Bine ai venit la ghidul tău de pregătire pentru Evaluarea... Afișează mai mult
Înscrie-te pentru a vedea CONȚINUTULE gratuit!
Acces la toate documentele
Îmbunătățește notele tale!
Alătură-te milioanelor de elevi
Knowunity AI
Mai mult
Materii
Triangle Congruence and Similarity Theorems
Triangle Properties and Classification
Linear Equations and Graphs
Geometric Angle Relationships
Trigonometric Functions and Identities
Equation Solving Techniques
Circle Geometry Fundamentals
Division Operations and Methods
Basic Differentiation Rules
Exponent and Logarithm Properties
Afișează toate materiile
Human Organ Systems
Reproductive Cell Cycles
Biological Sciences Subdisciplines
Cellular Energy Metabolism
Autotrophic Energy Processes
Inheritance Patterns and Principles
Biomolecular Structure and Organization
Cell Cycle and Division Mechanics
Cellular Organization and Development
Biological Structural Organization
Afișează toate materiile
Chemical Sciences and Applications
Atomic Structure and Composition
Molecular Electron Structure Representation
Atomic Electron Behavior
Matter Properties and Water
Mole Concept and Calculations
Gas Laws and Behavior
Periodic Table Organization
Chemical Thermodynamics Fundamentals
Chemical Bond Types and Properties
Afișează toate materiile
European Renaissance and Enlightenment
European Cultural Movements 800-1920
American Revolution Era 1763-1797
American Civil War 1861-1865
Global Imperial Systems
Mongol and Chinese Dynasties
U.S. Presidents and World Leaders
Historical Sources and Documentation
World Wars Era and Impact
World Religious Systems
Afișează toate materiile
Classic and Contemporary Novels
Literary Character Analysis
Rhetorical Theory and Practice
Classic Literary Narratives
Reading Analysis and Interpretation
Narrative Structure and Techniques
English Language Components
Influential English-Language Authors
Basic Sentence Structure
Narrative Voice and Perspective
Afișează toate materiile
608
•
Actualizat Mar 31, 2026
•
Maria
@77mariaantonia77
Bine ai venit la ghidul tău de pregătire pentru Evaluarea... Afișează mai mult






















































Portofoliul de Evaluare Națională la Matematică este instrumentul tău principal de pregătire pentru examenul care se apropie. Acest ghid a fost creat special pentru a-ți oferi toate informațiile esențiale într-un format clar și ușor de înțeles.
Vei găsi aici noțiuni fundamentale de algebră și geometrie, explicate simplu și eficient, astfel încât să poți asimila rapid conceptele cheie care te vor ajuta să rezolvi probleme diverse.
Sfat util: Folosește acest portofoliu ca pe un instrument de referință rapidă atunci când exersezi probleme. Revino periodic la conceptele de bază!

Acest portofoliu este conceput special pentru pregătirea ta la Evaluarea Națională 2023 la Matematică. Materialele sunt organizate pe secțiuni clare, astfel încât să găsești ușor informația de care ai nevoie în timpul recapitulării.
Portofoliul conține concepte esențiale de algebră și geometrie pentru clasa a VIII-a, structurate logic pentru a te ajuta să reții mai ușor informațiile importante.
Documentul este proprietatea NEW EDU și este destinat exclusiv elevilor înscriși la cursurile acestei instituții. Te rugăm să respecți drepturile de autor și să folosești aceste materiale doar pentru pregătirea ta personală.
Atenție! Nu distribui acest document altor persoane fără acordul scris al proprietarului!

Secțiunea de algebră conține toate noțiunile matematice abstracte pe care trebuie să le stăpânești pentru Evaluarea Națională. Aici vei găsi informații despre mulțimi, operații cu numere, ecuații, inecuații și funcții.
Această parte este fundamentală pentru rezolvarea unei game largi de probleme matematice și reprezintă aproximativ jumătate din materia pentru examen.
Conceptele algebrice te vor ajuta să dezvolți gândirea logică și abstractă, iar aplicarea lor în probleme practice îți va demonstra utilitatea matematicii în viața de zi cu zi.
Sfat de învățare: Când studiezi algebră, exersează constant prin rezolvarea de probleme variate pentru a-ți fixa conceptele!

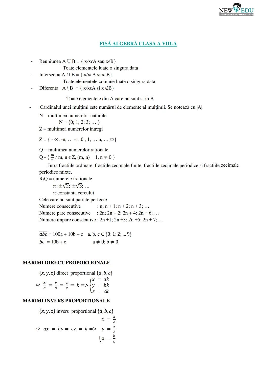
Operațiile cu mulțimi sunt esențiale pentru înțelegerea matematicii. Reuniunea (A U B) reprezintă toate elementele din A sau B luate o singură dată. Intersecția (A ∩ B) conține elementele comune ambelor mulțimi, iar diferența (A \ B) cuprinde elementele din A care nu sunt în B.
Trebuie să știi bine mulțimile numerice: N (numere naturale: 0, 1, 2...), Z (numere întregi), Q și R (numere reale, inclusiv iraționale ca π sau √2).
Pentru probleme cu șir numeric, ține minte formulele pentru numere consecutive: n, n+1, n+2... Pentru numere pare consecutive: 2n, 2n+2, 2n+4... Iar pentru impare consecutive: 2n+1, 2n+3, 2n+5...
Amintește-ți! Cardinalul unei mulțimi |A| reprezintă numărul de elemente din acea mulțime - un concept folosit des în probleme!
Pentru mărimi direct proporționale (x, y, z) cu (a, b, c), rapoartele sunt egale: x/a = y/b = z/c = k. La mărimi invers proporționale, produsele sunt egale: ax = by = cz = k.

