Hai să explorăm matematica împreună! În aceste notițe, vom rezolva... Afișează mai mult
Înscrie-te pentru a vedea CONȚINUTULE gratuit!
Acces la toate documentele
Îmbunătățește notele tale!
Alătură-te milioanelor de elevi
Knowunity AI
Mai mult
Materii
Triangle Congruence and Similarity Theorems
Triangle Properties and Classification
Linear Equations and Graphs
Geometric Angle Relationships
Trigonometric Functions and Identities
Equation Solving Techniques
Circle Geometry Fundamentals
Division Operations and Methods
Basic Differentiation Rules
Exponent and Logarithm Properties
Afișează toate materiile
Human Organ Systems
Reproductive Cell Cycles
Biological Sciences Subdisciplines
Cellular Energy Metabolism
Autotrophic Energy Processes
Inheritance Patterns and Principles
Biomolecular Structure and Organization
Cell Cycle and Division Mechanics
Cellular Organization and Development
Biological Structural Organization
Afișează toate materiile
Chemical Sciences and Applications
Atomic Structure and Composition
Molecular Electron Structure Representation
Atomic Electron Behavior
Matter Properties and Water
Mole Concept and Calculations
Gas Laws and Behavior
Periodic Table Organization
Chemical Thermodynamics Fundamentals
Chemical Bond Types and Properties
Afișează toate materiile
European Renaissance and Enlightenment
European Cultural Movements 800-1920
American Revolution Era 1763-1797
American Civil War 1861-1865
Global Imperial Systems
Mongol and Chinese Dynasties
U.S. Presidents and World Leaders
Historical Sources and Documentation
World Wars Era and Impact
World Religious Systems
Afișează toate materiile
Classic and Contemporary Novels
Literary Character Analysis
Rhetorical Theory and Practice
Classic Literary Narratives
Reading Analysis and Interpretation
Narrative Structure and Techniques
English Language Components
Influential English-Language Authors
Basic Sentence Structure
Narrative Voice and Perspective
Afișează toate materiile
196
•
Actualizat Apr 7, 2026
•
Elena Andreea Zamfir
@elenaandreeazam
Hai să explorăm matematica împreună! În aceste notițe, vom rezolva... Afișează mai mult










































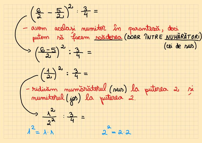
Să rezolvăm exercițiul 3 - $\frac{5}{2}$ : .
Prima dată, rezolvăm ce avem în paranteză. Pentru a face scăderea, trebuie să aducem termenii la același numitor:
3 - $\frac{5}{2}$ = $\frac{6}{2}$ - $\frac{5}{2}$ = =
Acum calculăm expresia: $\frac{1}{2}$ :
Când ridicăm o fracție la putere, ridicăm atât numărătorul cât și numitorul: $\frac{1}{2}$ = =
Sfat util: Când calculezi cu fracții, asigură-te că faci operațiile în ordinea corectă. Mai întâi parantezele, apoi puterile, și în final împărțirea sau înmulțirea!
Acum facem împărțirea: : = =
Rezultatul corect este .

Să rezolvăm ecuația .
Când avem două fracții egale, putem aplica regula înmulțirii în cruce (sau "produsul mediilor este egal cu produsul extremelor"):
Înmulțim: $12x - 24 = 42$
Adunăm 24 la ambele părți: $12x = 42 + 2412x = 66$
Împărțim cu 12:
Reține: La proporții, înmulțirea în cruce este cea mai rapidă metodă de rezolvare. Verifică întotdeauna rezultatul în ecuația originală!
Verificare:
Deci este soluția corectă.

