Acest auxiliar de matematică pentru clasa a XI-a acoperă trei... Afișează mai mult
Înscrie-te pentru a vedea CONȚINUTULE gratuit!
Acces la toate documentele
Îmbunătățește notele tale!
Alătură-te milioanelor de elevi
Knowunity AI
Mai mult
Materii
Triangle Congruence and Similarity Theorems
Triangle Properties and Classification
Linear Equations and Graphs
Geometric Angle Relationships
Trigonometric Functions and Identities
Equation Solving Techniques
Circle Geometry Fundamentals
Division Operations and Methods
Basic Differentiation Rules
Exponent and Logarithm Properties
Afișează toate materiile
Human Organ Systems
Reproductive Cell Cycles
Biological Sciences Subdisciplines
Cellular Energy Metabolism
Autotrophic Energy Processes
Inheritance Patterns and Principles
Biomolecular Structure and Organization
Cell Cycle and Division Mechanics
Cellular Organization and Development
Biological Structural Organization
Afișează toate materiile
Chemical Sciences and Applications
Atomic Structure and Composition
Molecular Electron Structure Representation
Atomic Electron Behavior
Matter Properties and Water
Mole Concept and Calculations
Gas Laws and Behavior
Periodic Table Organization
Chemical Thermodynamics Fundamentals
Chemical Bond Types and Properties
Afișează toate materiile
European Renaissance and Enlightenment
European Cultural Movements 800-1920
American Revolution Era 1763-1797
American Civil War 1861-1865
Global Imperial Systems
Mongol and Chinese Dynasties
U.S. Presidents and World Leaders
Historical Sources and Documentation
World Wars Era and Impact
World Religious Systems
Afișează toate materiile
Classic and Contemporary Novels
Literary Character Analysis
Rhetorical Theory and Practice
Classic Literary Narratives
Reading Analysis and Interpretation
Narrative Structure and Techniques
English Language Components
Influential English-Language Authors
Basic Sentence Structure
Narrative Voice and Perspective
Afișează toate materiile
2,071
•
Actualizat Apr 3, 2026
•
Biindyy
@riile.2020
Acest auxiliar de matematică pentru clasa a XI-a acoperă trei... Afișează mai mult










Auxiliarul de matematică pentru clasa a XI-a pe care îl vei folosi este aprobat oficial prin OMEN și acoperă teme fundamentale pentru profilul tehnic. Cartea se concentrează pe trei domenii principale: sisteme de ecuații liniare, funcții derivabile și studiul funcțiilor cu ajutorul derivatelor.
Autorii Marius Burtea și Georgeta Burtea, împreună cu o echipă largă de colaboratori, au creat un material bogat în probleme, exerciții și teste care te vor ajuta să înțelegi și să aplici conceptele matematice.
Sfat util: Folosește acest auxiliar ca pe un ghid practic pentru a exersa și a-ți consolida cunoștințele. Rezolvarea problemelor din această carte te va pregăti excelent atât pentru evaluările curente cât și pentru examenele viitoare!

Auxiliarul este organizat în trei capitole mari, fiecare acoperind teme esențiale pentru matematica de clasa a XI-a. Iată ce vei studia:
Capitolul I: Sisteme de ecuații liniare include matrice inversabile, ecuații matriceale și metode de rezolvare a sistemelor liniare (metoda Cramer și metoda Gauss). Acest capitol îți va dezvolta abilitățile de calcul matriceal, esențiale în matematica avansată.
Capitolul II: Funcții derivabile se concentrează pe conceptul de derivată, interpretarea geometrică, legătura dintre derivabilitate și continuitate, și reguli de derivare. Vei învăța să derivezi funcții elementare, să aplici operații cu funcții derivabile și să lucrezi cu regula lui L'Hospital.
Capitolul III: Studiul funcțiilor cu ajutorul derivatelor te va învăța cum să folosești derivatele pentru a analiza comportamentul funcțiilor și pentru a le reprezenta grafic.
Important: Capitolele sunt urmate de probleme recapitulative și secțiuni cu indicații și răspunsuri, care te vor ajuta să verifici dacă ai înțeles corect conceptele!