Calculul cu procente apare frecvent în probleme. Pentru a găsi p% din A, înmulțești (p·A)/100. La creșteri cu p%, formula este X₁ = X₀ + ·X₀, iar la reduceri: X₁ = X₀ - ·X₀.
Probabilitatea unui eveniment se calculează simplu ca raport între cazurile favorabile și cele posibile: p = cazuri favorabile/cazuri posibile. Este un concept intuitiv și util în probleme practice.
Pentru funcții liniare f(x) = ax + b, trebuie să știi să găsești punctele de intersecție cu axele. Cu Ox: x = -b/a , iar cu Oy: y = b (punctul B(0, b)). Aria triunghiului format de grafic și axe este |a|·|b|/2.
Pont pentru examen: Formulele de calcul prescurtat precum ² = a² + 2ab + b² sau = a²-b² te ajută să rezolvi rapid multe exerciții!
Inecuațiile se reprezintă pe axa numerelor folosind intervale: x > a înseamnă x ∈ , iar a ≤ x < b înseamnă x ∈ [a, b). Pentru ecuații de gradul II, folosește formula cu discriminantul Δ = b²-4ac și rădăcinile x₁,₂ = /(2a).

Modulul unui număr (valoarea absolută) este foarte important: |x| = x pentru x ≥ 0 și |x| = -x pentru x < 0. Inecuațiile cu modul au forme standard: |E(x)| < a înseamnă -a < E(x) < a.
Pentru ecuații de gradul II , calculezi discriminantul Δ = b²-4ac și apoi rădăcinile x₁ = /(2a) și x₂ = /(2a). Poți scrie apoi ecuația sub forma descompusă: a.
Transformările între tipuri de numere sunt esențiale. Pentru fracții zecimale finite în fracții ordinare, de exemplu: 0,375 = 375/1000 = 3/8. La fracții zecimale periodice simple (ex: 0,333...), împarți perioada la atâtea cifre de 9 câte cifre are perioada (0,333... = 3/9 = 1/3).
Atenție! La fracțiile zecimale periodice mixte (cu partea neperiodică și periodică) folosește formula: a,nep(per) = /(99...9 00...0)
La calcul cu puteri, amintește-ți regulile: a^m · a^n = a^, a^m : a^n = a^ și ^n = a^(m·n). Acestea te ajută să simplifici mult expresii complicate.

Geometria plană studiază figurile geometrice în plan și este o parte esențială din programa pentru Evaluarea Națională. Vei avea nevoie de aceste concepte pentru a rezolva probleme de calcul geometric și demonstrații.
Această secțiune include toate noțiunile despre unghiuri, triunghiuri, patrulatere, cercuri și alte figuri geometrice plane. Proprietățile acestora și formulele de calcul pentru arii și lungimi sunt fundamentale.
Geometria îmbină perfect raționamentul logic cu vizualizarea spațială, dezvoltându-ți ambele emisfere cerebrale. Vei învăța să demonstrezi proprietăți și să calculezi mărimi geometrice în diverse situații.
Sfat practic: Desenează mereu figurile geometrice când rezolvi probleme - acest lucru te ajută enorm să vizualizezi și să găsești soluția!

Geometria plană începe cu elementele fundamentale: punctul (notat de obicei cu litere mari), dreapta (infinită, notată cu litere mici), semidreapta și segmentul de dreaptă (porțiune finită a dreptei).
Unghiul este o figură formată din două semidrepte cu originea comună, iar planul este suprafața infinită bidimensională în care lucrăm. Semiplanul reprezintă una din cele două părți în care o dreaptă împarte planul.
Vei studia și linii frânte (formate din segmente consecutive) și linii curbe (care nu sunt drepte). Aceste concepte elementare sunt baza pentru toate figurile geometrice mai complexe.
Bine de știut: Mijlocul unui segment este punctul care împarte segmentul în două părți egale - o noțiune esențială pentru multe teoreme!
Pe măsură ce avansezi, vei întâlni drepte perpendiculare (care formează unghiuri de 90°), drepte paralele (care nu se intersectează niciodată) și concepte de simetrie față de un punct sau o dreaptă.

Triunghiurile sunt figuri fundamentale în geometrie, clasificate după laturi (echilateral, isoscel, scalen) și după unghiuri (ascuțitunghic, dreptunghic, obtuzunghic). Două triunghiuri sunt congruente când toate elementele lor corespunzătoare sunt egale.
Cazurile de congruență (LLL, LUL, ULU) și asemănare a triunghiurilor te ajută să demonstrezi relații între figuri geometrice. Triunghiurile asemenea au unghiuri egale și laturi proporționale.
Liniile importante în triunghi includ: înălțimea (perpendiculara din vârf pe latura opusă), mediana (unește vârful cu mijlocul laturii opuse), mediatoarea (perpendiculara în mijlocul unei laturi) și bisectoarea (împarte unghiul în două părți egale).
Amintește-ți! Cele trei mediane se intersectează în centrul de greutate, care împarte fiecare mediană în raport 2:1 față de vârf.
Linia mijlocie a triunghiului unește mijloacele a două laturi și este paralelă cu a treia latură, având lungimea egală cu jumătate din aceasta. În triunghiul isoscel, înălțimea, mediana, bisectoarea și mediatoarea din vârful unghiului dintre laturile egale coincid.