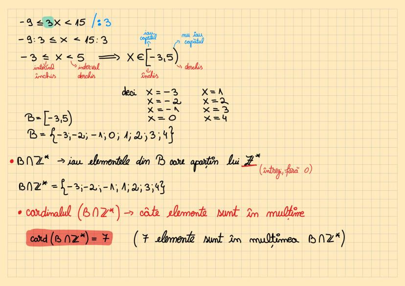
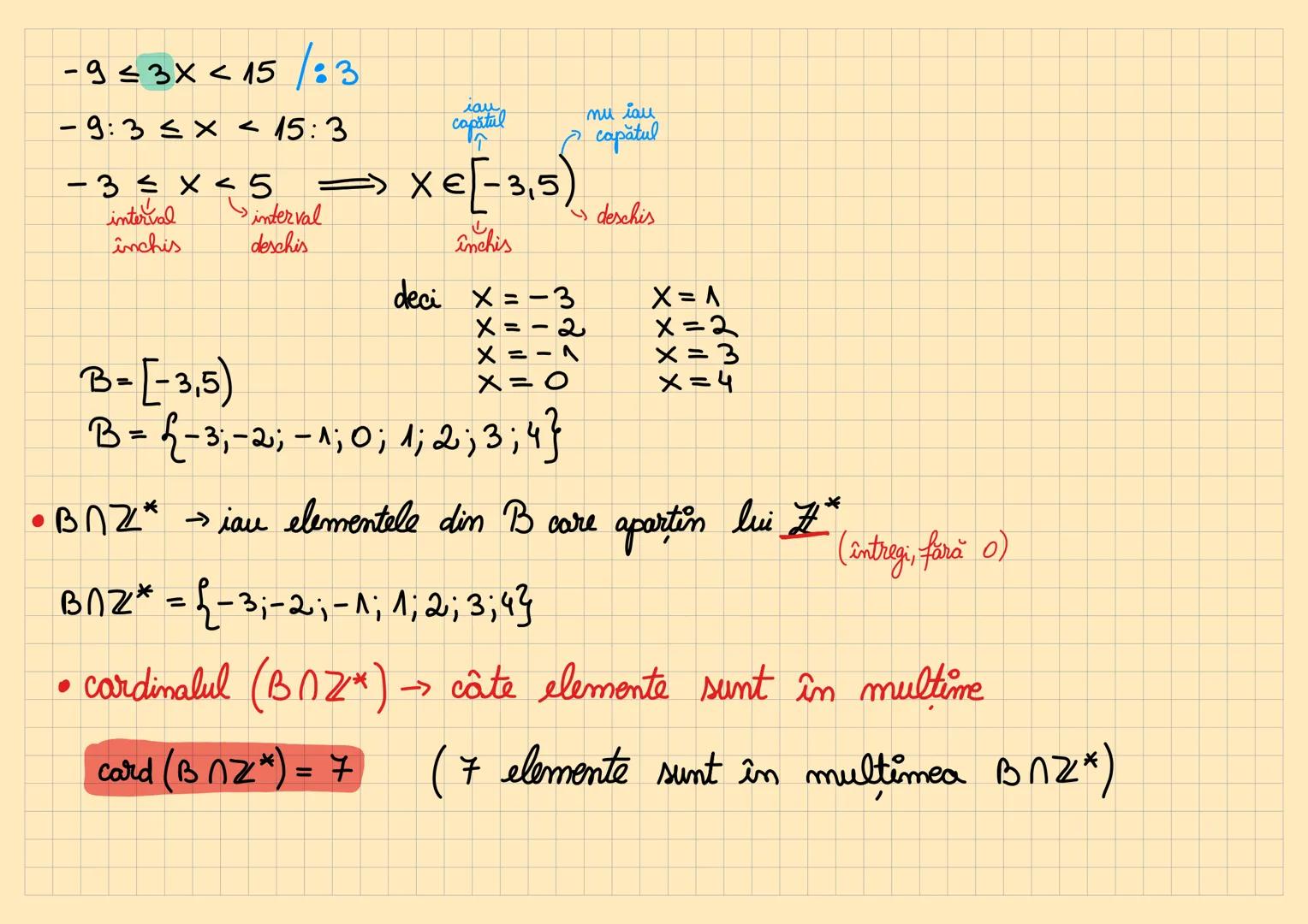
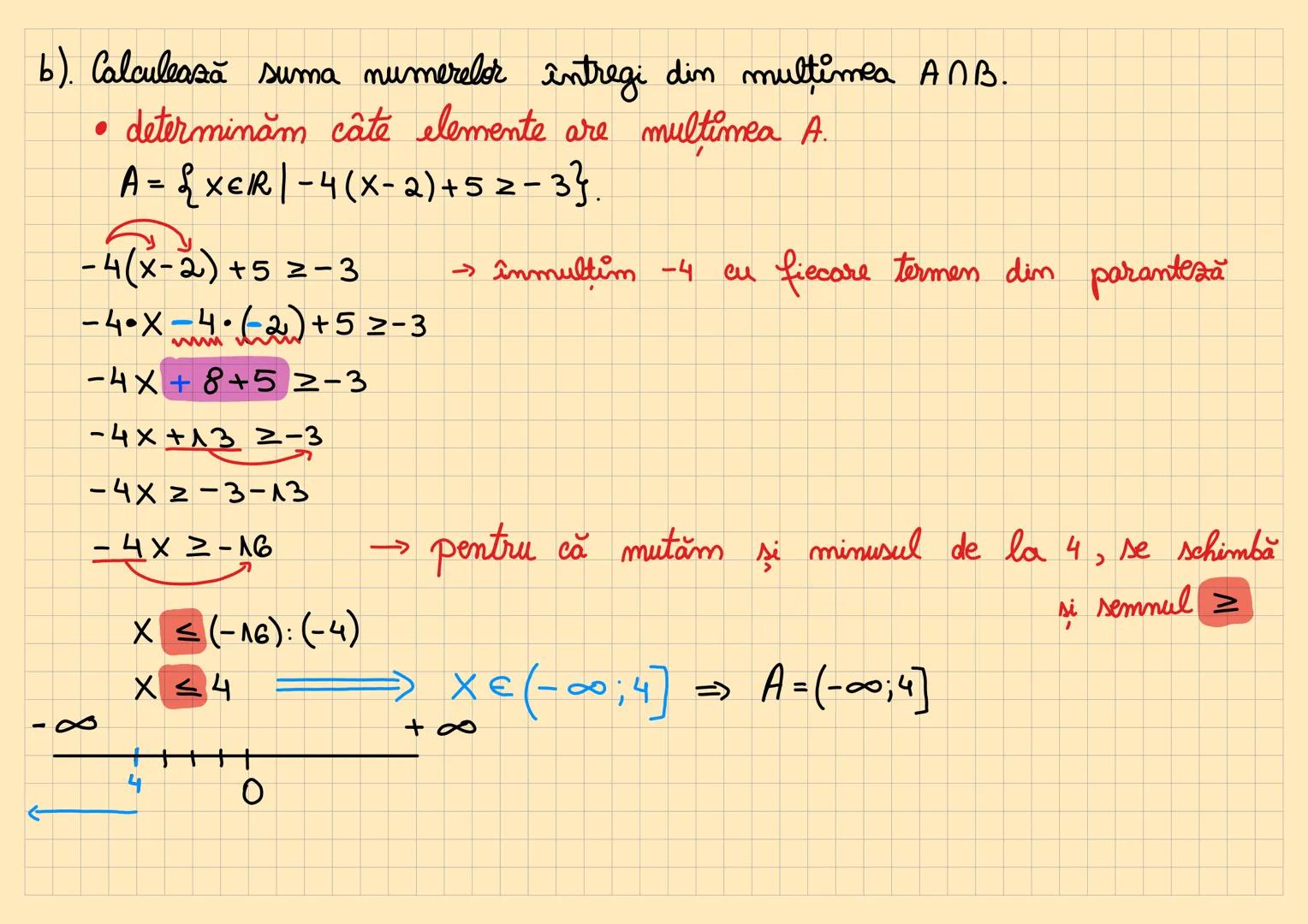
Să calculăm produsul numerelor întregi din intervalul (-1,4).
Mai întâi, identificăm ce numere conține intervalul:
Deci avem numerele: 0, 1, 2, 3
Calculăm produsul lor: $0 \cdot 1 \cdot 2 \cdot 3 = 0$
Important: Orice număr înmulțit cu zero dă rezultatul zero! Deci dacă ai zero într-un produs, rezultatul final va fi întotdeauna zero.
Produsul numerelor întregi din intervalul (-1,4) este 0.