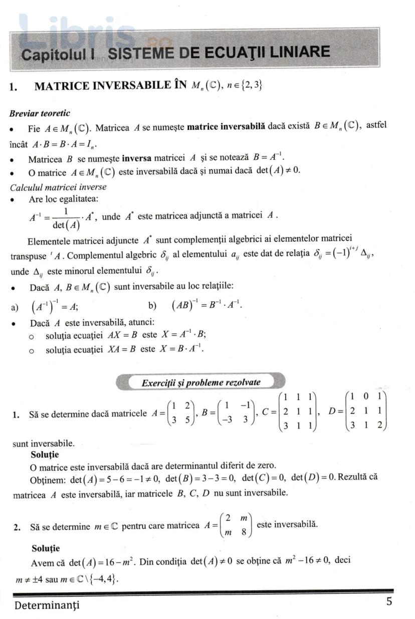
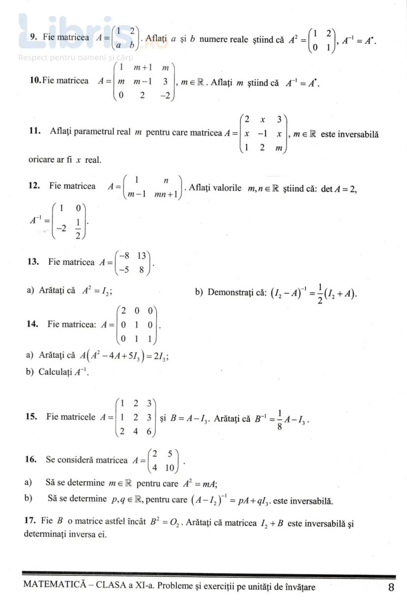
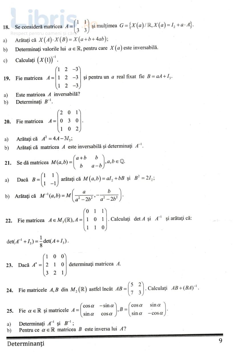
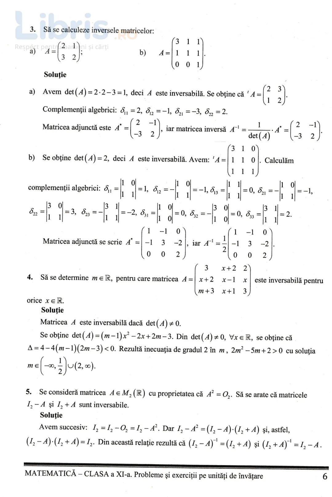
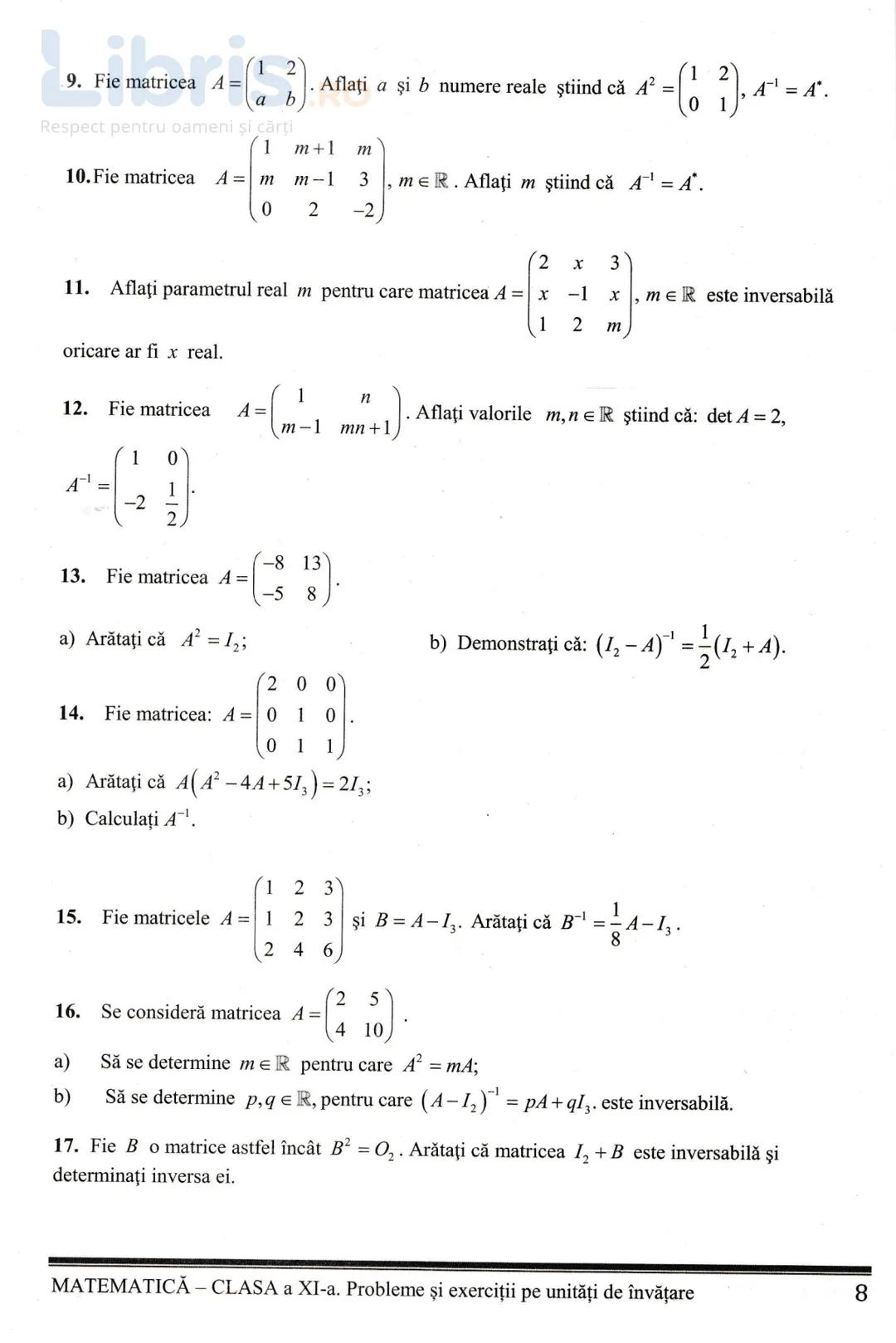
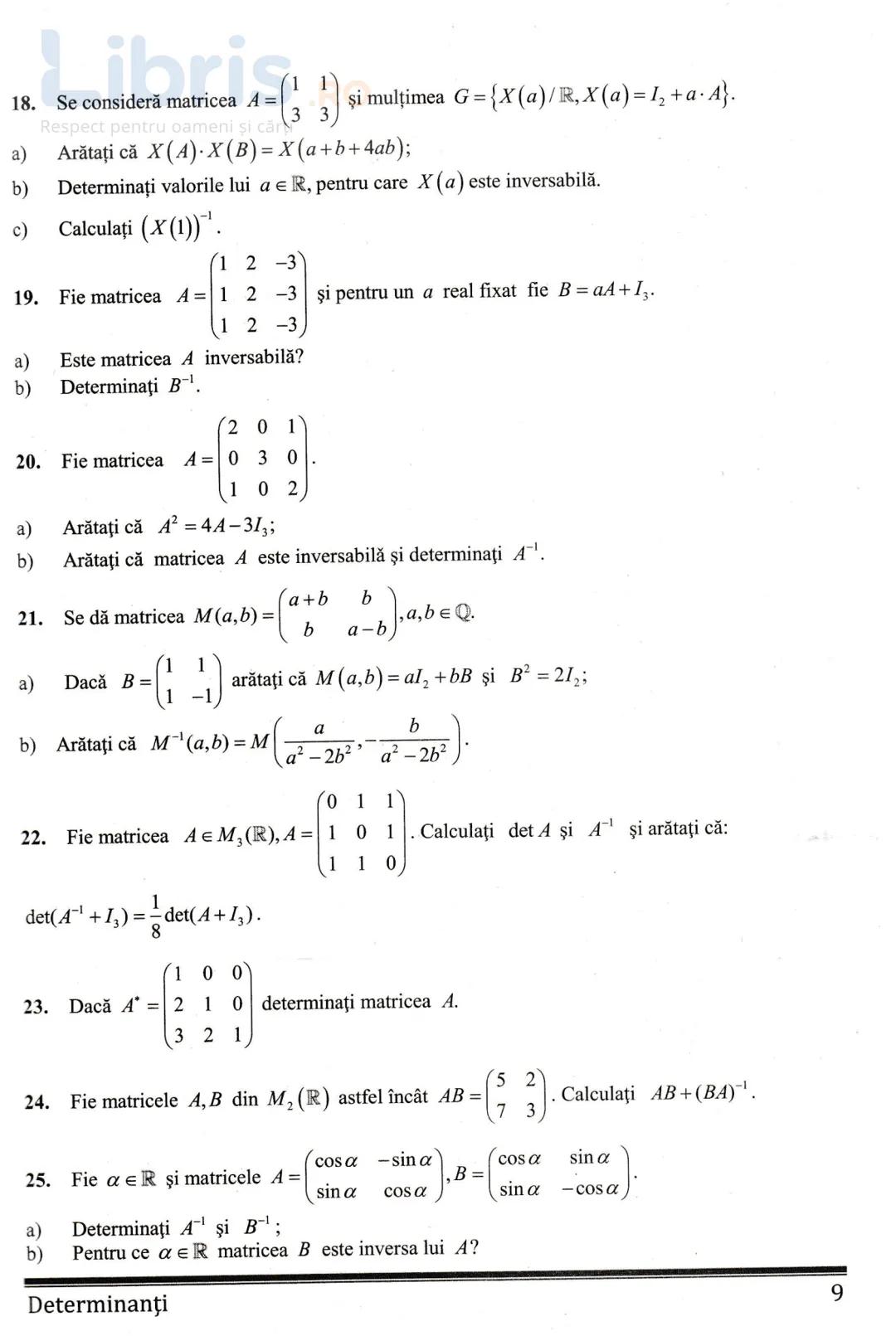