Cercul este locul geometric al punctelor din plan aflate la aceeași distanță (rază) față de un punct fix (centru). Elementele importante sunt: raza, diametrul (de două ori raza), coarda (segment ce unește două puncte de pe cerc) și arcul (porțiune din cerc).
Unghiurile în cerc sunt de mai multe tipuri: înscrise (cu vârful pe cerc și laturile secante la cerc), la centru (cu vârful în centrul cercului) și excentrice (cu vârful în exteriorul cercului). Un unghi înscris măsoară jumătate din unghiul la centru care cuprinde același arc.
O dreaptă poate fi: secantă (intersectează cercul în două puncte), tangentă sau exterioară cercului. Două cercuri pot fi: exterioare, tangente exterior/interior, secante sau concentrice.
Aplicație practică: Poligoanele regulate pot fi înscrise în cerc sau circumscrise cercului - de exemplu, hexagonul regulat înscris are latura egală cu raza cercului!
Apotema unui poligon regulat este distanța de la centru la o latură. La poligoanele regulate, apotema, raza cercului înscris și raza cercului circumscris au relații matematice precise care te ajută la calculul ariilor și perimetrelor.











































Companionul nostru AI este creat special pentru nevoile studenților. Bazându-ne pe milioanele de materiale de pe platformă, putem oferi răspunsuri exacte și relevante pentru studenți. Dar nu este vorba doar despre răspunsuri, companionul este mai ales despre ghidarea studenților prin provocările zilnice de învățare, cu planuri de studiu personalizate, chestionare sau conținuturi în chat și personalizare 100% bazată pe abilitățile și evoluțiile studenților.
Aplicația este disponibilă în Google Play Store și Apple App Store.
Da! Bucură-te de access la materiale de studiu, conectează-te cu alți elevi, și primește ajutor instant - toate acestea la un click distanță. În plus, câștigă puncte ca să deblochezi mai multe funcționalități!
Pt S1 si S3 ex2
App Store
Google Play
Aplicația este foarte ușor de utilizat și bine concepută. Am găsit tot ce căutam până acum și am reușit să învăț multe din prezentări! Cu siguranță voi folosi aplicația pentru o temă la clasă! Și desigur, ajută mult ca sursă de inspirație.
Ștefan S
utilizator iOS
Această aplicație este super. Sunt atât de multe materiale de studiu și ajutor pentru elevi [...]. Materia mea mai problematică este franceza, de exemplu, și aplicația oferă foarte multe materiale ajutătoare. Mulțumită acestei aplicații, mi-am îmbunătățit franceza. Aș recomanda-o oricui.
Samantha Klich
utilizator Android
Wow, sunt cu adevărat impresionat. Am încercat aplicația pentru că am văzut-o promovată de multe ori și am rămas uimit. Aceasta este AJUTORUL de care ai nevoie pentru școală și, mai presus de toate, oferă atât de multe lucruri, precum exerciții și fișe de informații, care mi-au fost FOARTE de ajutor.
Anna
utilizator iOS
Te ajută să înveți foarte repede și ști foarte bine ce ai dori tu să înveți, vă recomand cu drag să încercați și să învățați mai repede.!
Thomas R
utilizator iOS
Foarte bună aplicația!!!! Mă ajută să înțeleg mult mai bine lecțiile și temele le termin mult mai repede.👍❤️
Paul P
utilizator Android
Te ajută foarte bine la teme acest robot,recomand!
David K
utilizator iOS
Aplicația e grozavă! Tot ce trebuie să fac este să introduc subiectul în bara de căutare și primesc răspunsul foarte rapid. Nu mai trebuie să mă uit la 10 videoclipuri pe YouTube pentru a înțelege ceva, deci îmi economisesc timpul. Super recomandat!
Sudenaz Ocak
utilizator Android
La școală eram chiar slab la matematică, dar datorită aplicației, mă descurc mai bine acum. Sunt atât de recunoscător că ai creat aplicația.
Greenlight Bonnie
utilizator Android
Această aplicație e super interesantă și seamănă ca tiktok-ul doar că tu ai doar teorie și explicații.
Karla S
utilizator Android
Nu mai trebuie să stau cu orele să învăț după caiet când pot să citesc de 2 ori lecțiile care apar aici și iau 10 la test ! Knowunity m-a ajutat să iau nota 9,20 la română ! Voi recomanda ff tare aceasta aplicate , să nu uităm ca are și chat GPT !👍🏻
Denisa B
utilizator iOS
CHESTIONARELE ȘI FLASHCARD-URILE SUNT ATÂT DE UTILE ȘI IUBESC Knowunity AI. E LITERALMENTE CA CHATGPT DOAR CĂ MAI DEȘTEPT!! M-A AJUTAT ȘI CU PROBLEMELE MELE CU MASCARA!! PLUS CU MATERIILE MELE ADEVĂRATE! EVIDENT 😍😁😲🤑💗✨🎀😮
Sarah L
utilizator Android
Este foarte bună te ajută la teme te face să înțelegi lecțiile am înțeles o lecție în 20 de minute i singură nu reușeam să o învăț dar cu Knowunity am învățat-o foarte ușor