Să rezolvăm: dacă $5a + 15b + 2c = 48c = 4a + 3b$?
Înlocuim în ecuație: $5a + 15b + 2 \cdot 4 = 485a + 15b + 8 = 485a + 15b = 48 - 85a + 15b = 40$
Împărțim toată ecuația la 5:
Deci este rezultatul căutat.
Pont: Când vrei să afli valoarea unei expresii precum , nu e necesar să calculezi valorile individuale ale lui și dacă poți ajunge direct la expresie!

Trebuie să verificăm care elev a calculat corect media aritmetică a numerelor și .
Formula mediei aritmetice este .
Calculăm:
Adunăm termenii asemenea:
Sfat: Când aduni expresii cu radicali, poți aduna doar termenii care au același radical. În cazul acesta, $3\sqrt{3}5\sqrt{3}\sqrt{3}$.
Verificând tabelul, elevul care a calculat corect este Emil, cu rezultatul $4\sqrt{3}$.

Un creion și un stilou costă 7 lei. Stiloul este cu 3 lei mai scump decât creionul. Maria afirmă că prețul unui creion este de 2 lei. Să verificăm dacă are dreptate.
Notăm prețurile:
Din enunț avem două ecuații:
Înlocuim a doua ecuație în prima: $2c + 3 = 72c = 4c = 2$
Gândește practic: Poți verifica rezultatul! Dacă creionul costă 2 lei, stiloul costă 2+3=5 lei, și împreună dau 2+5=7 lei.
Deci Maria are dreptate, creionul costă 2 lei.

În figura dată, cm și cm. Punctele și sunt mijloacele segmentelor și . Să găsim lungimea segmentului .
Știm că este mijlocul lui , deci: cm
De asemenea, este mijlocul lui , deci: cm
Acum putem calcula : cm
Vizualizează: Desenează figura pe hârtie și marchează toate lungimile cunoscute. Acest lucru te ajută să vezi mai clar cum să rezolvi problema!
Deci lungimea segmentului este 11 cm.

În figura dată, avem unghiuri în jurul punctului O: , , și . Să aflăm valoarea lui .
Știm că suma unghiurilor în jurul unui punct este $360°\angle AOB + \angle BOC + \angle COD + \angle DOA = 360°$
Înlocuim valorile:
Adunăm termenii cu : $7x + 80° = 360°7x = 360° - 80° = 280°x = 40°$
Reține: Suma unghiurilor în jurul unui punct este întotdeauna 360°, iar suma unghiurilor într-un triunghi este 180°.
Deci .

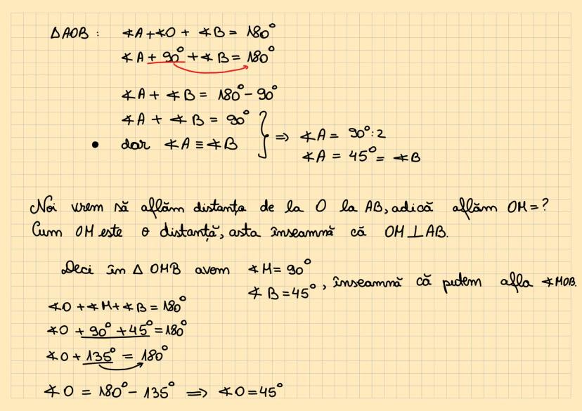
În triunghiul dreptunghic , cu unghi drept în și , bisectoarea unghiului intersectează latura în . Dacă cm, să aflăm distanța de la la dreapta .
Mai întâi, calculăm : Într-un triunghi, suma unghiurilor este $180°90° + \angle B + 30° = 180°\angle B = 60°$
Dacă este bisectoare, atunci
În triunghiul , avem , deci triunghiul este isoscel, ceea ce înseamnă că cm.
Teorema înălțimii: Distanța de la un vârf la o dreaptă este perpendiculara coborâtă din acel vârf pe dreaptă.
Folosind teorema unghiului de 30°, distanța de la la este jumătate din ipotenuza , adică $8/2 = 4$ cm.

În paralelogramul , diagonala cm. este mijlocul laturii , iar segmentele și se intersectează în . Să găsim lungimea segmentului .
Când o mediană și o diagonală se intersectează într-un paralelogram, punctul de intersecție împarte diagonala în raportul 1:2.
Astfel, cm.
Proprietate utilă: Într-un paralelogram, când o mediană intersectează o diagonală, punctul de intersecție împarte diagonala în raportul 1:2, cu partea mai scurtă spre vârful de unde pleacă mediana.
Deci lungimea segmentului este 4 cm.