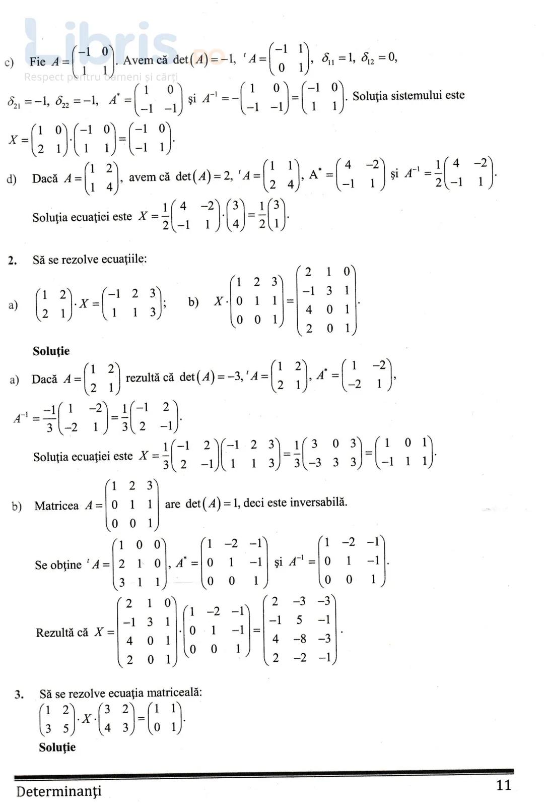
În această secțiune vei găsi probleme diverse despre matrice inversabile, o temă fundamentală din algebra liniară. Problemele te învață să calculezi valori pentru parametrii unor matrice cunoscând anumite proprietăți.