Alessia V
utilizator iOS
Aplicația este foarte ușor de utilizat și bine concepută. Am găsit tot ce căutam până acum și am reușit să învăț multe din prezentări! Cu siguranță voi folosi aplicația pentru o temă la clasă! Și desigur, ajută mult ca sursă de inspirație.
Ștefan S
utilizator iOS
Această aplicație este super. Sunt atât de multe materiale de studiu și ajutor pentru elevi [...]. Materia mea mai problematică este franceza, de exemplu, și aplicația oferă foarte multe materiale ajutătoare. Mulțumită acestei aplicații, mi-am îmbunătățit franceza. Aș recomanda-o oricui.
Samantha Klich
utilizator Android
Wow, sunt cu adevărat impresionat. Am încercat aplicația pentru că am văzut-o promovată de multe ori și am rămas uimit. Aceasta este AJUTORUL de care ai nevoie pentru școală și, mai presus de toate, oferă atât de multe lucruri, precum exerciții și fișe de informații, care mi-au fost FOARTE de ajutor.
Anna
utilizator iOS
Te ajută să înveți foarte repede și ști foarte bine ce ai dori tu să înveți, vă recomand cu drag să încercați și să învățați mai repede.!
Thomas R
utilizator iOS
Foarte bună aplicația!!!! Mă ajută să înțeleg mult mai bine lecțiile și temele le termin mult mai repede.👍❤️
Paul P
utilizator Android
Te ajută foarte bine la teme acest robot,recomand!
David K
utilizator iOS
Aplicația e grozavă! Tot ce trebuie să fac este să introduc subiectul în bara de căutare și primesc răspunsul foarte rapid. Nu mai trebuie să mă uit la 10 videoclipuri pe YouTube pentru a înțelege ceva, deci îmi economisesc timpul. Super recomandat!
Sudenaz Ocak
utilizator Android
La școală eram chiar slab la matematică, dar datorită aplicației, mă descurc mai bine acum. Sunt atât de recunoscător că ai creat aplicația.
Greenlight Bonnie
utilizator Android
Această aplicație e super interesantă și seamănă ca tiktok-ul doar că tu ai doar teorie și explicații.
Karla S
utilizator Android
Nu mai trebuie să stau cu orele să învăț după caiet când pot să citesc de 2 ori lecțiile care apar aici și iau 10 la test ! Knowunity m-a ajutat să iau nota 9,20 la română ! Voi recomanda ff tare aceasta aplicate , să nu uităm ca are și chat GPT !👍🏻
Denisa B
utilizator iOS
CHESTIONARELE ȘI FLASHCARD-URILE SUNT ATÂT DE UTILE ȘI IUBESC Knowunity AI. E LITERALMENTE CA CHATGPT DOAR CĂ MAI DEȘTEPT!! M-A AJUTAT ȘI CU PROBLEMELE MELE CU MASCARA!! PLUS CU MATERIILE MELE ADEVĂRATE! EVIDENT 😍😁😲🤑💗✨🎀😮
Sarah L
utilizator Android
Este foarte bună te ajută la teme te face să înțelegi lecțiile am înțeles o lecție în 20 de minute i singură nu reușeam să o învăț dar cu Knowunity am învățat-o foarte ușor
Alessia V
utilizator iOS
Maria
@77mariaantonia77
Bine ai venit la ghidul tău de pregătire pentru Evaluarea Națională la Matematică 2023! Acest portofoliu conține toate informațiile esențiale pentru a te ajuta să te pregătești eficient și să obții rezultate bune. Am sintetizat cele mai importante concepte de... Afișează mai mult

Acces la toate documentele
Îmbunătățește notele tale!
Alătură-te milioanelor de elevi
Portofoliul de Evaluare Națională la Matematică este instrumentul tău principal de pregătire pentru examenul care se apropie. Acest ghid a fost creat special pentru a-ți oferi toate informațiile esențiale într-un format clar și ușor de înțeles.
Vei găsi aici noțiuni fundamentale de algebră și geometrie, explicate simplu și eficient, astfel încât să poți asimila rapid conceptele cheie care te vor ajuta să rezolvi probleme diverse.
Sfat util: Folosește acest portofoliu ca pe un instrument de referință rapidă atunci când exersezi probleme. Revino periodic la conceptele de bază!

Acces la toate documentele
Îmbunătățește notele tale!
Alătură-te milioanelor de elevi
Acest portofoliu este conceput special pentru pregătirea ta la Evaluarea Națională 2023 la Matematică. Materialele sunt organizate pe secțiuni clare, astfel încât să găsești ușor informația de care ai nevoie în timpul recapitulării.
Portofoliul conține concepte esențiale de algebră și geometrie pentru clasa a VIII-a, structurate logic pentru a te ajuta să reții mai ușor informațiile importante.
Documentul este proprietatea NEW EDU și este destinat exclusiv elevilor înscriși la cursurile acestei instituții. Te rugăm să respecți drepturile de autor și să folosești aceste materiale doar pentru pregătirea ta personală.
Atenție! Nu distribui acest document altor persoane fără acordul scris al proprietarului!

