓ Flashcard-uri interactive ✓ Examen de practică complet ✓ Planuri de eseu
App Store
Google Play
Aplicația este foarte ușor de utilizat și bine concepută. Am găsit tot ce căutam până acum și am reușit să învăț multe din prezentări! Cu siguranță voi folosi aplicația pentru o temă la clasă! Și desigur, ajută mult ca sursă de inspirație.
Ștefan S
utilizator iOS
Această aplicație este super. Sunt atât de multe materiale de studiu și ajutor pentru elevi [...]. Materia mea mai problematică este franceza, de exemplu, și aplicația oferă foarte multe materiale ajutătoare. Mulțumită acestei aplicații, mi-am îmbunătățit franceza. Aș recomanda-o oricui.
Samantha Klich
utilizator Android
Wow, sunt cu adevărat impresionat. Am încercat aplicația pentru că am văzut-o promovată de multe ori și am rămas uimit. Aceasta este AJUTORUL de care ai nevoie pentru școală și, mai presus de toate, oferă atât de multe lucruri, precum exerciții și fișe de informații, care mi-au fost FOARTE de ajutor.
Anna
utilizator iOS
Te ajută să înveți foarte repede și ști foarte bine ce ai dori tu să înveți, vă recomand cu drag să încercați și să învățați mai repede.!
Thomas R
utilizator iOS
Foarte bună aplicația!!!! Mă ajută să înțeleg mult mai bine lecțiile și temele le termin mult mai repede.👍❤️
Paul P
utilizator Android
Te ajută foarte bine la teme acest robot,recomand!
David K
utilizator iOS
Aplicația e grozavă! Tot ce trebuie să fac este să introduc subiectul în bara de căutare și primesc răspunsul foarte rapid. Nu mai trebuie să mă uit la 10 videoclipuri pe YouTube pentru a înțelege ceva, deci îmi economisesc timpul. Super recomandat!
Sudenaz Ocak
utilizator Android
La școală eram chiar slab la matematică, dar datorită aplicației, mă descurc mai bine acum. Sunt atât de recunoscător că ai creat aplicația.
Greenlight Bonnie
utilizator Android
Această aplicație e super interesantă și seamănă ca tiktok-ul doar că tu ai doar teorie și explicații.
Karla S
utilizator Android
Nu mai trebuie să stau cu orele să învăț după caiet când pot să citesc de 2 ori lecțiile care apar aici și iau 10 la test ! Knowunity m-a ajutat să iau nota 9,20 la română ! Voi recomanda ff tare aceasta aplicate , să nu uităm ca are și chat GPT !👍🏻
Denisa B
utilizator iOS
CHESTIONARELE ȘI FLASHCARD-URILE SUNT ATÂT DE UTILE ȘI IUBESC Knowunity AI. E LITERALMENTE CA CHATGPT DOAR CĂ MAI DEȘTEPT!! M-A AJUTAT ȘI CU PROBLEMELE MELE CU MASCARA!! PLUS CU MATERIILE MELE ADEVĂRATE! EVIDENT 😍😁😲🤑💗✨🎀😮
Sarah L
utilizator Android
Este foarte bună te ajută la teme te face să înțelegi lecțiile am înțeles o lecție în 20 de minute i singură nu reușeam să o învăț dar cu Knowunity am învățat-o foarte ușor
Alessia V
utilizator iOS
Aplicația este foarte ușor de utilizat și bine concepută. Am găsit tot ce căutam până acum și am reușit să învăț multe din prezentări! Cu siguranță voi folosi aplicația pentru o temă la clasă! Și desigur, ajută mult ca sursă de inspirație.
Ștefan S
utilizator iOS
Această aplicație este super. Sunt atât de multe materiale de studiu și ajutor pentru elevi [...]. Materia mea mai problematică este franceza, de exemplu, și aplicația oferă foarte multe materiale ajutătoare. Mulțumită acestei aplicații, mi-am îmbunătățit franceza. Aș recomanda-o oricui.
Samantha Klich
utilizator Android
Wow, sunt cu adevărat impresionat. Am încercat aplicația pentru că am văzut-o promovată de multe ori și am rămas uimit. Aceasta este AJUTORUL de care ai nevoie pentru școală și, mai presus de toate, oferă atât de multe lucruri, precum exerciții și fișe de informații, care mi-au fost FOARTE de ajutor.
Anna
utilizator iOS
Te ajută să înveți foarte repede și ști foarte bine ce ai dori tu să înveți, vă recomand cu drag să încercați și să învățați mai repede.!
Thomas R
utilizator iOS
Foarte bună aplicația!!!! Mă ajută să înțeleg mult mai bine lecțiile și temele le termin mult mai repede.👍❤️
Paul P
utilizator Android
Te ajută foarte bine la teme acest robot,recomand!
David K
utilizator iOS
Aplicația e grozavă! Tot ce trebuie să fac este să introduc subiectul în bara de căutare și primesc răspunsul foarte rapid. Nu mai trebuie să mă uit la 10 videoclipuri pe YouTube pentru a înțelege ceva, deci îmi economisesc timpul. Super recomandat!
Sudenaz Ocak
utilizator Android
La școală eram chiar slab la matematică, dar datorită aplicației, mă descurc mai bine acum. Sunt atât de recunoscător că ai creat aplicația.
Greenlight Bonnie
utilizator Android
Această aplicație e super interesantă și seamănă ca tiktok-ul doar că tu ai doar teorie și explicații.
Karla S
utilizator Android
Nu mai trebuie să stau cu orele să învăț după caiet când pot să citesc de 2 ori lecțiile care apar aici și iau 10 la test ! Knowunity m-a ajutat să iau nota 9,20 la română ! Voi recomanda ff tare aceasta aplicate , să nu uităm ca are și chat GPT !👍🏻
Denisa B
utilizator iOS
CHESTIONARELE ȘI FLASHCARD-URILE SUNT ATÂT DE UTILE ȘI IUBESC Knowunity AI. E LITERALMENTE CA CHATGPT DOAR CĂ MAI DEȘTEPT!! M-A AJUTAT ȘI CU PROBLEMELE MELE CU MASCARA!! PLUS CU MATERIILE MELE ADEVĂRATE! EVIDENT 😍😁😲🤑💗✨🎀😮
Sarah L
utilizator Android
Este foarte bună te ajută la teme te face să înțelegi lecțiile am înțeles o lecție în 20 de minute i singură nu reușeam să o învăț dar cu Knowunity am învățat-o foarte ușor
Alessia V
utilizator iOS