exercitii bac mate sub 1
Înscrie-te pentru a vedea CONȚINUTULE gratuit!
Acces la toate documentele
Îmbunătățește notele tale!
Alătură-te milioanelor de elevi
Prin înregistrare, accepți Termenii de serviciu și Politica de confidențialitate

19
1
Anca Ioana
26.10.2025
Matematică
exercitii bac mate sub 1
720
•
26 oct. 2025
•
Anca Ioana
@ancaioana
exercitii bac mate sub 1




























































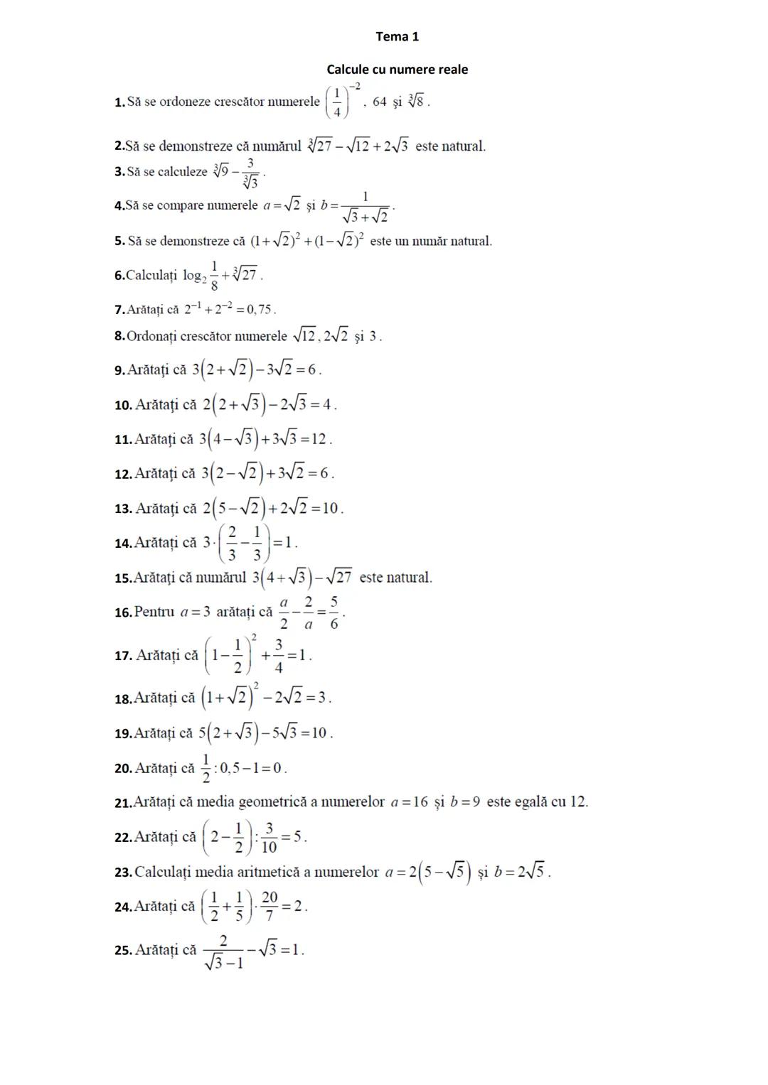
![# Tema 1
Calcule cu numere reale
1. Să se ordoneze crescător numerele $\left(\frac{1}{4}\right)^{-2}$, 64 şi $\sqrt[3]{8}$.
2.Să se demon](/_next/image?url=https%3A%2F%2Fcontent-eu-central-1.knowunity.com%2FCONTENT%2F01958c6e-f366-75a4-b5cd-64e2666d6842_image_page_1.webp&w=2048&q=75)