Vei lucra cu exerciții precum aflarea valorilor parametrilor a și b pentru care o matrice pătrată satisface condiția . De asemenea, vei întâlni situații unde trebuie să dovedești că o matrice este inversabilă și să determini inversa ei.
Multe probleme implică demonstrații matriceale, cum ar fi relația sau identități de tipul . Acestea îți dezvoltă gândirea logică și capacitatea de a manipula expresii matriceale.
Nu te speria! Deși problemele par complexe la prima vedere, ele urmăresc modele matematice similare, iar cu cât rezolvi mai multe, cu atât vei deveni mai abil în recunoașterea tiparelor și aplicarea tehnicilor potrivite.

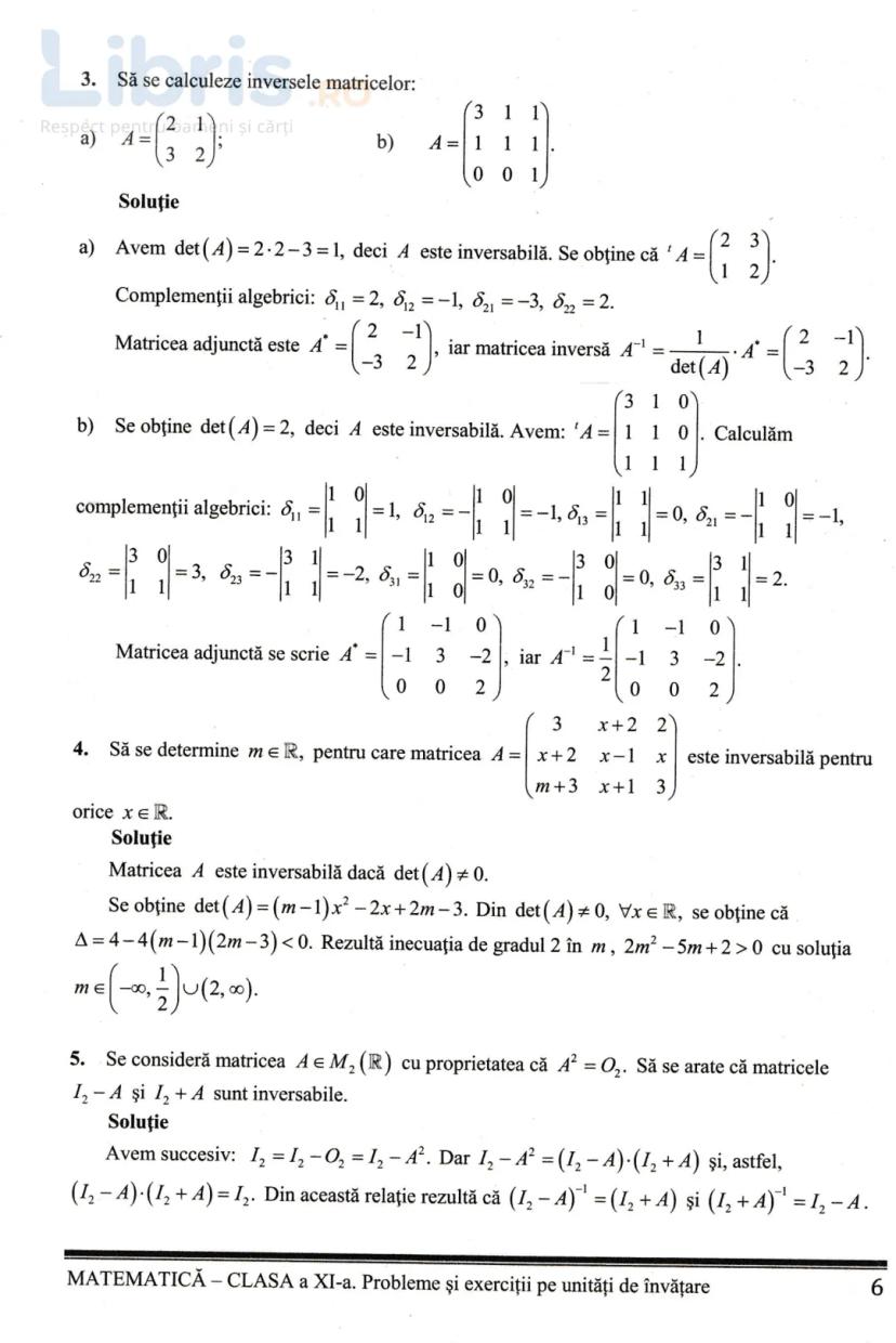
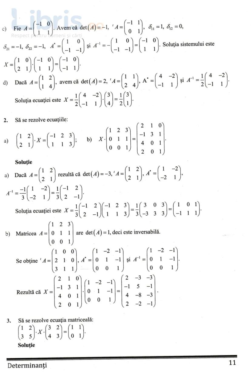
Ecuațiile matriceale reprezintă un tip special de probleme în care trebuie să găsești o matrice necunoscută X ce satisface o anumită relație. În această secțiune vei găsi exemple rezolvate complet, pas cu pas.