Acces la toate documentele
Îmbunătățește notele tale!
Alătură-te milioanelor de elevi
Secțiunea de algebră conține toate noțiunile matematice abstracte pe care trebuie să le stăpânești pentru Evaluarea Națională. Aici vei găsi informații despre mulțimi, operații cu numere, ecuații, inecuații și funcții.
Această parte este fundamentală pentru rezolvarea unei game largi de probleme matematice și reprezintă aproximativ jumătate din materia pentru examen.
Conceptele algebrice te vor ajuta să dezvolți gândirea logică și abstractă, iar aplicarea lor în probleme practice îți va demonstra utilitatea matematicii în viața de zi cu zi.
Sfat de învățare: Când studiezi algebră, exersează constant prin rezolvarea de probleme variate pentru a-ți fixa conceptele!

Acces la toate documentele
Îmbunătățește notele tale!
Alătură-te milioanelor de elevi
Operațiile cu mulțimi sunt esențiale pentru înțelegerea matematicii. Reuniunea (A U B) reprezintă toate elementele din A sau B luate o singură dată. Intersecția (A ∩ B) conține elementele comune ambelor mulțimi, iar diferența (A \ B) cuprinde elementele din A care nu sunt în B.
Trebuie să știi bine mulțimile numerice: N (numere naturale: 0, 1, 2...), Z (numere întregi), Q și R (numere reale, inclusiv iraționale ca π sau √2).
Pentru probleme cu șir numeric, ține minte formulele pentru numere consecutive: n, n+1, n+2... Pentru numere pare consecutive: 2n, 2n+2, 2n+4... Iar pentru impare consecutive: 2n+1, 2n+3, 2n+5...
Amintește-ți! Cardinalul unei mulțimi |A| reprezintă numărul de elemente din acea mulțime - un concept folosit des în probleme!
Pentru mărimi direct proporționale (x, y, z) cu (a, b, c), rapoartele sunt egale: x/a = y/b = z/c = k. La mărimi invers proporționale, produsele sunt egale: ax = by = cz = k.

Acces la toate documentele
Îmbunătățește notele tale!
Alătură-te milioanelor de elevi
Calculul cu procente apare frecvent în probleme. Pentru a găsi p% din A, înmulțești (p·A)/100. La creșteri cu p%, formula este X₁ = X₀ + ·X₀, iar la reduceri: X₁ = X₀ - ·X₀.
Probabilitatea unui eveniment se calculează simplu ca raport între cazurile favorabile și cele posibile: p = cazuri favorabile/cazuri posibile. Este un concept intuitiv și util în probleme practice.
Pentru funcții liniare f(x) = ax + b, trebuie să știi să găsești punctele de intersecție cu axele. Cu Ox: x = -b/a , iar cu Oy: y = b (punctul B(0, b)). Aria triunghiului format de grafic și axe este |a|·|b|/2.
Pont pentru examen: Formulele de calcul prescurtat precum ² = a² + 2ab + b² sau = a²-b² te ajută să rezolvi rapid multe exerciții!
Inecuațiile se reprezintă pe axa numerelor folosind intervale: x > a înseamnă x ∈ , iar a ≤ x < b înseamnă x ∈ [a, b). Pentru ecuații de gradul II, folosește formula cu discriminantul Δ = b²-4ac și rădăcinile x₁,₂ = /(2a).

Acces la toate documentele
Îmbunătățește notele tale!
Alătură-te milioanelor de elevi
Modulul unui număr (valoarea absolută) este foarte important: |x| = x pentru x ≥ 0 și |x| = -x pentru x < 0. Inecuațiile cu modul au forme standard: |E(x)| < a înseamnă -a < E(x) < a.
Pentru ecuații de gradul II , calculezi discriminantul Δ = b²-4ac și apoi rădăcinile x₁ = /(2a) și x₂ = /(2a). Poți scrie apoi ecuația sub forma descompusă: a.
Transformările între tipuri de numere sunt esențiale. Pentru fracții zecimale finite în fracții ordinare, de exemplu: 0,375 = 375/1000 = 3/8. La fracții zecimale periodice simple (ex: 0,333...), împarți perioada la atâtea cifre de 9 câte cifre are perioada (0,333... = 3/9 = 1/3).
Atenție! La fracțiile zecimale periodice mixte (cu partea neperiodică și periodică) folosește formula: a,nep(per) = /(99...9 00...0)
La calcul cu puteri, amintește-ți regulile: a^m · a^n = a^, a^m : a^n = a^ și ^n = a^(m·n). Acestea te ajută să simplifici mult expresii complicate.

Acces la toate documentele
Îmbunătățește notele tale!
Alătură-te milioanelor de elevi
Geometria plană studiază figurile geometrice în plan și este o parte esențială din programa pentru Evaluarea Națională. Vei avea nevoie de aceste concepte pentru a rezolva probleme de calcul geometric și demonstrații.
Această secțiune include toate noțiunile despre unghiuri, triunghiuri, patrulatere, cercuri și alte figuri geometrice plane. Proprietățile acestora și formulele de calcul pentru arii și lungimi sunt fundamentale.
Geometria îmbină perfect raționamentul logic cu vizualizarea spațială, dezvoltându-ți ambele emisfere cerebrale. Vei învăța să demonstrezi proprietăți și să calculezi mărimi geometrice în diverse situații.
Sfat practic: Desenează mereu figurile geometrice când rezolvi probleme - acest lucru te ajută enorm să vizualizezi și să găsești soluția!