Companionul nostru AI este creat special pentru nevoile studenților. Bazându-ne pe milioanele de materiale de pe platformă, putem oferi răspunsuri exacte și relevante pentru studenți. Dar nu este vorba doar despre răspunsuri, companionul este mai ales despre ghidarea studenților prin provocările zilnice de învățare, cu planuri de studiu personalizate, chestionare sau conținuturi în chat și personalizare 100% bazată pe abilitățile și evoluțiile studenților.
Aplicația este disponibilă în Google Play Store și Apple App Store.
Da! Bucură-te de access la materiale de studiu, conectează-te cu alți elevi, și primește ajutor instant - toate acestea la un click distanță. În plus, câștigă puncte ca să deblochezi mai multe funcționalități!
App Store
Google Play
Aplicația este foarte ușor de utilizat și bine concepută. Am găsit tot ce căutam până acum și am reușit să învăț multe din prezentări! Cu siguranță voi folosi aplicația pentru o temă la clasă! Și desigur, ajută mult ca sursă de inspirație.
Ștefan S
utilizator iOS
Această aplicație este super. Sunt atât de multe materiale de studiu și ajutor pentru elevi [...]. Materia mea mai problematică este franceza, de exemplu, și aplicația oferă foarte multe materiale ajutătoare. Mulțumită acestei aplicații, mi-am îmbunătățit franceza. Aș recomanda-o oricui.
Samantha Klich
utilizator Android
Wow, sunt cu adevărat impresionat. Am încercat aplicația pentru că am văzut-o promovată de multe ori și am rămas uimit. Aceasta este AJUTORUL de care ai nevoie pentru școală și, mai presus de toate, oferă atât de multe lucruri, precum exerciții și fișe de informații, care mi-au fost FOARTE de ajutor.
Anna
utilizator iOS
Te ajută să înveți foarte repede și ști foarte bine ce ai dori tu să înveți, vă recomand cu drag să încercați și să învățați mai repede.!
Thomas R
utilizator iOS
Foarte bună aplicația!!!! Mă ajută să înțeleg mult mai bine lecțiile și temele le termin mult mai repede.👍❤️
Paul P
utilizator Android
Te ajută foarte bine la teme acest robot,recomand!
David K
utilizator iOS
Aplicația e grozavă! Tot ce trebuie să fac este să introduc subiectul în bara de căutare și primesc răspunsul foarte rapid. Nu mai trebuie să mă uit la 10 videoclipuri pe YouTube pentru a înțelege ceva, deci îmi economisesc timpul. Super recomandat!
Sudenaz Ocak
utilizator Android
La școală eram chiar slab la matematică, dar datorită aplicației, mă descurc mai bine acum. Sunt atât de recunoscător că ai creat aplicația.
Greenlight Bonnie
utilizator Android
Această aplicație e super interesantă și seamănă ca tiktok-ul doar că tu ai doar teorie și explicații.
Karla S
utilizator Android
Nu mai trebuie să stau cu orele să învăț după caiet când pot să citesc de 2 ori lecțiile care apar aici și iau 10 la test ! Knowunity m-a ajutat să iau nota 9,20 la română ! Voi recomanda ff tare aceasta aplicate , să nu uităm ca are și chat GPT !👍🏻
Denisa B
utilizator iOS
CHESTIONARELE ȘI FLASHCARD-URILE SUNT ATÂT DE UTILE ȘI IUBESC Knowunity AI. E LITERALMENTE CA CHATGPT DOAR CĂ MAI DEȘTEPT!! M-A AJUTAT ȘI CU PROBLEMELE MELE CU MASCARA!! PLUS CU MATERIILE MELE ADEVĂRATE! EVIDENT 😍😁😲🤑💗✨🎀😮
Sarah L
utilizator Android
Este foarte bună te ajută la teme te face să înțelegi lecțiile am înțeles o lecție în 20 de minute i singură nu reușeam să o învăț dar cu Knowunity am învățat-o foarte ușor
Alessia V
utilizator iOS
Aplicația este foarte ușor de utilizat și bine concepută. Am găsit tot ce căutam până acum și am reușit să învăț multe din prezentări! Cu siguranță voi folosi aplicația pentru o temă la clasă! Și desigur, ajută mult ca sursă de inspirație.
Ștefan S
utilizator iOS
Această aplicație este super. Sunt atât de multe materiale de studiu și ajutor pentru elevi [...]. Materia mea mai problematică este franceza, de exemplu, și aplicația oferă foarte multe materiale ajutătoare. Mulțumită acestei aplicații, mi-am îmbunătățit franceza. Aș recomanda-o oricui.
Samantha Klich
utilizator Android
Wow, sunt cu adevărat impresionat. Am încercat aplicația pentru că am văzut-o promovată de multe ori și am rămas uimit. Aceasta este AJUTORUL de care ai nevoie pentru școală și, mai presus de toate, oferă atât de multe lucruri, precum exerciții și fișe de informații, care mi-au fost FOARTE de ajutor.
Anna
utilizator iOS
Te ajută să înveți foarte repede și ști foarte bine ce ai dori tu să înveți, vă recomand cu drag să încercați și să învățați mai repede.!
Thomas R
utilizator iOS
Foarte bună aplicația!!!! Mă ajută să înțeleg mult mai bine lecțiile și temele le termin mult mai repede.👍❤️
Paul P
utilizator Android
Te ajută foarte bine la teme acest robot,recomand!
David K
utilizator iOS
Aplicația e grozavă! Tot ce trebuie să fac este să introduc subiectul în bara de căutare și primesc răspunsul foarte rapid. Nu mai trebuie să mă uit la 10 videoclipuri pe YouTube pentru a înțelege ceva, deci îmi economisesc timpul. Super recomandat!
Sudenaz Ocak
utilizator Android
La școală eram chiar slab la matematică, dar datorită aplicației, mă descurc mai bine acum. Sunt atât de recunoscător că ai creat aplicația.
Greenlight Bonnie
utilizator Android
Această aplicație e super interesantă și seamănă ca tiktok-ul doar că tu ai doar teorie și explicații.
Karla S
utilizator Android
Nu mai trebuie să stau cu orele să învăț după caiet când pot să citesc de 2 ori lecțiile care apar aici și iau 10 la test ! Knowunity m-a ajutat să iau nota 9,20 la română ! Voi recomanda ff tare aceasta aplicate , să nu uităm ca are și chat GPT !👍🏻
Denisa B
utilizator iOS
CHESTIONARELE ȘI FLASHCARD-URILE SUNT ATÂT DE UTILE ȘI IUBESC Knowunity AI. E LITERALMENTE CA CHATGPT DOAR CĂ MAI DEȘTEPT!! M-A AJUTAT ȘI CU PROBLEMELE MELE CU MASCARA!! PLUS CU MATERIILE MELE ADEVĂRATE! EVIDENT 😍😁😲🤑💗✨🎀😮
Sarah L
utilizator Android
Este foarte bună te ajută la teme te face să înțelegi lecțiile am înțeles o lecție în 20 de minute i singură nu reușeam să o învăț dar cu Knowunity am învățat-o foarte ușor
Alessia V
utilizator iOS
Elena Andreea Zamfir
@elenaandreeazam
Hai să explorăm matematica împreună! În aceste notițe, vom rezolva mai multe tipuri de exerciții matematice, de la fracții și ecuații, la geometrie și algebră. Vei vedea că orice problemă are o soluție când o abordezi pas cu pas.