Prima parte prezintă probleme de tipul sau , unde trebuie să determini matricea X. Metoda standard de rezolvare este:
De exemplu, pentru ecuația , soluția este obținută calculând mai întâi inversa matricei din stânga, apoi înmulțind-o cu matricea din dreapta.
Observație practică: Pentru a ușura calculele, verifică întotdeauna dacă determinantul este 1 sau -1, ceea ce simplifică formula pentru inversa matricei!





Companionul nostru AI este creat special pentru nevoile studenților. Bazându-ne pe milioanele de materiale de pe platformă, putem oferi răspunsuri exacte și relevante pentru studenți. Dar nu este vorba doar despre răspunsuri, companionul este mai ales despre ghidarea studenților prin provocările zilnice de învățare, cu planuri de studiu personalizate, chestionare sau conținuturi în chat și personalizare 100% bazată pe abilitățile și evoluțiile studenților.
Aplicația este disponibilă în Google Play Store și Apple App Store.
Da! Bucură-te de access la materiale de studiu, conectează-te cu alți elevi, și primește ajutor instant - toate acestea la un click distanță. În plus, câștigă puncte ca să deblochezi mai multe funcționalități!
App Store
Google Play
Aplicația este foarte ușor de utilizat și bine concepută. Am găsit tot ce căutam până acum și am reușit să învăț multe din prezentări! Cu siguranță voi folosi aplicația pentru o temă la clasă! Și desigur, ajută mult ca sursă de inspirație.
Ștefan S
utilizator iOS
Această aplicație este super. Sunt atât de multe materiale de studiu și ajutor pentru elevi [...]. Materia mea mai problematică este franceza, de exemplu, și aplicația oferă foarte multe materiale ajutătoare. Mulțumită acestei aplicații, mi-am îmbunătățit franceza. Aș recomanda-o oricui.
Samantha Klich
utilizator Android
Wow, sunt cu adevărat impresionat. Am încercat aplicația pentru că am văzut-o promovată de multe ori și am rămas uimit. Aceasta este AJUTORUL de care ai nevoie pentru școală și, mai presus de toate, oferă atât de multe lucruri, precum exerciții și fișe de informații, care mi-au fost FOARTE de ajutor.
Anna
utilizator iOS
Te ajută să înveți foarte repede și ști foarte bine ce ai dori tu să înveți, vă recomand cu drag să încercați și să învățați mai repede.!
Thomas R
utilizator iOS
Foarte bună aplicația!!!! Mă ajută să înțeleg mult mai bine lecțiile și temele le termin mult mai repede.👍❤️
Paul P
utilizator Android
Te ajută foarte bine la teme acest robot,recomand!
David K
utilizator iOS
Aplicația e grozavă! Tot ce trebuie să fac este să introduc subiectul în bara de căutare și primesc răspunsul foarte rapid. Nu mai trebuie să mă uit la 10 videoclipuri pe YouTube pentru a înțelege ceva, deci îmi economisesc timpul. Super recomandat!
Sudenaz Ocak
utilizator Android
La școală eram chiar slab la matematică, dar datorită aplicației, mă descurc mai bine acum. Sunt atât de recunoscător că ai creat aplicația.
Greenlight Bonnie
utilizator Android
Această aplicație e super interesantă și seamănă ca tiktok-ul doar că tu ai doar teorie și explicații.
Karla S
utilizator Android
Nu mai trebuie să stau cu orele să învăț după caiet când pot să citesc de 2 ori lecțiile care apar aici și iau 10 la test ! Knowunity m-a ajutat să iau nota 9,20 la română ! Voi recomanda ff tare aceasta aplicate , să nu uităm ca are și chat GPT !👍🏻
Denisa B
utilizator iOS
CHESTIONARELE ȘI FLASHCARD-URILE SUNT ATÂT DE UTILE ȘI IUBESC Knowunity AI. E LITERALMENTE CA CHATGPT DOAR CĂ MAI DEȘTEPT!! M-A AJUTAT ȘI CU PROBLEMELE MELE CU MASCARA!! PLUS CU MATERIILE MELE ADEVĂRATE! EVIDENT 😍😁😲🤑💗✨🎀😮
Sarah L
utilizator Android
Este foarte bună te ajută la teme te face să înțelegi lecțiile am înțeles o lecție în 20 de minute i singură nu reușeam să o învăț dar cu Knowunity am învățat-o foarte ușor
Alessia V
utilizator iOS
Aplicația este foarte ușor de utilizat și bine concepută. Am găsit tot ce căutam până acum și am reușit să învăț multe din prezentări! Cu siguranță voi folosi aplicația pentru o temă la clasă! Și desigur, ajută mult ca sursă de inspirație.