Acces la toate documentele
Îmbunătățește notele tale!
Alătură-te milioanelor de elevi
Geometria plană începe cu elementele fundamentale: punctul (notat de obicei cu litere mari), dreapta (infinită, notată cu litere mici), semidreapta și segmentul de dreaptă (porțiune finită a dreptei).
Unghiul este o figură formată din două semidrepte cu originea comună, iar planul este suprafața infinită bidimensională în care lucrăm. Semiplanul reprezintă una din cele două părți în care o dreaptă împarte planul.
Vei studia și linii frânte (formate din segmente consecutive) și linii curbe (care nu sunt drepte). Aceste concepte elementare sunt baza pentru toate figurile geometrice mai complexe.
Bine de știut: Mijlocul unui segment este punctul care împarte segmentul în două părți egale - o noțiune esențială pentru multe teoreme!
Pe măsură ce avansezi, vei întâlni drepte perpendiculare (care formează unghiuri de 90°), drepte paralele (care nu se intersectează niciodată) și concepte de simetrie față de un punct sau o dreaptă.

Acces la toate documentele
Îmbunătățește notele tale!
Alătură-te milioanelor de elevi
Triunghiurile sunt figuri fundamentale în geometrie, clasificate după laturi (echilateral, isoscel, scalen) și după unghiuri (ascuțitunghic, dreptunghic, obtuzunghic). Două triunghiuri sunt congruente când toate elementele lor corespunzătoare sunt egale.
Cazurile de congruență (LLL, LUL, ULU) și asemănare a triunghiurilor te ajută să demonstrezi relații între figuri geometrice. Triunghiurile asemenea au unghiuri egale și laturi proporționale.
Liniile importante în triunghi includ: înălțimea (perpendiculara din vârf pe latura opusă), mediana (unește vârful cu mijlocul laturii opuse), mediatoarea (perpendiculara în mijlocul unei laturi) și bisectoarea (împarte unghiul în două părți egale).
Amintește-ți! Cele trei mediane se intersectează în centrul de greutate, care împarte fiecare mediană în raport 2:1 față de vârf.
Linia mijlocie a triunghiului unește mijloacele a două laturi și este paralelă cu a treia latură, având lungimea egală cu jumătate din aceasta. În triunghiul isoscel, înălțimea, mediana, bisectoarea și mediatoarea din vârful unghiului dintre laturile egale coincid.

Acces la toate documentele
Îmbunătățește notele tale!
Alătură-te milioanelor de elevi
Cercul este locul geometric al punctelor din plan aflate la aceeași distanță (rază) față de un punct fix (centru). Elementele importante sunt: raza, diametrul (de două ori raza), coarda (segment ce unește două puncte de pe cerc) și arcul (porțiune din cerc).
Unghiurile în cerc sunt de mai multe tipuri: înscrise (cu vârful pe cerc și laturile secante la cerc), la centru (cu vârful în centrul cercului) și excentrice (cu vârful în exteriorul cercului). Un unghi înscris măsoară jumătate din unghiul la centru care cuprinde același arc.
O dreaptă poate fi: secantă (intersectează cercul în două puncte), tangentă sau exterioară cercului. Două cercuri pot fi: exterioare, tangente exterior/interior, secante sau concentrice.
Aplicație practică: Poligoanele regulate pot fi înscrise în cerc sau circumscrise cercului - de exemplu, hexagonul regulat înscris are latura egală cu raza cercului!
Apotema unui poligon regulat este distanța de la centru la o latură. La poligoanele regulate, apotema, raza cercului înscris și raza cercului circumscris au relații matematice precise care te ajută la calculul ariilor și perimetrelor.

Acces la toate documentele
Îmbunătățește notele tale!
Alătură-te milioanelor de elevi

Acces la toate documentele
Îmbunătățește notele tale!
Alătură-te milioanelor de elevi

Acces la toate documentele
Îmbunătățește notele tale!
Alătură-te milioanelor de elevi

Acces la toate documentele
Îmbunătățește notele tale!
Alătură-te milioanelor de elevi

Acces la toate documentele
Îmbunătățește notele tale!
Alătură-te milioanelor de elevi

Acces la toate documentele
Îmbunătățește notele tale!
Alătură-te milioanelor de elevi

Acces la toate documentele
Îmbunătățește notele tale!
Alătură-te milioanelor de elevi

Acces la toate documentele
Îmbunătățește notele tale!
Alătură-te milioanelor de elevi

Acces la toate documentele
Îmbunătățește notele tale!
Alătură-te milioanelor de elevi

Acces la toate documentele
Îmbunătățește notele tale!
Alătură-te milioanelor de elevi

Acces la toate documentele
Îmbunătățește notele tale!
Alătură-te milioanelor de elevi

Acces la toate documentele
Îmbunătățește notele tale!
Alătură-te milioanelor de elevi