Acces la toate documentele
Îmbunătățește notele tale!
Alătură-te milioanelor de elevi
Să rezolvăm exercițiul 3 - $\frac{5}{2}$ : .
Prima dată, rezolvăm ce avem în paranteză. Pentru a face scăderea, trebuie să aducem termenii la același numitor:
3 - $\frac{5}{2}$ = $\frac{6}{2}$ - $\frac{5}{2}$ = =
Acum calculăm expresia: $\frac{1}{2}$ :
Când ridicăm o fracție la putere, ridicăm atât numărătorul cât și numitorul: $\frac{1}{2}$ = =
Sfat util: Când calculezi cu fracții, asigură-te că faci operațiile în ordinea corectă. Mai întâi parantezele, apoi puterile, și în final împărțirea sau înmulțirea!
Acum facem împărțirea: : = =
Rezultatul corect este .

Acces la toate documentele
Îmbunătățește notele tale!
Alătură-te milioanelor de elevi
Să rezolvăm ecuația .
Când avem două fracții egale, putem aplica regula înmulțirii în cruce (sau "produsul mediilor este egal cu produsul extremelor"):
Înmulțim: $12x - 24 = 42$
Adunăm 24 la ambele părți: $12x = 42 + 2412x = 66$
Împărțim cu 12:
Reține: La proporții, înmulțirea în cruce este cea mai rapidă metodă de rezolvare. Verifică întotdeauna rezultatul în ecuația originală!
Verificare:
Deci este soluția corectă.

Acces la toate documentele
Îmbunătățește notele tale!
Alătură-te milioanelor de elevi
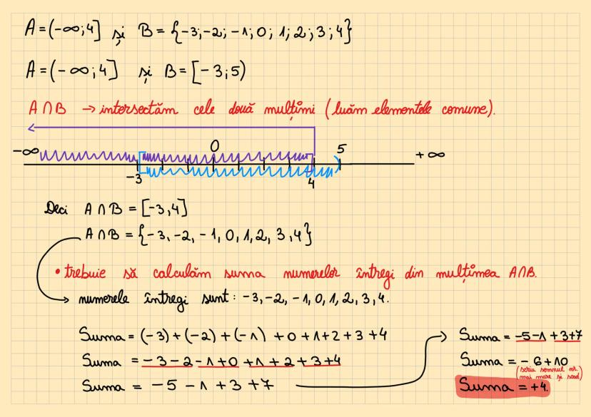
Să calculăm produsul numerelor întregi din intervalul (-1,4).
Mai întâi, identificăm ce numere conține intervalul:
Deci avem numerele: 0, 1, 2, 3
Calculăm produsul lor: $0 \cdot 1 \cdot 2 \cdot 3 = 0$
Important: Orice număr înmulțit cu zero dă rezultatul zero! Deci dacă ai zero într-un produs, rezultatul final va fi întotdeauna zero.
Produsul numerelor întregi din intervalul (-1,4) este 0.

Acces la toate documentele
Îmbunătățește notele tale!
Alătură-te milioanelor de elevi
Să rezolvăm: dacă $5a + 15b + 2c = 48c = 4a + 3b$?
Înlocuim în ecuație: $5a + 15b + 2 \cdot 4 = 485a + 15b + 8 = 485a + 15b = 48 - 85a + 15b = 40$
Împărțim toată ecuația la 5:
Deci este rezultatul căutat.
Pont: Când vrei să afli valoarea unei expresii precum , nu e necesar să calculezi valorile individuale ale lui și dacă poți ajunge direct la expresie!

Acces la toate documentele
Îmbunătățește notele tale!
Alătură-te milioanelor de elevi
Trebuie să verificăm care elev a calculat corect media aritmetică a numerelor și .
Formula mediei aritmetice este .
Calculăm:
Adunăm termenii asemenea:
Sfat: Când aduni expresii cu radicali, poți aduna doar termenii care au același radical. În cazul acesta, $3\sqrt{3}5\sqrt{3}\sqrt{3}$.
Verificând tabelul, elevul care a calculat corect este Emil, cu rezultatul $4\sqrt{3}$.

Acces la toate documentele
Îmbunătățește notele tale!
Alătură-te milioanelor de elevi
Un creion și un stilou costă 7 lei. Stiloul este cu 3 lei mai scump decât creionul. Maria afirmă că prețul unui creion este de 2 lei. Să verificăm dacă are dreptate.
Notăm prețurile:
Din enunț avem două ecuații:
Înlocuim a doua ecuație în prima: $2c + 3 = 72c = 4c = 2$
Gândește practic: Poți verifica rezultatul! Dacă creionul costă 2 lei, stiloul costă 2+3=5 lei, și împreună dau 2+5=7 lei.
Deci Maria are dreptate, creionul costă 2 lei.