Ștefan S
utilizator iOS
Această aplicație este super. Sunt atât de multe materiale de studiu și ajutor pentru elevi [...]. Materia mea mai problematică este franceza, de exemplu, și aplicația oferă foarte multe materiale ajutătoare. Mulțumită acestei aplicații, mi-am îmbunătățit franceza. Aș recomanda-o oricui.
Samantha Klich
utilizator Android
Wow, sunt cu adevărat impresionat. Am încercat aplicația pentru că am văzut-o promovată de multe ori și am rămas uimit. Aceasta este AJUTORUL de care ai nevoie pentru școală și, mai presus de toate, oferă atât de multe lucruri, precum exerciții și fișe de informații, care mi-au fost FOARTE de ajutor.
Anna
utilizator iOS
Te ajută să înveți foarte repede și ști foarte bine ce ai dori tu să înveți, vă recomand cu drag să încercați și să învățați mai repede.!
Thomas R
utilizator iOS
Foarte bună aplicația!!!! Mă ajută să înțeleg mult mai bine lecțiile și temele le termin mult mai repede.👍❤️
Paul P
utilizator Android
Te ajută foarte bine la teme acest robot,recomand!
David K
utilizator iOS
Aplicația e grozavă! Tot ce trebuie să fac este să introduc subiectul în bara de căutare și primesc răspunsul foarte rapid. Nu mai trebuie să mă uit la 10 videoclipuri pe YouTube pentru a înțelege ceva, deci îmi economisesc timpul. Super recomandat!
Sudenaz Ocak
utilizator Android
La școală eram chiar slab la matematică, dar datorită aplicației, mă descurc mai bine acum. Sunt atât de recunoscător că ai creat aplicația.
Greenlight Bonnie
utilizator Android
Această aplicație e super interesantă și seamănă ca tiktok-ul doar că tu ai doar teorie și explicații.
Karla S
utilizator Android
Nu mai trebuie să stau cu orele să învăț după caiet când pot să citesc de 2 ori lecțiile care apar aici și iau 10 la test ! Knowunity m-a ajutat să iau nota 9,20 la română ! Voi recomanda ff tare aceasta aplicate , să nu uităm ca are și chat GPT !👍🏻
Denisa B
utilizator iOS
CHESTIONARELE ȘI FLASHCARD-URILE SUNT ATÂT DE UTILE ȘI IUBESC Knowunity AI. E LITERALMENTE CA CHATGPT DOAR CĂ MAI DEȘTEPT!! M-A AJUTAT ȘI CU PROBLEMELE MELE CU MASCARA!! PLUS CU MATERIILE MELE ADEVĂRATE! EVIDENT 😍😁😲🤑💗✨🎀😮
Sarah L
utilizator Android
Este foarte bună te ajută la teme te face să înțelegi lecțiile am înțeles o lecție în 20 de minute i singură nu reușeam să o învăț dar cu Knowunity am învățat-o foarte ușor
Alessia V
utilizator iOS
Biindyy
@riile.2020
Acest auxiliar de matematică pentru clasa a XI-a acoperă trei mari capitole esențiale: sisteme de ecuații liniare, funcții derivabile și studiul funcțiilor cu ajutorul derivatelor. Materialul este special conceput pentru profilul tehnic, oferind probleme, exerciții și teste care te vor... Afișează mai mult

Acces la toate documentele
Îmbunătățește notele tale!
Alătură-te milioanelor de elevi
Auxiliarul de matematică pentru clasa a XI-a pe care îl vei folosi este aprobat oficial prin OMEN și acoperă teme fundamentale pentru profilul tehnic. Cartea se concentrează pe trei domenii principale: sisteme de ecuații liniare, funcții derivabile și studiul funcțiilor cu ajutorul derivatelor.
Autorii Marius Burtea și Georgeta Burtea, împreună cu o echipă largă de colaboratori, au creat un material bogat în probleme, exerciții și teste care te vor ajuta să înțelegi și să aplici conceptele matematice.
Sfat util: Folosește acest auxiliar ca pe un ghid practic pentru a exersa și a-ți consolida cunoștințele. Rezolvarea problemelor din această carte te va pregăti excelent atât pentru evaluările curente cât și pentru examenele viitoare!

Acces la toate documentele
Îmbunătățește notele tale!
Alătură-te milioanelor de elevi
Auxiliarul este organizat în trei capitole mari, fiecare acoperind teme esențiale pentru matematica de clasa a XI-a. Iată ce vei studia:
Capitolul I: Sisteme de ecuații liniare include matrice inversabile, ecuații matriceale și metode de rezolvare a sistemelor liniare (metoda Cramer și metoda Gauss). Acest capitol îți va dezvolta abilitățile de calcul matriceal, esențiale în matematica avansată.