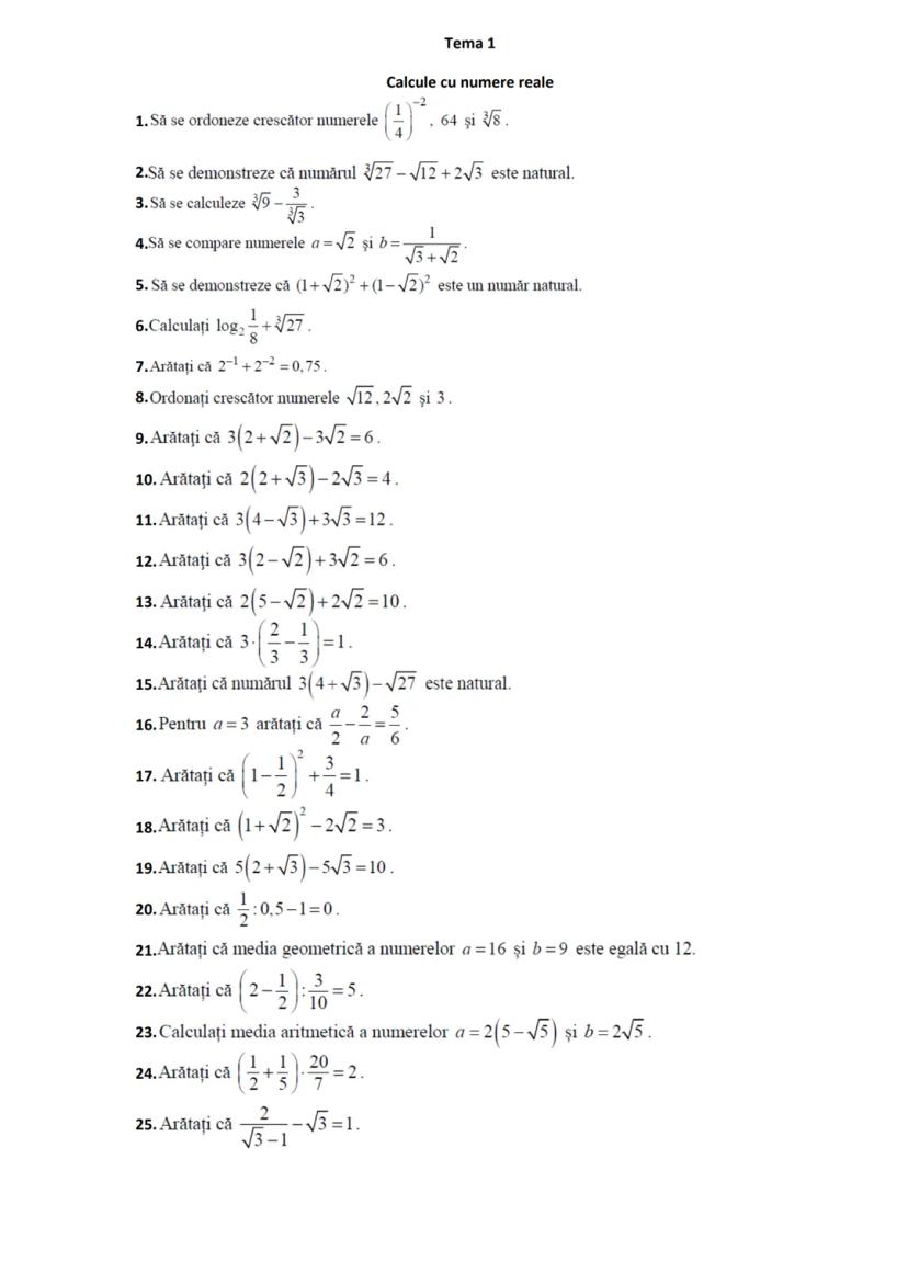
![# Tema 1
Calcule cu numere reale
1. Să se ordoneze crescător numerele $\left(\frac{1}{4}\right)^{-2}$, 64 şi $\sqrt[3]{8}$.
2.Să se demon](/_next/image?url=https%3A%2F%2Fcontent-eu-central-1.knowunity.com%2FCONTENT%2F01958c6f-1fab-7e32-a92a-75ef05d281c8_image_page_1.webp&w=2048&q=75)
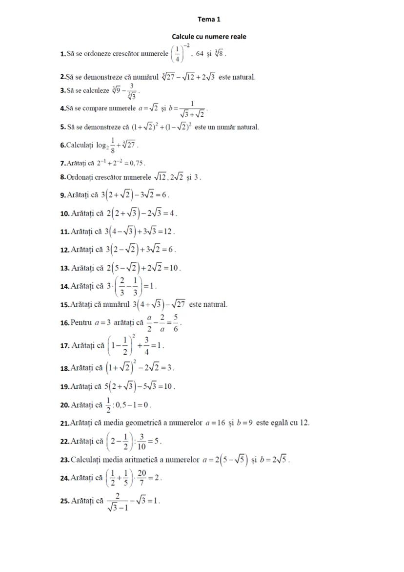
![# Tema 1
Calcule cu numere reale
1. Să se ordoneze crescător numerele $\left(\frac{1}{4}\right)^{-2}$, 64 şi $\sqrt[3]{8}$.
2.Să se demon](/_next/image?url=https%3A%2F%2Fcontent-eu-central-1.knowunity.com%2FCONTENT%2F01958c6f-1fab-7e32-a92a-75ef05d281c8_image_page_2.webp&w=2048&q=75)
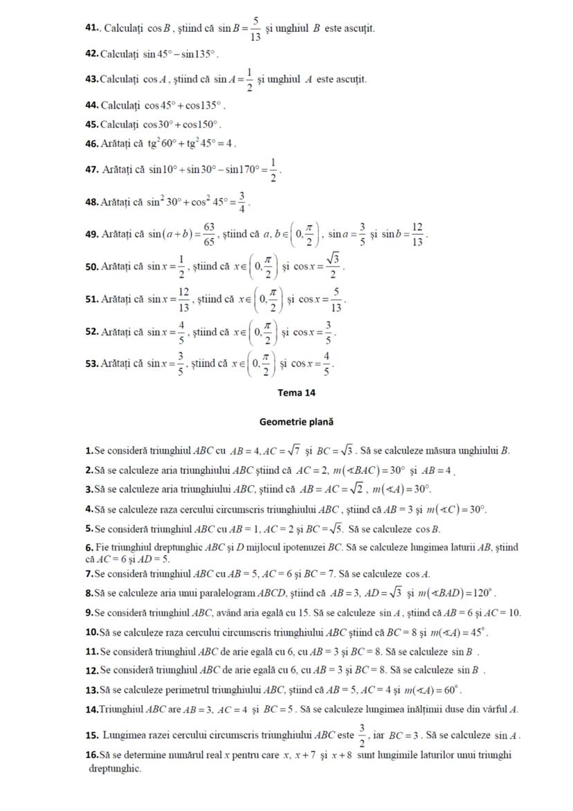
![# Tema 1
Calcule cu numere reale
1. Să se ordoneze crescător numerele $\left(\frac{1}{4}\right)^{-2}$, 64 şi $\sqrt[3]{8}$.
2.Să se demon](/_next/image?url=https%3A%2F%2Fcontent-eu-central-1.knowunity.com%2FCONTENT%2F01958c6e-f366-75a4-b5cd-64e2666d6842_image_page_2.webp&w=2048&q=75)
![# Tema 1
Calcule cu numere reale
1. Să se ordoneze crescător numerele $\left(\frac{1}{4}\right)^{-2}$, 64 şi $\sqrt[3]{8}$.
2.Să se demon](/_next/image?url=https%3A%2F%2Fcontent-eu-central-1.knowunity.com%2FCONTENT%2F01958c6f-1fab-7e32-a92a-75ef05d281c8_image_page_3.webp&w=2048&q=75)
![# Tema 1
Calcule cu numere reale
1. Să se ordoneze crescător numerele $\left(\frac{1}{4}\right)^{-2}$, 64 şi $\sqrt[3]{8}$.
2.Să se demon](/_next/image?url=https%3A%2F%2Fcontent-eu-central-1.knowunity.com%2FCONTENT%2F01958c6e-f366-75a4-b5cd-64e2666d6842_image_page_3.webp&w=2048&q=75)
![# Tema 1
Calcule cu numere reale
1. Să se ordoneze crescător numerele $\left(\frac{1}{4}\right)^{-2}$, 64 şi $\sqrt[3]{8}$.
2.Să se demon](/_next/image?url=https%3A%2F%2Fcontent-eu-central-1.knowunity.com%2FCONTENT%2F01958c6f-1fab-7e32-a92a-75ef05d281c8_image_page_4.webp&w=2048&q=75)
![# Tema 1
Calcule cu numere reale
1. Să se ordoneze crescător numerele $\left(\frac{1}{4}\right)^{-2}$, 64 şi $\sqrt[3]{8}$.
2.Să se demon](/_next/image?url=https%3A%2F%2Fcontent-eu-central-1.knowunity.com%2FCONTENT%2F01958c6e-f366-75a4-b5cd-64e2666d6842_image_page_4.webp&w=2048&q=75)
![# Tema 1
Calcule cu numere reale
1. Să se ordoneze crescător numerele $\left(\frac{1}{4}\right)^{-2}$, 64 şi $\sqrt[3]{8}$.
2.Să se demon](/_next/image?url=https%3A%2F%2Fcontent-eu-central-1.knowunity.com%2FCONTENT%2F01958c6f-1fab-7e32-a92a-75ef05d281c8_image_page_5.webp&w=2048&q=75)
![# Tema 1
Calcule cu numere reale
1. Să se ordoneze crescător numerele $\left(\frac{1}{4}\right)^{-2}$, 64 şi $\sqrt[3]{8}$.
2.Să se demon](/_next/image?url=https%3A%2F%2Fcontent-eu-central-1.knowunity.com%2FCONTENT%2F01958c6e-f366-75a4-b5cd-64e2666d6842_image_page_5.webp&w=2048&q=75)
![# Tema 1
Calcule cu numere reale
1. Să se ordoneze crescător numerele $\left(\frac{1}{4}\right)^{-2}$, 64 şi $\sqrt[3]{8}$.
2.Să se demon](/_next/image?url=https%3A%2F%2Fcontent-eu-central-1.knowunity.com%2FCONTENT%2F01958c6e-f366-75a4-b5cd-64e2666d6842_image_page_6.webp&w=2048&q=75)
![# Tema 1
Calcule cu numere reale
1. Să se ordoneze crescător numerele $\left(\frac{1}{4}\right)^{-2}$, 64 şi $\sqrt[3]{8}$.
2.Să se demon](/_next/image?url=https%3A%2F%2Fcontent-eu-central-1.knowunity.com%2FCONTENT%2F01958c6f-1fab-7e32-a92a-75ef05d281c8_image_page_6.webp&w=2048&q=75)