Acces la toate documentele
Îmbunătățește notele tale!
Alătură-te milioanelor de elevi

Acces la toate documentele
Îmbunătățește notele tale!
Alătură-te milioanelor de elevi

Acces la toate documentele
Îmbunătățește notele tale!
Alătură-te milioanelor de elevi

Acces la toate documentele
Îmbunătățește notele tale!
Alătură-te milioanelor de elevi

Acces la toate documentele
Îmbunătățește notele tale!
Alătură-te milioanelor de elevi

Acces la toate documentele
Îmbunătățește notele tale!
Alătură-te milioanelor de elevi

Acces la toate documentele
Îmbunătățește notele tale!
Alătură-te milioanelor de elevi

Acces la toate documentele
Îmbunătățește notele tale!
Alătură-te milioanelor de elevi

Acces la toate documentele
Îmbunătățește notele tale!
Alătură-te milioanelor de elevi

Acces la toate documentele
Îmbunătățește notele tale!
Alătură-te milioanelor de elevi

Acces la toate documentele
Îmbunătățește notele tale!
Alătură-te milioanelor de elevi

Acces la toate documentele
Îmbunătățește notele tale!
Alătură-te milioanelor de elevi

Acces la toate documentele
Îmbunătățește notele tale!
Alătură-te milioanelor de elevi

Acces la toate documentele
Îmbunătățește notele tale!
Alătură-te milioanelor de elevi

Acces la toate documentele
Îmbunătățește notele tale!
Alătură-te milioanelor de elevi

Acces la toate documentele
Îmbunătățește notele tale!
Alătură-te milioanelor de elevi

Acces la toate documentele
Îmbunătățește notele tale!
Alătură-te milioanelor de elevi

Acces la toate documentele
Îmbunătățește notele tale!
Alătură-te milioanelor de elevi

Acces la toate documentele
Îmbunătățește notele tale!
Alătură-te milioanelor de elevi

Acces la toate documentele
Îmbunătățește notele tale!
Alătură-te milioanelor de elevi

Acces la toate documentele
Îmbunătățește notele tale!
Alătură-te milioanelor de elevi

Acces la toate documentele
Îmbunătățește notele tale!
Alătură-te milioanelor de elevi

Acces la toate documentele
Îmbunătățește notele tale!
Alătură-te milioanelor de elevi

Acces la toate documentele
Îmbunătățește notele tale!
Alătură-te milioanelor de elevi

Acces la toate documentele
Îmbunătățește notele tale!
Alătură-te milioanelor de elevi

Acces la toate documentele
Îmbunătățește notele tale!
Alătură-te milioanelor de elevi

Acces la toate documentele
Îmbunătățește notele tale!
Alătură-te milioanelor de elevi

Acces la toate documentele
Îmbunătățește notele tale!
Alătură-te milioanelor de elevi

Acces la toate documentele
Îmbunătățește notele tale!
Alătură-te milioanelor de elevi

Acces la toate documentele
Îmbunătățește notele tale!
Alătură-te milioanelor de elevi