Capitolul II: Funcții derivabile se concentrează pe conceptul de derivată, interpretarea geometrică, legătura dintre derivabilitate și continuitate, și reguli de derivare. Vei învăța să derivezi funcții elementare, să aplici operații cu funcții derivabile și să lucrezi cu regula lui L'Hospital.
Capitolul III: Studiul funcțiilor cu ajutorul derivatelor te va învăța cum să folosești derivatele pentru a analiza comportamentul funcțiilor și pentru a le reprezenta grafic.
Important: Capitolele sunt urmate de probleme recapitulative și secțiuni cu indicații și răspunsuri, care te vor ajuta să verifici dacă ai înțeles corect conceptele!

Acces la toate documentele
Îmbunătățește notele tale!
Alătură-te milioanelor de elevi
În această secțiune vei găsi probleme diverse despre matrice inversabile, o temă fundamentală din algebra liniară. Problemele te învață să calculezi valori pentru parametrii unor matrice cunoscând anumite proprietăți.
Vei lucra cu exerciții precum aflarea valorilor parametrilor a și b pentru care o matrice pătrată satisface condiția . De asemenea, vei întâlni situații unde trebuie să dovedești că o matrice este inversabilă și să determini inversa ei.
Multe probleme implică demonstrații matriceale, cum ar fi relația sau identități de tipul . Acestea îți dezvoltă gândirea logică și capacitatea de a manipula expresii matriceale.
Nu te speria! Deși problemele par complexe la prima vedere, ele urmăresc modele matematice similare, iar cu cât rezolvi mai multe, cu atât vei deveni mai abil în recunoașterea tiparelor și aplicarea tehnicilor potrivite.

Acces la toate documentele
Îmbunătățește notele tale!
Alătură-te milioanelor de elevi
Ecuațiile matriceale reprezintă un tip special de probleme în care trebuie să găsești o matrice necunoscută X ce satisface o anumită relație. În această secțiune vei găsi exemple rezolvate complet, pas cu pas.
Prima parte prezintă probleme de tipul sau , unde trebuie să determini matricea X. Metoda standard de rezolvare este:
De exemplu, pentru ecuația , soluția este obținută calculând mai întâi inversa matricei din stânga, apoi înmulțind-o cu matricea din dreapta.
Observație practică: Pentru a ușura calculele, verifică întotdeauna dacă determinantul este 1 sau -1, ceea ce simplifică formula pentru inversa matricei!

Acces la toate documentele
Îmbunătățește notele tale!
Alătură-te milioanelor de elevi

Acces la toate documentele
Îmbunătățește notele tale!
Alătură-te milioanelor de elevi

Acces la toate documentele
Îmbunătățește notele tale!
Alătură-te milioanelor de elevi

Acces la toate documentele
Îmbunătățește notele tale!
Alătură-te milioanelor de elevi

Acces la toate documentele
Îmbunătățește notele tale!
Alătură-te milioanelor de elevi
Companionul nostru AI este creat special pentru nevoile studenților. Bazându-ne pe milioanele de materiale de pe platformă, putem oferi răspunsuri exacte și relevante pentru studenți. Dar nu este vorba doar despre răspunsuri, companionul este mai ales despre ghidarea studenților prin provocările zilnice de învățare, cu planuri de studiu personalizate, chestionare sau conținuturi în chat și personalizare 100% bazată pe abilitățile și evoluțiile studenților.
Aplicația este disponibilă în Google Play Store și Apple App Store.
Da! Bucură-te de access la materiale de studiu, conectează-te cu alți elevi, și primește ajutor instant - toate acestea la un click distanță. În plus, câștigă puncte ca să deblochezi mai multe funcționalități!
6
Instrumente inteligente NOU
Transformă această notiță în: ✓ 50+ întrebări de exersare ✓ Flashcard-uri interactive ✓ Examen de practică complet ✓ Planuri de eseu
App Store
Google Play
Aplicația este foarte ușor de utilizat și bine concepută. Am găsit tot ce căutam până acum și am reușit să învăț multe din prezentări! Cu siguranță voi folosi aplicația pentru o temă la clasă! Și desigur, ajută mult ca sursă de inspirație.
Ștefan S
utilizator iOS
Această aplicație este super. Sunt atât de multe materiale de studiu și ajutor pentru elevi [...]. Materia mea mai problematică este franceza, de exemplu, și aplicația oferă foarte multe materiale ajutătoare. Mulțumită acestei aplicații, mi-am îmbunătățit franceza. Aș recomanda-o oricui.
Samantha Klich
utilizator Android
Wow, sunt cu adevărat impresionat. Am încercat aplicația pentru că am văzut-o promovată de multe ori și am rămas uimit. Aceasta este AJUTORUL de care ai nevoie pentru școală și, mai presus de toate, oferă atât de multe lucruri, precum exerciții și fișe de informații, care mi-au fost FOARTE de ajutor.
Anna
utilizator iOS
Te ajută să înveți foarte repede și ști foarte bine ce ai dori tu să înveți, vă recomand cu drag să încercați și să învățați mai repede.!