![# Tema 1
Calcule cu numere reale
1. Să se ordoneze crescător numerele $\left(\frac{1}{4}\right)^{-2}$, 64 şi $\sqrt[3]{8}$.
2.Să se demon](/_next/image?url=https%3A%2F%2Fcontent-eu-central-1.knowunity.com%2FCONTENT%2F01958c6f-1fab-7e32-a92a-75ef05d281c8_image_page_7.webp&w=2048&q=75)
![# Tema 1
Calcule cu numere reale
1. Să se ordoneze crescător numerele $\left(\frac{1}{4}\right)^{-2}$, 64 şi $\sqrt[3]{8}$.
2.Să se demon](/_next/image?url=https%3A%2F%2Fcontent-eu-central-1.knowunity.com%2FCONTENT%2F01958c6e-f366-75a4-b5cd-64e2666d6842_image_page_7.webp&w=2048&q=75)
![# Tema 1
Calcule cu numere reale
1. Să se ordoneze crescător numerele $\left(\frac{1}{4}\right)^{-2}$, 64 şi $\sqrt[3]{8}$.
2.Să se demon](/_next/image?url=https%3A%2F%2Fcontent-eu-central-1.knowunity.com%2FCONTENT%2F01958c6f-1fab-7e32-a92a-75ef05d281c8_image_page_8.webp&w=2048&q=75)
![# Tema 1
Calcule cu numere reale
1. Să se ordoneze crescător numerele $\left(\frac{1}{4}\right)^{-2}$, 64 şi $\sqrt[3]{8}$.
2.Să se demon](/_next/image?url=https%3A%2F%2Fcontent-eu-central-1.knowunity.com%2FCONTENT%2F01958c6e-f366-75a4-b5cd-64e2666d6842_image_page_8.webp&w=2048&q=75)
![# Tema 1
Calcule cu numere reale
1. Să se ordoneze crescător numerele $\left(\frac{1}{4}\right)^{-2}$, 64 şi $\sqrt[3]{8}$.
2.Să se demon](/_next/image?url=https%3A%2F%2Fcontent-eu-central-1.knowunity.com%2FCONTENT%2F01958c6e-f366-75a4-b5cd-64e2666d6842_image_page_9.webp&w=2048&q=75)
![# Tema 1
Calcule cu numere reale
1. Să se ordoneze crescător numerele $\left(\frac{1}{4}\right)^{-2}$, 64 şi $\sqrt[3]{8}$.
2.Să se demon](/_next/image?url=https%3A%2F%2Fcontent-eu-central-1.knowunity.com%2FCONTENT%2F01958c6f-1fab-7e32-a92a-75ef05d281c8_image_page_9.webp&w=2048&q=75)
![# Tema 1
Calcule cu numere reale
1. Să se ordoneze crescător numerele $\left(\frac{1}{4}\right)^{-2}$, 64 şi $\sqrt[3]{8}$.
2.Să se demon](/_next/image?url=https%3A%2F%2Fcontent-eu-central-1.knowunity.com%2FCONTENT%2F01958c6f-1fab-7e32-a92a-75ef05d281c8_image_page_10.webp&w=2048&q=75)
![# Tema 1
Calcule cu numere reale
1. Să se ordoneze crescător numerele $\left(\frac{1}{4}\right)^{-2}$, 64 şi $\sqrt[3]{8}$.
2.Să se demon](/_next/image?url=https%3A%2F%2Fcontent-eu-central-1.knowunity.com%2FCONTENT%2F01958c6e-f366-75a4-b5cd-64e2666d6842_image_page_10.webp&w=2048&q=75)
![# Tema 1
Calcule cu numere reale
1. Să se ordoneze crescător numerele $\left(\frac{1}{4}\right)^{-2}$, 64 şi $\sqrt[3]{8}$.
2.Să se demon](/_next/image?url=https%3A%2F%2Fcontent-eu-central-1.knowunity.com%2FCONTENT%2F01958c6e-f366-75a4-b5cd-64e2666d6842_image_page_11.webp&w=2048&q=75)
![# Tema 1
Calcule cu numere reale
1. Să se ordoneze crescător numerele $\left(\frac{1}{4}\right)^{-2}$, 64 şi $\sqrt[3]{8}$.
2.Să se demon](/_next/image?url=https%3A%2F%2Fcontent-eu-central-1.knowunity.com%2FCONTENT%2F01958c6f-1fab-7e32-a92a-75ef05d281c8_image_page_11.webp&w=2048&q=75)
![# Tema 1
Calcule cu numere reale
1. Să se ordoneze crescător numerele $\left(\frac{1}{4}\right)^{-2}$, 64 şi $\sqrt[3]{8}$.
2.Să se demon](/_next/image?url=https%3A%2F%2Fcontent-eu-central-1.knowunity.com%2FCONTENT%2F01958c6e-f366-75a4-b5cd-64e2666d6842_image_page_12.webp&w=2048&q=75)
![# Tema 1
Calcule cu numere reale
1. Să se ordoneze crescător numerele $\left(\frac{1}{4}\right)^{-2}$, 64 şi $\sqrt[3]{8}$.
2.Să se demon](/_next/image?url=https%3A%2F%2Fcontent-eu-central-1.knowunity.com%2FCONTENT%2F01958c6f-1fab-7e32-a92a-75ef05d281c8_image_page_12.webp&w=2048&q=75)
![# Tema 1
Calcule cu numere reale
1. Să se ordoneze crescător numerele $\left(\frac{1}{4}\right)^{-2}$, 64 şi $\sqrt[3]{8}$.
2.Să se demon](/_next/image?url=https%3A%2F%2Fcontent-eu-central-1.knowunity.com%2FCONTENT%2F01958c6e-f366-75a4-b5cd-64e2666d6842_image_page_13.webp&w=2048&q=75)
![# Tema 1
Calcule cu numere reale
1. Să se ordoneze crescător numerele $\left(\frac{1}{4}\right)^{-2}$, 64 şi $\sqrt[3]{8}$.
2.Să se demon](/_next/image?url=https%3A%2F%2Fcontent-eu-central-1.knowunity.com%2FCONTENT%2F01958c6f-1fab-7e32-a92a-75ef05d281c8_image_page_13.webp&w=2048&q=75)
![# Tema 1
Calcule cu numere reale
1. Să se ordoneze crescător numerele $\left(\frac{1}{4}\right)^{-2}$, 64 şi $\sqrt[3]{8}$.
2.Să se demon](/_next/image?url=https%3A%2F%2Fcontent-eu-central-1.knowunity.com%2FCONTENT%2F01958c6f-1fab-7e32-a92a-75ef05d281c8_image_page_14.webp&w=2048&q=75)
![# Tema 1
Calcule cu numere reale
1. Să se ordoneze crescător numerele $\left(\frac{1}{4}\right)^{-2}$, 64 şi $\sqrt[3]{8}$.
2.Să se demon](/_next/image?url=https%3A%2F%2Fcontent-eu-central-1.knowunity.com%2FCONTENT%2F01958c6e-f366-75a4-b5cd-64e2666d6842_image_page_14.webp&w=2048&q=75)