Acces la toate documentele
Îmbunătățește notele tale!
Alătură-te milioanelor de elevi
Companionul nostru AI este creat special pentru nevoile studenților. Bazându-ne pe milioanele de materiale de pe platformă, putem oferi răspunsuri exacte și relevante pentru studenți. Dar nu este vorba doar despre răspunsuri, companionul este mai ales despre ghidarea studenților prin provocările zilnice de învățare, cu planuri de studiu personalizate, chestionare sau conținuturi în chat și personalizare 100% bazată pe abilitățile și evoluțiile studenților.
Aplicația este disponibilă în Google Play Store și Apple App Store.
Da! Bucură-te de access la materiale de studiu, conectează-te cu alți elevi, și primește ajutor instant - toate acestea la un click distanță. În plus, câștigă puncte ca să deblochezi mai multe funcționalități!
11
Instrumente inteligente NOU
Transformă această notiță în: ✓ 50+ întrebări de exersare ✓ Flashcard-uri interactive ✓ Examen de practică complet ✓ Planuri de eseu
Pt S1 si S3 ex2
App Store
Google Play
Aplicația este foarte ușor de utilizat și bine concepută. Am găsit tot ce căutam până acum și am reușit să învăț multe din prezentări! Cu siguranță voi folosi aplicația pentru o temă la clasă! Și desigur, ajută mult ca sursă de inspirație.
Ștefan S
utilizator iOS
Această aplicație este super. Sunt atât de multe materiale de studiu și ajutor pentru elevi [...]. Materia mea mai problematică este franceza, de exemplu, și aplicația oferă foarte multe materiale ajutătoare. Mulțumită acestei aplicații, mi-am îmbunătățit franceza. Aș recomanda-o oricui.
Samantha Klich
utilizator Android
Wow, sunt cu adevărat impresionat. Am încercat aplicația pentru că am văzut-o promovată de multe ori și am rămas uimit. Aceasta este AJUTORUL de care ai nevoie pentru școală și, mai presus de toate, oferă atât de multe lucruri, precum exerciții și fișe de informații, care mi-au fost FOARTE de ajutor.
Anna
utilizator iOS
Te ajută să înveți foarte repede și ști foarte bine ce ai dori tu să înveți, vă recomand cu drag să încercați și să învățați mai repede.!
Thomas R
utilizator iOS
Foarte bună aplicația!!!! Mă ajută să înțeleg mult mai bine lecțiile și temele le termin mult mai repede.👍❤️
Paul P
utilizator Android
Te ajută foarte bine la teme acest robot,recomand!
David K
utilizator iOS
Aplicația e grozavă! Tot ce trebuie să fac este să introduc subiectul în bara de căutare și primesc răspunsul foarte rapid. Nu mai trebuie să mă uit la 10 videoclipuri pe YouTube pentru a înțelege ceva, deci îmi economisesc timpul. Super recomandat!
Sudenaz Ocak
utilizator Android
La școală eram chiar slab la matematică, dar datorită aplicației, mă descurc mai bine acum. Sunt atât de recunoscător că ai creat aplicația.
Greenlight Bonnie
utilizator Android
Această aplicație e super interesantă și seamănă ca tiktok-ul doar că tu ai doar teorie și explicații.
Karla S
utilizator Android
Nu mai trebuie să stau cu orele să învăț după caiet când pot să citesc de 2 ori lecțiile care apar aici și iau 10 la test ! Knowunity m-a ajutat să iau nota 9,20 la română ! Voi recomanda ff tare aceasta aplicate , să nu uităm ca are și chat GPT !👍🏻
Denisa B
utilizator iOS
CHESTIONARELE ȘI FLASHCARD-URILE SUNT ATÂT DE UTILE ȘI IUBESC Knowunity AI. E LITERALMENTE CA CHATGPT DOAR CĂ MAI DEȘTEPT!! M-A AJUTAT ȘI CU PROBLEMELE MELE CU MASCARA!! PLUS CU MATERIILE MELE ADEVĂRATE! EVIDENT 😍😁😲🤑💗✨🎀😮
Sarah L
utilizator Android
Este foarte bună te ajută la teme te face să înțelegi lecțiile am înțeles o lecție în 20 de minute i singură nu reușeam să o învăț dar cu Knowunity am învățat-o foarte ușor
Alessia V
utilizator iOS
Aplicația este foarte ușor de utilizat și bine concepută. Am găsit tot ce căutam până acum și am reușit să învăț multe din prezentări! Cu siguranță voi folosi aplicația pentru o temă la clasă! Și desigur, ajută mult ca sursă de inspirație.
Ștefan S
utilizator iOS
Această aplicație este super. Sunt atât de multe materiale de studiu și ajutor pentru elevi [...]. Materia mea mai problematică este franceza, de exemplu, și aplicația oferă foarte multe materiale ajutătoare. Mulțumită acestei aplicații, mi-am îmbunătățit franceza. Aș recomanda-o oricui.
Samantha Klich
utilizator Android
Wow, sunt cu adevărat impresionat. Am încercat aplicația pentru că am văzut-o promovată de multe ori și am rămas uimit. Aceasta este AJUTORUL de care ai nevoie pentru școală și, mai presus de toate, oferă atât de multe lucruri, precum exerciții și fișe de informații, care mi-au fost FOARTE de ajutor.
Anna
utilizator iOS
Te ajută să înveți foarte repede și ști foarte bine ce ai dori tu să înveți, vă recomand cu drag să încercați și să învățați mai repede.!
Thomas R
utilizator iOS
Foarte bună aplicația!!!! Mă ajută să înțeleg mult mai bine lecțiile și temele le termin mult mai repede.👍❤️
Paul P
utilizator Android
Te ajută foarte bine la teme acest robot,recomand!
David K
utilizator iOS
Aplicația e grozavă! Tot ce trebuie să fac este să introduc subiectul în bara de căutare și primesc răspunsul foarte rapid. Nu mai trebuie să mă uit la 10 videoclipuri pe YouTube pentru a înțelege ceva, deci îmi economisesc timpul. Super recomandat!
Sudenaz Ocak
utilizator Android
La școală eram chiar slab la matematică, dar datorită aplicației, mă descurc mai bine acum. Sunt atât de recunoscător că ai creat aplicația.
Greenlight Bonnie
utilizator Android
Această aplicație e super interesantă și seamănă ca tiktok-ul doar că tu ai doar teorie și explicații.
Karla S
utilizator Android
Nu mai trebuie să stau cu orele să învăț după caiet când pot să citesc de 2 ori lecțiile care apar aici și iau 10 la test ! Knowunity m-a ajutat să iau nota 9,20 la română ! Voi recomanda ff tare aceasta aplicate , să nu uităm ca are și chat GPT !👍🏻
Denisa B
utilizator iOS
CHESTIONARELE ȘI FLASHCARD-URILE SUNT ATÂT DE UTILE ȘI IUBESC Knowunity AI. E LITERALMENTE CA CHATGPT DOAR CĂ MAI DEȘTEPT!! M-A AJUTAT ȘI CU PROBLEMELE MELE CU MASCARA!! PLUS CU MATERIILE MELE ADEVĂRATE! EVIDENT 😍😁😲🤑💗✨🎀😮
Sarah L
utilizator Android
Este foarte bună te ajută la teme te face să înțelegi lecțiile am înțeles o lecție în 20 de minute i singură nu reușeam să o învăț dar cu Knowunity am învățat-o foarte ușor
Alessia V
utilizator iOS