Thomas R
utilizator iOS
Foarte bună aplicația!!!! Mă ajută să înțeleg mult mai bine lecțiile și temele le termin mult mai repede.👍❤️
Paul P
utilizator Android
Te ajută foarte bine la teme acest robot,recomand!
David K
utilizator iOS
Aplicația e grozavă! Tot ce trebuie să fac este să introduc subiectul în bara de căutare și primesc răspunsul foarte rapid. Nu mai trebuie să mă uit la 10 videoclipuri pe YouTube pentru a înțelege ceva, deci îmi economisesc timpul. Super recomandat!
Sudenaz Ocak
utilizator Android
La școală eram chiar slab la matematică, dar datorită aplicației, mă descurc mai bine acum. Sunt atât de recunoscător că ai creat aplicația.
Greenlight Bonnie
utilizator Android
Această aplicație e super interesantă și seamănă ca tiktok-ul doar că tu ai doar teorie și explicații.
Karla S
utilizator Android
Nu mai trebuie să stau cu orele să învăț după caiet când pot să citesc de 2 ori lecțiile care apar aici și iau 10 la test ! Knowunity m-a ajutat să iau nota 9,20 la română ! Voi recomanda ff tare aceasta aplicate , să nu uităm ca are și chat GPT !👍🏻
Denisa B
utilizator iOS
CHESTIONARELE ȘI FLASHCARD-URILE SUNT ATÂT DE UTILE ȘI IUBESC Knowunity AI. E LITERALMENTE CA CHATGPT DOAR CĂ MAI DEȘTEPT!! M-A AJUTAT ȘI CU PROBLEMELE MELE CU MASCARA!! PLUS CU MATERIILE MELE ADEVĂRATE! EVIDENT 😍😁😲🤑💗✨🎀😮
Sarah L
utilizator Android
Este foarte bună te ajută la teme te face să înțelegi lecțiile am înțeles o lecție în 20 de minute i singură nu reușeam să o învăț dar cu Knowunity am învățat-o foarte ușor
Alessia V
utilizator iOS
Aplicația este foarte ușor de utilizat și bine concepută. Am găsit tot ce căutam până acum și am reușit să învăț multe din prezentări! Cu siguranță voi folosi aplicația pentru o temă la clasă! Și desigur, ajută mult ca sursă de inspirație.
Ștefan S
utilizator iOS
Această aplicație este super. Sunt atât de multe materiale de studiu și ajutor pentru elevi [...]. Materia mea mai problematică este franceza, de exemplu, și aplicația oferă foarte multe materiale ajutătoare. Mulțumită acestei aplicații, mi-am îmbunătățit franceza. Aș recomanda-o oricui.
Samantha Klich
utilizator Android
Wow, sunt cu adevărat impresionat. Am încercat aplicația pentru că am văzut-o promovată de multe ori și am rămas uimit. Aceasta este AJUTORUL de care ai nevoie pentru școală și, mai presus de toate, oferă atât de multe lucruri, precum exerciții și fișe de informații, care mi-au fost FOARTE de ajutor.
Anna
utilizator iOS
Te ajută să înveți foarte repede și ști foarte bine ce ai dori tu să înveți, vă recomand cu drag să încercați și să învățați mai repede.!
Thomas R
utilizator iOS
Foarte bună aplicația!!!! Mă ajută să înțeleg mult mai bine lecțiile și temele le termin mult mai repede.👍❤️
Paul P
utilizator Android
Te ajută foarte bine la teme acest robot,recomand!
David K
utilizator iOS
Aplicația e grozavă! Tot ce trebuie să fac este să introduc subiectul în bara de căutare și primesc răspunsul foarte rapid. Nu mai trebuie să mă uit la 10 videoclipuri pe YouTube pentru a înțelege ceva, deci îmi economisesc timpul. Super recomandat!
Sudenaz Ocak
utilizator Android
La școală eram chiar slab la matematică, dar datorită aplicației, mă descurc mai bine acum. Sunt atât de recunoscător că ai creat aplicația.
Greenlight Bonnie
utilizator Android
Această aplicație e super interesantă și seamănă ca tiktok-ul doar că tu ai doar teorie și explicații.
Karla S
utilizator Android
Nu mai trebuie să stau cu orele să învăț după caiet când pot să citesc de 2 ori lecțiile care apar aici și iau 10 la test ! Knowunity m-a ajutat să iau nota 9,20 la română ! Voi recomanda ff tare aceasta aplicate , să nu uităm ca are și chat GPT !👍🏻
Denisa B
utilizator iOS
CHESTIONARELE ȘI FLASHCARD-URILE SUNT ATÂT DE UTILE ȘI IUBESC Knowunity AI. E LITERALMENTE CA CHATGPT DOAR CĂ MAI DEȘTEPT!! M-A AJUTAT ȘI CU PROBLEMELE MELE CU MASCARA!! PLUS CU MATERIILE MELE ADEVĂRATE! EVIDENT 😍😁😲🤑💗✨🎀😮
Sarah L
utilizator Android
Este foarte bună te ajută la teme te face să înțelegi lecțiile am înțeles o lecție în 20 de minute i singură nu reușeam să o învăț dar cu Knowunity am învățat-o foarte ușor
Alessia V
utilizator iOS