![# Tema 1
Calcule cu numere reale
1. Să se ordoneze crescător numerele $\left(\frac{1}{4}\right)^{-2}$, 64 şi $\sqrt[3]{8}$.
2.Să se demon](/_next/image?url=https%3A%2F%2Fcontent-eu-central-1.knowunity.com%2FCONTENT%2F01958c6e-f366-75a4-b5cd-64e2666d6842_image_page_15.webp&w=2048&q=75)
![# Tema 1
Calcule cu numere reale
1. Să se ordoneze crescător numerele $\left(\frac{1}{4}\right)^{-2}$, 64 şi $\sqrt[3]{8}$.
2.Să se demon](/_next/image?url=https%3A%2F%2Fcontent-eu-central-1.knowunity.com%2FCONTENT%2F01958c6f-1fab-7e32-a92a-75ef05d281c8_image_page_15.webp&w=2048&q=75)
![# Tema 1
Calcule cu numere reale
1. Să se ordoneze crescător numerele $\left(\frac{1}{4}\right)^{-2}$, 64 şi $\sqrt[3]{8}$.
2.Să se demon](/_next/image?url=https%3A%2F%2Fcontent-eu-central-1.knowunity.com%2FCONTENT%2F01958c6e-f366-75a4-b5cd-64e2666d6842_image_page_16.webp&w=2048&q=75)
![# Tema 1
Calcule cu numere reale
1. Să se ordoneze crescător numerele $\left(\frac{1}{4}\right)^{-2}$, 64 şi $\sqrt[3]{8}$.
2.Să se demon](/_next/image?url=https%3A%2F%2Fcontent-eu-central-1.knowunity.com%2FCONTENT%2F01958c6f-1fab-7e32-a92a-75ef05d281c8_image_page_16.webp&w=2048&q=75)
![# Tema 1
Calcule cu numere reale
1. Să se ordoneze crescător numerele $\left(\frac{1}{4}\right)^{-2}$, 64 şi $\sqrt[3]{8}$.
2.Să se demon](/_next/image?url=https%3A%2F%2Fcontent-eu-central-1.knowunity.com%2FCONTENT%2F01958c6e-f366-75a4-b5cd-64e2666d6842_image_page_17.webp&w=2048&q=75)
![# Tema 1
Calcule cu numere reale
1. Să se ordoneze crescător numerele $\left(\frac{1}{4}\right)^{-2}$, 64 şi $\sqrt[3]{8}$.
2.Să se demon](/_next/image?url=https%3A%2F%2Fcontent-eu-central-1.knowunity.com%2FCONTENT%2F01958c6f-1fab-7e32-a92a-75ef05d281c8_image_page_17.webp&w=2048&q=75)
![# Tema 1
Calcule cu numere reale
1. Să se ordoneze crescător numerele $\left(\frac{1}{4}\right)^{-2}$, 64 şi $\sqrt[3]{8}$.
2.Să se demon](/_next/image?url=https%3A%2F%2Fcontent-eu-central-1.knowunity.com%2FCONTENT%2F01958c6e-f366-75a4-b5cd-64e2666d6842_image_page_18.webp&w=2048&q=75)
![# Tema 1
Calcule cu numere reale
1. Să se ordoneze crescător numerele $\left(\frac{1}{4}\right)^{-2}$, 64 şi $\sqrt[3]{8}$.
2.Să se demon](/_next/image?url=https%3A%2F%2Fcontent-eu-central-1.knowunity.com%2FCONTENT%2F01958c6f-1fab-7e32-a92a-75ef05d281c8_image_page_18.webp&w=2048&q=75)
![# Tema 1
Calcule cu numere reale
1. Să se ordoneze crescător numerele $\left(\frac{1}{4}\right)^{-2}$, 64 şi $\sqrt[3]{8}$.
2.Să se demon](/_next/image?url=https%3A%2F%2Fcontent-eu-central-1.knowunity.com%2FCONTENT%2F01958c6e-f366-75a4-b5cd-64e2666d6842_image_page_19.webp&w=2048&q=75)
![# Tema 1
Calcule cu numere reale
1. Să se ordoneze crescător numerele $\left(\frac{1}{4}\right)^{-2}$, 64 şi $\sqrt[3]{8}$.
2.Să se demon](/_next/image?url=https%3A%2F%2Fcontent-eu-central-1.knowunity.com%2FCONTENT%2F01958c6f-1fab-7e32-a92a-75ef05d281c8_image_page_19.webp&w=2048&q=75)
![# Tema 1
Calcule cu numere reale
1. Să se ordoneze crescător numerele $\left(\frac{1}{4}\right)^{-2}$, 64 şi $\sqrt[3]{8}$.
2.Să se demon](/_next/image?url=https%3A%2F%2Fcontent-eu-central-1.knowunity.com%2FCONTENT%2F01958c6e-f366-75a4-b5cd-64e2666d6842_image_page_20.webp&w=2048&q=75)
![# Tema 1
Calcule cu numere reale
1. Să se ordoneze crescător numerele $\left(\frac{1}{4}\right)^{-2}$, 64 şi $\sqrt[3]{8}$.
2.Să se demon](/_next/image?url=https%3A%2F%2Fcontent-eu-central-1.knowunity.com%2FCONTENT%2F01958c6f-1fab-7e32-a92a-75ef05d281c8_image_page_20.webp&w=2048&q=75)
![# Tema 1
Calcule cu numere reale
1. Să se ordoneze crescător numerele $\left(\frac{1}{4}\right)^{-2}$, 64 şi $\sqrt[3]{8}$.
2.Să se demon](/_next/image?url=https%3A%2F%2Fcontent-eu-central-1.knowunity.com%2FCONTENT%2F01958c6f-1fab-7e32-a92a-75ef05d281c8_image_page_21.webp&w=2048&q=75)
![# Tema 1
Calcule cu numere reale
1. Să se ordoneze crescător numerele $\left(\frac{1}{4}\right)^{-2}$, 64 şi $\sqrt[3]{8}$.
2.Să se demon](/_next/image?url=https%3A%2F%2Fcontent-eu-central-1.knowunity.com%2FCONTENT%2F01958c6e-f366-75a4-b5cd-64e2666d6842_image_page_21.webp&w=2048&q=75)
![# Tema 1
Calcule cu numere reale
1. Să se ordoneze crescător numerele $\left(\frac{1}{4}\right)^{-2}$, 64 şi $\sqrt[3]{8}$.
2.Să se demon](/_next/image?url=https%3A%2F%2Fcontent-eu-central-1.knowunity.com%2FCONTENT%2F01958c6f-1fab-7e32-a92a-75ef05d281c8_image_page_22.webp&w=2048&q=75)
![# Tema 1
Calcule cu numere reale
1. Să se ordoneze crescător numerele $\left(\frac{1}{4}\right)^{-2}$, 64 şi $\sqrt[3]{8}$.
2.Să se demon](/_next/image?url=https%3A%2F%2Fcontent-eu-central-1.knowunity.com%2FCONTENT%2F01958c6e-f366-75a4-b5cd-64e2666d6842_image_page_22.webp&w=2048&q=75)
![# Tema 1
Calcule cu numere reale
1. Să se ordoneze crescător numerele $\left(\frac{1}{4}\right)^{-2}$, 64 şi $\sqrt[3]{8}$.
2.Să se demon](/_next/image?url=https%3A%2F%2Fcontent-eu-central-1.knowunity.com%2FCONTENT%2F01958c6e-f366-75a4-b5cd-64e2666d6842_image_page_23.webp&w=2048&q=75)