Acces la toate documentele
Îmbunătățește notele tale!
Alătură-te milioanelor de elevi
În figura dată, cm și cm. Punctele și sunt mijloacele segmentelor și . Să găsim lungimea segmentului .
Știm că este mijlocul lui , deci: cm
De asemenea, este mijlocul lui , deci: cm
Acum putem calcula : cm
Vizualizează: Desenează figura pe hârtie și marchează toate lungimile cunoscute. Acest lucru te ajută să vezi mai clar cum să rezolvi problema!
Deci lungimea segmentului este 11 cm.

Acces la toate documentele
Îmbunătățește notele tale!
Alătură-te milioanelor de elevi
În figura dată, avem unghiuri în jurul punctului O: , , și . Să aflăm valoarea lui .
Știm că suma unghiurilor în jurul unui punct este $360°\angle AOB + \angle BOC + \angle COD + \angle DOA = 360°$
Înlocuim valorile:
Adunăm termenii cu : $7x + 80° = 360°7x = 360° - 80° = 280°x = 40°$
Reține: Suma unghiurilor în jurul unui punct este întotdeauna 360°, iar suma unghiurilor într-un triunghi este 180°.
Deci .

Acces la toate documentele
Îmbunătățește notele tale!
Alătură-te milioanelor de elevi
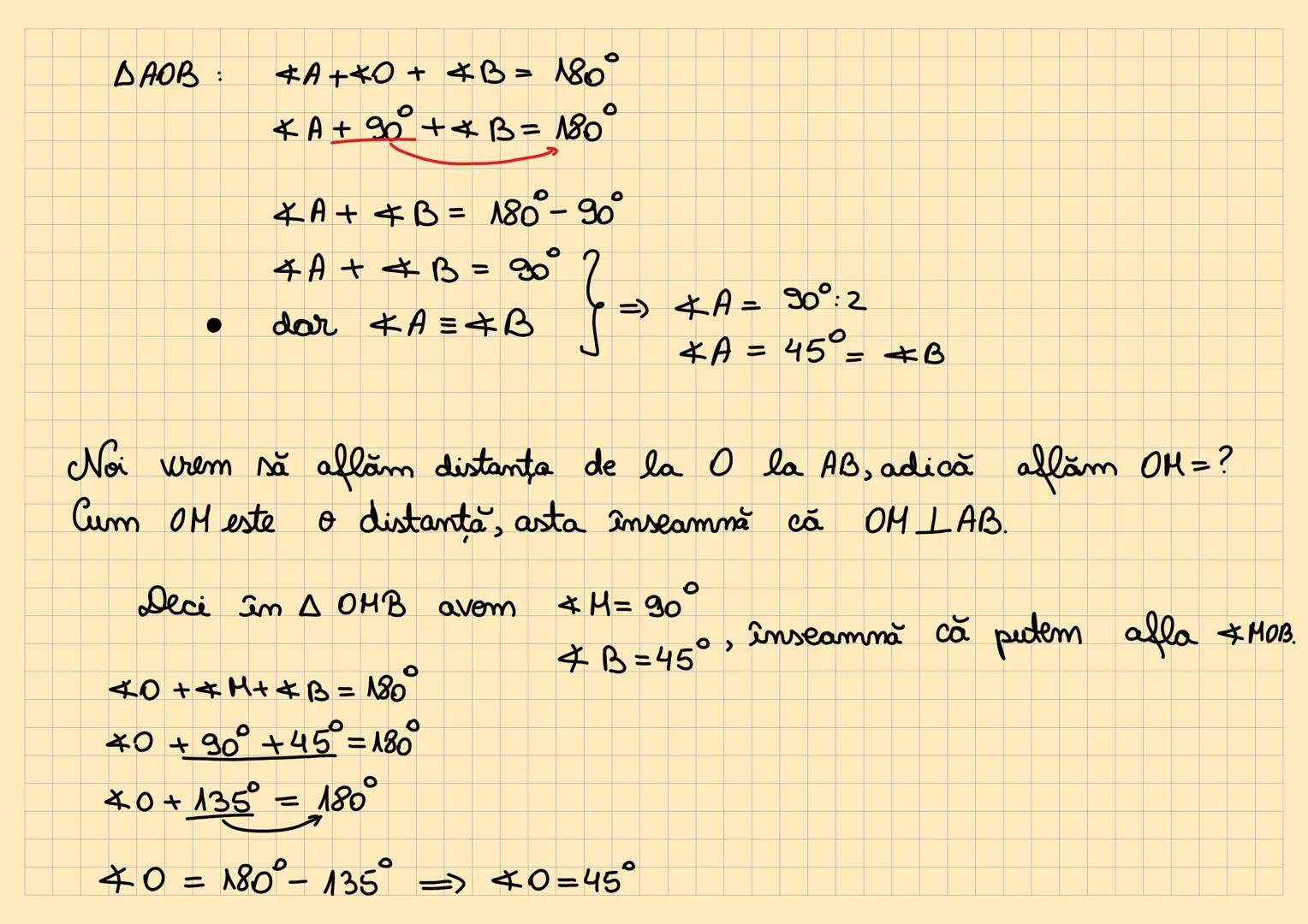
În triunghiul dreptunghic , cu unghi drept în și , bisectoarea unghiului intersectează latura în . Dacă cm, să aflăm distanța de la la dreapta .
Mai întâi, calculăm : Într-un triunghi, suma unghiurilor este $180°90° + \angle B + 30° = 180°\angle B = 60°$
Dacă este bisectoare, atunci
În triunghiul , avem , deci triunghiul este isoscel, ceea ce înseamnă că cm.
Teorema înălțimii: Distanța de la un vârf la o dreaptă este perpendiculara coborâtă din acel vârf pe dreaptă.
Folosind teorema unghiului de 30°, distanța de la la este jumătate din ipotenuza , adică $8/2 = 4$ cm.