![# Tema 1
Calcule cu numere reale
1. Să se ordoneze crescător numerele $\left(\frac{1}{4}\right)^{-2}$, 64 şi $\sqrt[3]{8}$.
2.Să se demon](/_next/image?url=https%3A%2F%2Fcontent-eu-central-1.knowunity.com%2FCONTENT%2F01958c6f-1fab-7e32-a92a-75ef05d281c8_image_page_23.webp&w=2048&q=75)
![# Tema 1
Calcule cu numere reale
1. Să se ordoneze crescător numerele $\left(\frac{1}{4}\right)^{-2}$, 64 şi $\sqrt[3]{8}$.
2.Să se demon](/_next/image?url=https%3A%2F%2Fcontent-eu-central-1.knowunity.com%2FCONTENT%2F01958c6e-f366-75a4-b5cd-64e2666d6842_image_page_24.webp&w=2048&q=75)
![# Tema 1
Calcule cu numere reale
1. Să se ordoneze crescător numerele $\left(\frac{1}{4}\right)^{-2}$, 64 şi $\sqrt[3]{8}$.
2.Să se demon](/_next/image?url=https%3A%2F%2Fcontent-eu-central-1.knowunity.com%2FCONTENT%2F01958c6f-1fab-7e32-a92a-75ef05d281c8_image_page_24.webp&w=2048&q=75)
![# Tema 1
Calcule cu numere reale
1. Să se ordoneze crescător numerele $\left(\frac{1}{4}\right)^{-2}$, 64 şi $\sqrt[3]{8}$.
2.Să se demon](/_next/image?url=https%3A%2F%2Fcontent-eu-central-1.knowunity.com%2FCONTENT%2F01958c6f-1fab-7e32-a92a-75ef05d281c8_image_page_25.webp&w=2048&q=75)
![# Tema 1
Calcule cu numere reale
1. Să se ordoneze crescător numerele $\left(\frac{1}{4}\right)^{-2}$, 64 şi $\sqrt[3]{8}$.
2.Să se demon](/_next/image?url=https%3A%2F%2Fcontent-eu-central-1.knowunity.com%2FCONTENT%2F01958c6e-f366-75a4-b5cd-64e2666d6842_image_page_25.webp&w=2048&q=75)
![# Tema 1
Calcule cu numere reale
1. Să se ordoneze crescător numerele $\left(\frac{1}{4}\right)^{-2}$, 64 şi $\sqrt[3]{8}$.
2.Să se demon](/_next/image?url=https%3A%2F%2Fcontent-eu-central-1.knowunity.com%2FCONTENT%2F01958c6e-f366-75a4-b5cd-64e2666d6842_image_page_26.webp&w=2048&q=75)
![# Tema 1
Calcule cu numere reale
1. Să se ordoneze crescător numerele $\left(\frac{1}{4}\right)^{-2}$, 64 şi $\sqrt[3]{8}$.
2.Să se demon](/_next/image?url=https%3A%2F%2Fcontent-eu-central-1.knowunity.com%2FCONTENT%2F01958c6f-1fab-7e32-a92a-75ef05d281c8_image_page_26.webp&w=2048&q=75)
![# Tema 1
Calcule cu numere reale
1. Să se ordoneze crescător numerele $\left(\frac{1}{4}\right)^{-2}$, 64 şi $\sqrt[3]{8}$.
2.Să se demon](/_next/image?url=https%3A%2F%2Fcontent-eu-central-1.knowunity.com%2FCONTENT%2F01958c6e-f366-75a4-b5cd-64e2666d6842_image_page_27.webp&w=2048&q=75)
![# Tema 1
Calcule cu numere reale
1. Să se ordoneze crescător numerele $\left(\frac{1}{4}\right)^{-2}$, 64 şi $\sqrt[3]{8}$.
2.Să se demon](/_next/image?url=https%3A%2F%2Fcontent-eu-central-1.knowunity.com%2FCONTENT%2F01958c6f-1fab-7e32-a92a-75ef05d281c8_image_page_27.webp&w=2048&q=75)
![# Tema 1
Calcule cu numere reale
1. Să se ordoneze crescător numerele $\left(\frac{1}{4}\right)^{-2}$, 64 şi $\sqrt[3]{8}$.
2.Să se demon](/_next/image?url=https%3A%2F%2Fcontent-eu-central-1.knowunity.com%2FCONTENT%2F01958c6f-1fab-7e32-a92a-75ef05d281c8_image_page_28.webp&w=2048&q=75)
![# Tema 1
Calcule cu numere reale
1. Să se ordoneze crescător numerele $\left(\frac{1}{4}\right)^{-2}$, 64 şi $\sqrt[3]{8}$.
2.Să se demon](/_next/image?url=https%3A%2F%2Fcontent-eu-central-1.knowunity.com%2FCONTENT%2F01958c6e-f366-75a4-b5cd-64e2666d6842_image_page_28.webp&w=2048&q=75)
![# Tema 1
Calcule cu numere reale
1. Să se ordoneze crescător numerele $\left(\frac{1}{4}\right)^{-2}$, 64 şi $\sqrt[3]{8}$.
2.Să se demon](/_next/image?url=https%3A%2F%2Fcontent-eu-central-1.knowunity.com%2FCONTENT%2F01958c6e-f366-75a4-b5cd-64e2666d6842_image_page_29.webp&w=2048&q=75)
![# Tema 1
Calcule cu numere reale
1. Să se ordoneze crescător numerele $\left(\frac{1}{4}\right)^{-2}$, 64 şi $\sqrt[3]{8}$.
2.Să se demon](/_next/image?url=https%3A%2F%2Fcontent-eu-central-1.knowunity.com%2FCONTENT%2F01958c6f-1fab-7e32-a92a-75ef05d281c8_image_page_29.webp&w=2048&q=75)
![# Tema 1
Calcule cu numere reale
1. Să se ordoneze crescător numerele $\left(\frac{1}{4}\right)^{-2}$, 64 şi $\sqrt[3]{8}$.
2.Să se demon](/_next/image?url=https%3A%2F%2Fcontent-eu-central-1.knowunity.com%2FCONTENT%2F01958c6f-1fab-7e32-a92a-75ef05d281c8_image_page_30.webp&w=2048&q=75)
![# Tema 1
Calcule cu numere reale
1. Să se ordoneze crescător numerele $\left(\frac{1}{4}\right)^{-2}$, 64 şi $\sqrt[3]{8}$.
2.Să se demon](/_next/image?url=https%3A%2F%2Fcontent-eu-central-1.knowunity.com%2FCONTENT%2F01958c6e-f366-75a4-b5cd-64e2666d6842_image_page_30.webp&w=2048&q=75)
Companionul nostru AI este creat special pentru nevoile studenților. Bazându-ne pe milioanele de materiale de pe platformă, putem oferi răspunsuri exacte și relevante pentru studenți. Dar nu este vorba doar despre răspunsuri, companionul este mai ales despre ghidarea studenților prin provocările zilnice de învățare, cu planuri de studiu personalizate, chestionare sau conținuturi în chat și personalizare 100% bazată pe abilitățile și evoluțiile studenților.
Aplicația este disponibilă în Google Play Store și Apple App Store.
Da! Bucură-te de access la materiale de studiu, conectează-te cu alți elevi, și primește ajutor instant - toate acestea la un click distanță. În plus, câștigă puncte ca să deblochezi mai multe funcționalități!
App Store
Google Play
Aplicația este foarte ușor de utilizat și bine concepută. Am găsit tot ce căutam până acum și am reușit să învăț multe din prezentări! Cu siguranță voi folosi aplicația pentru o temă la clasă! Și desigur, ajută mult ca sursă de inspirație.
Ștefan S
utilizator iOS
Această aplicație este super. Sunt atât de multe materiale de studiu și ajutor pentru elevi [...]. Materia mea mai problematică este franceza, de exemplu, și aplicația oferă foarte multe materiale ajutătoare. Mulțumită acestei aplicații, mi-am îmbunătățit franceza. Aș recomanda-o oricui.
Samantha Klich
utilizator Android
Wow, sunt cu adevărat impresionat. Am încercat aplicația pentru că am văzut-o promovată de multe ori și am rămas uimit. Aceasta este AJUTORUL de care ai nevoie pentru școală și, mai presus de toate, oferă atât de multe lucruri, precum exerciții și fișe de informații, care mi-au fost FOARTE de ajutor.
Anna
utilizator iOS
Te ajută să înveți foarte repede și ști foarte bine ce ai dori tu să înveți, vă recomand cu drag să încercați și să învățați mai repede.!
Thomas R
utilizator iOS
Foarte bună aplicația!!!! Mă ajută să înțeleg mult mai bine lecțiile și temele le termin mult mai repede.👍❤️
Paul P
utilizator Android
Te ajută foarte bine la teme acest robot,recomand!
David K
utilizator iOS
Aplicația e grozavă! Tot ce trebuie să fac este să introduc subiectul în bara de căutare și primesc răspunsul foarte rapid. Nu mai trebuie să mă uit la 10 videoclipuri pe YouTube pentru a înțelege ceva, deci îmi economisesc timpul. Super recomandat!
Sudenaz Ocak
utilizator Android
La școală eram chiar slab la matematică, dar datorită aplicației, mă descurc mai bine acum. Sunt atât de recunoscător că ai creat aplicația.
Greenlight Bonnie
utilizator Android
Această aplicație e super interesantă și seamănă ca tiktok-ul doar că tu ai doar teorie și explicații.
Karla S
utilizator Android
Nu mai trebuie să stau cu orele să învăț după caiet când pot să citesc de 2 ori lecțiile care apar aici și iau 10 la test ! Knowunity m-a ajutat să iau nota 9,20 la română ! Voi recomanda ff tare aceasta aplicate , să nu uităm ca are și chat GPT !👍🏻
Denisa B
utilizator iOS
m-a ajutat foarte mult să înțeleg anumite exerciții la diferite materii , mă ajută foarte mult la teme , explicându-mi pas cu pas tot , o aplicație excelentă !! RECOMAND !
Sarah L
utilizator Android
Este foarte bună te ajută la teme te face să înțelegi lecțiile am înțeles o lecție în 20 de minute i singură nu reușeam să o învăț dar cu Knowunity am învățat-o foarte ușor
Alessia V
utilizator iOS
Aplicația este foarte ușor de utilizat și bine concepută. Am găsit tot ce căutam până acum și am reușit să învăț multe din prezentări! Cu siguranță voi folosi aplicația pentru o temă la clasă! Și desigur, ajută mult ca sursă de inspirație.
Ștefan S
utilizator iOS
Această aplicație este super. Sunt atât de multe materiale de studiu și ajutor pentru elevi [...]. Materia mea mai problematică este franceza, de exemplu, și aplicația oferă foarte multe materiale ajutătoare. Mulțumită acestei aplicații, mi-am îmbunătățit franceza. Aș recomanda-o oricui.
Samantha Klich
utilizator Android
Wow, sunt cu adevărat impresionat. Am încercat aplicația pentru că am văzut-o promovată de multe ori și am rămas uimit. Aceasta este AJUTORUL de care ai nevoie pentru școală și, mai presus de toate, oferă atât de multe lucruri, precum exerciții și fișe de informații, care mi-au fost FOARTE de ajutor.
Anna
utilizator iOS
Te ajută să înveți foarte repede și ști foarte bine ce ai dori tu să înveți, vă recomand cu drag să încercați și să învățați mai repede.!
Thomas R
utilizator iOS
Foarte bună aplicația!!!! Mă ajută să înțeleg mult mai bine lecțiile și temele le termin mult mai repede.👍❤️
Paul P
utilizator Android
Te ajută foarte bine la teme acest robot,recomand!
David K
utilizator iOS
Aplicația e grozavă! Tot ce trebuie să fac este să introduc subiectul în bara de căutare și primesc răspunsul foarte rapid. Nu mai trebuie să mă uit la 10 videoclipuri pe YouTube pentru a înțelege ceva, deci îmi economisesc timpul. Super recomandat!
Sudenaz Ocak
utilizator Android
La școală eram chiar slab la matematică, dar datorită aplicației, mă descurc mai bine acum. Sunt atât de recunoscător că ai creat aplicația.
Greenlight Bonnie
utilizator Android
Această aplicație e super interesantă și seamănă ca tiktok-ul doar că tu ai doar teorie și explicații.
Karla S
utilizator Android
Nu mai trebuie să stau cu orele să învăț după caiet când pot să citesc de 2 ori lecțiile care apar aici și iau 10 la test ! Knowunity m-a ajutat să iau nota 9,20 la română ! Voi recomanda ff tare aceasta aplicate , să nu uităm ca are și chat GPT !👍🏻
Denisa B
utilizator iOS
m-a ajutat foarte mult să înțeleg anumite exerciții la diferite materii , mă ajută foarte mult la teme , explicându-mi pas cu pas tot , o aplicație excelentă !! RECOMAND !
Sarah L
utilizator Android
Este foarte bună te ajută la teme te face să înțelegi lecțiile am înțeles o lecție în 20 de minute i singură nu reușeam să o învăț dar cu Knowunity am învățat-o foarte ușor
Alessia V
utilizator iOS
![# Tema 1
Calcule cu numere reale
1. Să se ordoneze crescător numerele $\left(\frac{1}{4}\right)^{-2}$, 64 şi $\sqrt[3]{8}$.
2.Să se demon](/_next/image?url=https%3A%2F%2Fcontent-eu-central-1.knowunity.com%2FCONTENT%2F01958c6e-f366-75a4-b5cd-64e2666d6842_image_page_1.webp&w=2048&q=75)
Acces la toate documentele
Îmbunătățește notele tale!
Alătură-te milioanelor de elevi
Prin înregistrare, accepți Termenii de serviciu și Politica de confidențialitate
![# Tema 1
Calcule cu numere reale
1. Să se ordoneze crescător numerele $\left(\frac{1}{4}\right)^{-2}$, 64 şi $\sqrt[3]{8}$.
2.Să se demon](/_next/image?url=https%3A%2F%2Fcontent-eu-central-1.knowunity.com%2FCONTENT%2F01958c6f-1fab-7e32-a92a-75ef05d281c8_image_page_1.webp&w=2048&q=75)
Acces la toate documentele
Îmbunătățește notele tale!
Alătură-te milioanelor de elevi
Prin înregistrare, accepți Termenii de serviciu și Politica de confidențialitate
![# Tema 1
Calcule cu numere reale
1. Să se ordoneze crescător numerele $\left(\frac{1}{4}\right)^{-2}$, 64 şi $\sqrt[3]{8}$.
2.Să se demon](/_next/image?url=https%3A%2F%2Fcontent-eu-central-1.knowunity.com%2FCONTENT%2F01958c6f-1fab-7e32-a92a-75ef05d281c8_image_page_2.webp&w=2048&q=75)
Acces la toate documentele
Îmbunătățește notele tale!