Acces la toate documentele
Îmbunătățește notele tale!
Alătură-te milioanelor de elevi
În paralelogramul , diagonala cm. este mijlocul laturii , iar segmentele și se intersectează în . Să găsim lungimea segmentului .
Când o mediană și o diagonală se intersectează într-un paralelogram, punctul de intersecție împarte diagonala în raportul 1:2.
Astfel, cm.
Proprietate utilă: Într-un paralelogram, când o mediană intersectează o diagonală, punctul de intersecție împarte diagonala în raportul 1:2, cu partea mai scurtă spre vârful de unde pleacă mediana.
Deci lungimea segmentului este 4 cm.

Acces la toate documentele
Îmbunătățește notele tale!
Alătură-te milioanelor de elevi

Acces la toate documentele
Îmbunătățește notele tale!
Alătură-te milioanelor de elevi

Acces la toate documentele
Îmbunătățește notele tale!
Alătură-te milioanelor de elevi

Acces la toate documentele
Îmbunătățește notele tale!
Alătură-te milioanelor de elevi

Acces la toate documentele
Îmbunătățește notele tale!
Alătură-te milioanelor de elevi

Acces la toate documentele
Îmbunătățește notele tale!
Alătură-te milioanelor de elevi

Acces la toate documentele
Îmbunătățește notele tale!
Alătură-te milioanelor de elevi

Acces la toate documentele
Îmbunătățește notele tale!
Alătură-te milioanelor de elevi

Acces la toate documentele
Îmbunătățește notele tale!
Alătură-te milioanelor de elevi

Acces la toate documentele
Îmbunătățește notele tale!
Alătură-te milioanelor de elevi

Acces la toate documentele
Îmbunătățește notele tale!
Alătură-te milioanelor de elevi

Acces la toate documentele
Îmbunătățește notele tale!
Alătură-te milioanelor de elevi

Acces la toate documentele
Îmbunătățește notele tale!
Alătură-te milioanelor de elevi

Acces la toate documentele
Îmbunătățește notele tale!
Alătură-te milioanelor de elevi

Acces la toate documentele
Îmbunătățește notele tale!
Alătură-te milioanelor de elevi

Acces la toate documentele
Îmbunătățește notele tale!
Alătură-te milioanelor de elevi

Acces la toate documentele
Îmbunătățește notele tale!
Alătură-te milioanelor de elevi

Acces la toate documentele
Îmbunătățește notele tale!
Alătură-te milioanelor de elevi

Acces la toate documentele
Îmbunătățește notele tale!
Alătură-te milioanelor de elevi

Acces la toate documentele
Îmbunătățește notele tale!
Alătură-te milioanelor de elevi

Acces la toate documentele
Îmbunătățește notele tale!
Alătură-te milioanelor de elevi

Acces la toate documentele
Îmbunătățește notele tale!
Alătură-te milioanelor de elevi

Acces la toate documentele
Îmbunătățește notele tale!
Alătură-te milioanelor de elevi

Acces la toate documentele
Îmbunătățește notele tale!
Alătură-te milioanelor de elevi

Acces la toate documentele
Îmbunătățește notele tale!
Alătură-te milioanelor de elevi

Acces la toate documentele
Îmbunătățește notele tale!
Alătură-te milioanelor de elevi

Acces la toate documentele
Îmbunătățește notele tale!
Alătură-te milioanelor de elevi

Acces la toate documentele
Îmbunătățește notele tale!
Alătură-te milioanelor de elevi

Acces la toate documentele
Îmbunătățește notele tale!
Alătură-te milioanelor de elevi

Acces la toate documentele
Îmbunătățește notele tale!
Alătură-te milioanelor de elevi