Alătură-te milioanelor de elevi
Prin înregistrare, accepți Termenii de serviciu și Politica de confidențialitate
![# Tema 1
Calcule cu numere reale
1. Să se ordoneze crescător numerele $\left(\frac{1}{4}\right)^{-2}$, 64 şi $\sqrt[3]{8}$.
2.Să se demon](/_next/image?url=https%3A%2F%2Fcontent-eu-central-1.knowunity.com%2FCONTENT%2F01958c6e-f366-75a4-b5cd-64e2666d6842_image_page_2.webp&w=2048&q=75)
Acces la toate documentele
Îmbunătățește notele tale!
Alătură-te milioanelor de elevi
Prin înregistrare, accepți Termenii de serviciu și Politica de confidențialitate
![# Tema 1
Calcule cu numere reale
1. Să se ordoneze crescător numerele $\left(\frac{1}{4}\right)^{-2}$, 64 şi $\sqrt[3]{8}$.
2.Să se demon](/_next/image?url=https%3A%2F%2Fcontent-eu-central-1.knowunity.com%2FCONTENT%2F01958c6f-1fab-7e32-a92a-75ef05d281c8_image_page_3.webp&w=2048&q=75)
Acces la toate documentele
Îmbunătățește notele tale!
Alătură-te milioanelor de elevi
Prin înregistrare, accepți Termenii de serviciu și Politica de confidențialitate
![# Tema 1
Calcule cu numere reale
1. Să se ordoneze crescător numerele $\left(\frac{1}{4}\right)^{-2}$, 64 şi $\sqrt[3]{8}$.
2.Să se demon](/_next/image?url=https%3A%2F%2Fcontent-eu-central-1.knowunity.com%2FCONTENT%2F01958c6e-f366-75a4-b5cd-64e2666d6842_image_page_3.webp&w=2048&q=75)
Acces la toate documentele
Îmbunătățește notele tale!
Alătură-te milioanelor de elevi
Prin înregistrare, accepți Termenii de serviciu și Politica de confidențialitate
![# Tema 1
Calcule cu numere reale
1. Să se ordoneze crescător numerele $\left(\frac{1}{4}\right)^{-2}$, 64 şi $\sqrt[3]{8}$.
2.Să se demon](/_next/image?url=https%3A%2F%2Fcontent-eu-central-1.knowunity.com%2FCONTENT%2F01958c6f-1fab-7e32-a92a-75ef05d281c8_image_page_4.webp&w=2048&q=75)
Acces la toate documentele
Îmbunătățește notele tale!
Alătură-te milioanelor de elevi
Prin înregistrare, accepți Termenii de serviciu și Politica de confidențialitate
![# Tema 1
Calcule cu numere reale
1. Să se ordoneze crescător numerele $\left(\frac{1}{4}\right)^{-2}$, 64 şi $\sqrt[3]{8}$.
2.Să se demon](/_next/image?url=https%3A%2F%2Fcontent-eu-central-1.knowunity.com%2FCONTENT%2F01958c6e-f366-75a4-b5cd-64e2666d6842_image_page_4.webp&w=2048&q=75)
Acces la toate documentele
Îmbunătățește notele tale!
Alătură-te milioanelor de elevi
Prin înregistrare, accepți Termenii de serviciu și Politica de confidențialitate
![# Tema 1
Calcule cu numere reale
1. Să se ordoneze crescător numerele $\left(\frac{1}{4}\right)^{-2}$, 64 şi $\sqrt[3]{8}$.
2.Să se demon](/_next/image?url=https%3A%2F%2Fcontent-eu-central-1.knowunity.com%2FCONTENT%2F01958c6f-1fab-7e32-a92a-75ef05d281c8_image_page_5.webp&w=2048&q=75)
Acces la toate documentele
Îmbunătățește notele tale!
Alătură-te milioanelor de elevi
Prin înregistrare, accepți Termenii de serviciu și Politica de confidențialitate
![# Tema 1
Calcule cu numere reale
1. Să se ordoneze crescător numerele $\left(\frac{1}{4}\right)^{-2}$, 64 şi $\sqrt[3]{8}$.
2.Să se demon](/_next/image?url=https%3A%2F%2Fcontent-eu-central-1.knowunity.com%2FCONTENT%2F01958c6e-f366-75a4-b5cd-64e2666d6842_image_page_5.webp&w=2048&q=75)
Acces la toate documentele
Îmbunătățește notele tale!
Alătură-te milioanelor de elevi
Prin înregistrare, accepți Termenii de serviciu și Politica de confidențialitate
![# Tema 1
Calcule cu numere reale
1. Să se ordoneze crescător numerele $\left(\frac{1}{4}\right)^{-2}$, 64 şi $\sqrt[3]{8}$.
2.Să se demon](/_next/image?url=https%3A%2F%2Fcontent-eu-central-1.knowunity.com%2FCONTENT%2F01958c6e-f366-75a4-b5cd-64e2666d6842_image_page_6.webp&w=2048&q=75)
Acces la toate documentele
Îmbunătățește notele tale!
Alătură-te milioanelor de elevi
Prin înregistrare, accepți Termenii de serviciu și Politica de confidențialitate
![# Tema 1
Calcule cu numere reale
1. Să se ordoneze crescător numerele $\left(\frac{1}{4}\right)^{-2}$, 64 şi $\sqrt[3]{8}$.
2.Să se demon](/_next/image?url=https%3A%2F%2Fcontent-eu-central-1.knowunity.com%2FCONTENT%2F01958c6f-1fab-7e32-a92a-75ef05d281c8_image_page_6.webp&w=2048&q=75)
Acces la toate documentele
Îmbunătățește notele tale!
Alătură-te milioanelor de elevi
Prin înregistrare, accepți Termenii de serviciu și Politica de confidențialitate
![# Tema 1
Calcule cu numere reale
1. Să se ordoneze crescător numerele $\left(\frac{1}{4}\right)^{-2}$, 64 şi $\sqrt[3]{8}$.
2.Să se demon](/_next/image?url=https%3A%2F%2Fcontent-eu-central-1.knowunity.com%2FCONTENT%2F01958c6f-1fab-7e32-a92a-75ef05d281c8_image_page_7.webp&w=2048&q=75)
Acces la toate documentele
Îmbunătățește notele tale!
Alătură-te milioanelor de elevi
Prin înregistrare, accepți Termenii de serviciu și Politica de confidențialitate
![# Tema 1
Calcule cu numere reale
1. Să se ordoneze crescător numerele $\left(\frac{1}{4}\right)^{-2}$, 64 şi $\sqrt[3]{8}$.
2.Să se demon](/_next/image?url=https%3A%2F%2Fcontent-eu-central-1.knowunity.com%2FCONTENT%2F01958c6e-f366-75a4-b5cd-64e2666d6842_image_page_7.webp&w=2048&q=75)
Acces la toate documentele
Îmbunătățește notele tale!
Alătură-te milioanelor de elevi
Prin înregistrare, accepți Termenii de serviciu și Politica de confidențialitate
![# Tema 1
Calcule cu numere reale
1. Să se ordoneze crescător numerele $\left(\frac{1}{4}\right)^{-2}$, 64 şi $\sqrt[3]{8}$.
2.Să se demon](/_next/image?url=https%3A%2F%2Fcontent-eu-central-1.knowunity.com%2FCONTENT%2F01958c6f-1fab-7e32-a92a-75ef05d281c8_image_page_8.webp&w=2048&q=75)
Acces la toate documentele
Îmbunătățește notele tale!