Acces la toate documentele
Îmbunătățește notele tale!
Alătură-te milioanelor de elevi
Companionul nostru AI este creat special pentru nevoile studenților. Bazându-ne pe milioanele de materiale de pe platformă, putem oferi răspunsuri exacte și relevante pentru studenți. Dar nu este vorba doar despre răspunsuri, companionul este mai ales despre ghidarea studenților prin provocările zilnice de învățare, cu planuri de studiu personalizate, chestionare sau conținuturi în chat și personalizare 100% bazată pe abilitățile și evoluțiile studenților.
Aplicația este disponibilă în Google Play Store și Apple App Store.
Da! Bucură-te de access la materiale de studiu, conectează-te cu alți elevi, și primește ajutor instant - toate acestea la un click distanță. În plus, câștigă puncte ca să deblochezi mai multe funcționalități!
3
Instrumente inteligente NOU
Transformă această notiță în: ✓ 50+ întrebări de exersare ✓ Flashcard-uri interactive ✓ Examen de practică complet ✓ Planuri de eseu
App Store
Google Play
Aplicația este foarte ușor de utilizat și bine concepută. Am găsit tot ce căutam până acum și am reușit să învăț multe din prezentări! Cu siguranță voi folosi aplicația pentru o temă la clasă! Și desigur, ajută mult ca sursă de inspirație.
Ștefan S
utilizator iOS
Această aplicație este super. Sunt atât de multe materiale de studiu și ajutor pentru elevi [...]. Materia mea mai problematică este franceza, de exemplu, și aplicația oferă foarte multe materiale ajutătoare. Mulțumită acestei aplicații, mi-am îmbunătățit franceza. Aș recomanda-o oricui.
Samantha Klich
utilizator Android
Wow, sunt cu adevărat impresionat. Am încercat aplicația pentru că am văzut-o promovată de multe ori și am rămas uimit. Aceasta este AJUTORUL de care ai nevoie pentru școală și, mai presus de toate, oferă atât de multe lucruri, precum exerciții și fișe de informații, care mi-au fost FOARTE de ajutor.
Anna
utilizator iOS
Te ajută să înveți foarte repede și ști foarte bine ce ai dori tu să înveți, vă recomand cu drag să încercați și să învățați mai repede.!
Thomas R
utilizator iOS
Foarte bună aplicația!!!! Mă ajută să înțeleg mult mai bine lecțiile și temele le termin mult mai repede.👍❤️
Paul P
utilizator Android
Te ajută foarte bine la teme acest robot,recomand!
David K
utilizator iOS
Aplicația e grozavă! Tot ce trebuie să fac este să introduc subiectul în bara de căutare și primesc răspunsul foarte rapid. Nu mai trebuie să mă uit la 10 videoclipuri pe YouTube pentru a înțelege ceva, deci îmi economisesc timpul. Super recomandat!
Sudenaz Ocak
utilizator Android
La școală eram chiar slab la matematică, dar datorită aplicației, mă descurc mai bine acum. Sunt atât de recunoscător că ai creat aplicația.
Greenlight Bonnie
utilizator Android
Această aplicație e super interesantă și seamănă ca tiktok-ul doar că tu ai doar teorie și explicații.
Karla S
utilizator Android
Nu mai trebuie să stau cu orele să învăț după caiet când pot să citesc de 2 ori lecțiile care apar aici și iau 10 la test ! Knowunity m-a ajutat să iau nota 9,20 la română ! Voi recomanda ff tare aceasta aplicate , să nu uităm ca are și chat GPT !👍🏻
Denisa B
utilizator iOS
CHESTIONARELE ȘI FLASHCARD-URILE SUNT ATÂT DE UTILE ȘI IUBESC Knowunity AI. E LITERALMENTE CA CHATGPT DOAR CĂ MAI DEȘTEPT!! M-A AJUTAT ȘI CU PROBLEMELE MELE CU MASCARA!! PLUS CU MATERIILE MELE ADEVĂRATE! EVIDENT 😍😁😲🤑💗✨🎀😮
Sarah L
utilizator Android
Este foarte bună te ajută la teme te face să înțelegi lecțiile am înțeles o lecție în 20 de minute i singură nu reușeam să o învăț dar cu Knowunity am învățat-o foarte ușor
Alessia V
utilizator iOS
Aplicația este foarte ușor de utilizat și bine concepută. Am găsit tot ce căutam până acum și am reușit să învăț multe din prezentări! Cu siguranță voi folosi aplicația pentru o temă la clasă! Și desigur, ajută mult ca sursă de inspirație.
Ștefan S
utilizator iOS
Această aplicație este super. Sunt atât de multe materiale de studiu și ajutor pentru elevi [...]. Materia mea mai problematică este franceza, de exemplu, și aplicația oferă foarte multe materiale ajutătoare. Mulțumită acestei aplicații, mi-am îmbunătățit franceza. Aș recomanda-o oricui.
Samantha Klich
utilizator Android
Wow, sunt cu adevărat impresionat. Am încercat aplicația pentru că am văzut-o promovată de multe ori și am rămas uimit. Aceasta este AJUTORUL de care ai nevoie pentru școală și, mai presus de toate, oferă atât de multe lucruri, precum exerciții și fișe de informații, care mi-au fost FOARTE de ajutor.
Anna
utilizator iOS
Te ajută să înveți foarte repede și ști foarte bine ce ai dori tu să înveți, vă recomand cu drag să încercați și să învățați mai repede.!
Thomas R
utilizator iOS
Foarte bună aplicația!!!! Mă ajută să înțeleg mult mai bine lecțiile și temele le termin mult mai repede.👍❤️
Paul P
utilizator Android
Te ajută foarte bine la teme acest robot,recomand!
David K
utilizator iOS
Aplicația e grozavă! Tot ce trebuie să fac este să introduc subiectul în bara de căutare și primesc răspunsul foarte rapid. Nu mai trebuie să mă uit la 10 videoclipuri pe YouTube pentru a înțelege ceva, deci îmi economisesc timpul. Super recomandat!
Sudenaz Ocak
utilizator Android
La școală eram chiar slab la matematică, dar datorită aplicației, mă descurc mai bine acum. Sunt atât de recunoscător că ai creat aplicația.
Greenlight Bonnie
utilizator Android
Această aplicație e super interesantă și seamănă ca tiktok-ul doar că tu ai doar teorie și explicații.
Karla S
utilizator Android
Nu mai trebuie să stau cu orele să învăț după caiet când pot să citesc de 2 ori lecțiile care apar aici și iau 10 la test ! Knowunity m-a ajutat să iau nota 9,20 la română ! Voi recomanda ff tare aceasta aplicate , să nu uităm ca are și chat GPT !👍🏻
Denisa B
utilizator iOS
CHESTIONARELE ȘI FLASHCARD-URILE SUNT ATÂT DE UTILE ȘI IUBESC Knowunity AI. E LITERALMENTE CA CHATGPT DOAR CĂ MAI DEȘTEPT!! M-A AJUTAT ȘI CU PROBLEMELE MELE CU MASCARA!! PLUS CU MATERIILE MELE ADEVĂRATE! EVIDENT 😍😁😲🤑💗✨🎀😮
Sarah L
utilizator Android
Este foarte bună te ajută la teme te face să înțelegi lecțiile am înțeles o lecție în 20 de minute i singură nu reușeam să o învăț dar cu Knowunity am învățat-o foarte ușor
Alessia V
utilizator iOS