Alătură-te milioanelor de elevi
Prin înregistrare, accepți Termenii de serviciu și Politica de confidențialitate
![# Tema 1
Calcule cu numere reale
1. Să se ordoneze crescător numerele $\left(\frac{1}{4}\right)^{-2}$, 64 şi $\sqrt[3]{8}$.
2.Să se demon](/_next/image?url=https%3A%2F%2Fcontent-eu-central-1.knowunity.com%2FCONTENT%2F01958c6e-f366-75a4-b5cd-64e2666d6842_image_page_8.webp&w=2048&q=75)
Acces la toate documentele
Îmbunătățește notele tale!
Alătură-te milioanelor de elevi
Prin înregistrare, accepți Termenii de serviciu și Politica de confidențialitate
![# Tema 1
Calcule cu numere reale
1. Să se ordoneze crescător numerele $\left(\frac{1}{4}\right)^{-2}$, 64 şi $\sqrt[3]{8}$.
2.Să se demon](/_next/image?url=https%3A%2F%2Fcontent-eu-central-1.knowunity.com%2FCONTENT%2F01958c6e-f366-75a4-b5cd-64e2666d6842_image_page_9.webp&w=2048&q=75)
Acces la toate documentele
Îmbunătățește notele tale!
Alătură-te milioanelor de elevi
Prin înregistrare, accepți Termenii de serviciu și Politica de confidențialitate
![# Tema 1
Calcule cu numere reale
1. Să se ordoneze crescător numerele $\left(\frac{1}{4}\right)^{-2}$, 64 şi $\sqrt[3]{8}$.
2.Să se demon](/_next/image?url=https%3A%2F%2Fcontent-eu-central-1.knowunity.com%2FCONTENT%2F01958c6f-1fab-7e32-a92a-75ef05d281c8_image_page_9.webp&w=2048&q=75)
Acces la toate documentele
Îmbunătățește notele tale!
Alătură-te milioanelor de elevi
Prin înregistrare, accepți Termenii de serviciu și Politica de confidențialitate
![# Tema 1
Calcule cu numere reale
1. Să se ordoneze crescător numerele $\left(\frac{1}{4}\right)^{-2}$, 64 şi $\sqrt[3]{8}$.
2.Să se demon](/_next/image?url=https%3A%2F%2Fcontent-eu-central-1.knowunity.com%2FCONTENT%2F01958c6f-1fab-7e32-a92a-75ef05d281c8_image_page_10.webp&w=2048&q=75)
Acces la toate documentele
Îmbunătățește notele tale!
Alătură-te milioanelor de elevi
Prin înregistrare, accepți Termenii de serviciu și Politica de confidențialitate
![# Tema 1
Calcule cu numere reale
1. Să se ordoneze crescător numerele $\left(\frac{1}{4}\right)^{-2}$, 64 şi $\sqrt[3]{8}$.
2.Să se demon](/_next/image?url=https%3A%2F%2Fcontent-eu-central-1.knowunity.com%2FCONTENT%2F01958c6e-f366-75a4-b5cd-64e2666d6842_image_page_10.webp&w=2048&q=75)
Acces la toate documentele
Îmbunătățește notele tale!
Alătură-te milioanelor de elevi
Prin înregistrare, accepți Termenii de serviciu și Politica de confidențialitate
![# Tema 1
Calcule cu numere reale
1. Să se ordoneze crescător numerele $\left(\frac{1}{4}\right)^{-2}$, 64 şi $\sqrt[3]{8}$.
2.Să se demon](/_next/image?url=https%3A%2F%2Fcontent-eu-central-1.knowunity.com%2FCONTENT%2F01958c6e-f366-75a4-b5cd-64e2666d6842_image_page_11.webp&w=2048&q=75)
Acces la toate documentele
Îmbunătățește notele tale!
Alătură-te milioanelor de elevi
Prin înregistrare, accepți Termenii de serviciu și Politica de confidențialitate
![# Tema 1
Calcule cu numere reale
1. Să se ordoneze crescător numerele $\left(\frac{1}{4}\right)^{-2}$, 64 şi $\sqrt[3]{8}$.
2.Să se demon](/_next/image?url=https%3A%2F%2Fcontent-eu-central-1.knowunity.com%2FCONTENT%2F01958c6f-1fab-7e32-a92a-75ef05d281c8_image_page_11.webp&w=2048&q=75)
Acces la toate documentele
Îmbunătățește notele tale!
Alătură-te milioanelor de elevi
Prin înregistrare, accepți Termenii de serviciu și Politica de confidențialitate
![# Tema 1
Calcule cu numere reale
1. Să se ordoneze crescător numerele $\left(\frac{1}{4}\right)^{-2}$, 64 şi $\sqrt[3]{8}$.
2.Să se demon](/_next/image?url=https%3A%2F%2Fcontent-eu-central-1.knowunity.com%2FCONTENT%2F01958c6e-f366-75a4-b5cd-64e2666d6842_image_page_12.webp&w=2048&q=75)
Acces la toate documentele
Îmbunătățește notele tale!
Alătură-te milioanelor de elevi
Prin înregistrare, accepți Termenii de serviciu și Politica de confidențialitate
![# Tema 1
Calcule cu numere reale
1. Să se ordoneze crescător numerele $\left(\frac{1}{4}\right)^{-2}$, 64 şi $\sqrt[3]{8}$.
2.Să se demon](/_next/image?url=https%3A%2F%2Fcontent-eu-central-1.knowunity.com%2FCONTENT%2F01958c6f-1fab-7e32-a92a-75ef05d281c8_image_page_12.webp&w=2048&q=75)
Acces la toate documentele
Îmbunătățește notele tale!
Alătură-te milioanelor de elevi
Prin înregistrare, accepți Termenii de serviciu și Politica de confidențialitate
![# Tema 1
Calcule cu numere reale
1. Să se ordoneze crescător numerele $\left(\frac{1}{4}\right)^{-2}$, 64 şi $\sqrt[3]{8}$.
2.Să se demon](/_next/image?url=https%3A%2F%2Fcontent-eu-central-1.knowunity.com%2FCONTENT%2F01958c6e-f366-75a4-b5cd-64e2666d6842_image_page_13.webp&w=2048&q=75)
Acces la toate documentele
Îmbunătățește notele tale!
Alătură-te milioanelor de elevi
Prin înregistrare, accepți Termenii de serviciu și Politica de confidențialitate
![# Tema 1
Calcule cu numere reale
1. Să se ordoneze crescător numerele $\left(\frac{1}{4}\right)^{-2}$, 64 şi $\sqrt[3]{8}$.
2.Să se demon](/_next/image?url=https%3A%2F%2Fcontent-eu-central-1.knowunity.com%2FCONTENT%2F01958c6f-1fab-7e32-a92a-75ef05d281c8_image_page_13.webp&w=2048&q=75)
Acces la toate documentele
Îmbunătățește notele tale!
Alătură-te milioanelor de elevi
Prin înregistrare, accepți Termenii de serviciu și Politica de confidențialitate
![# Tema 1
Calcule cu numere reale
1. Să se ordoneze crescător numerele $\left(\frac{1}{4}\right)^{-2}$, 64 şi $\sqrt[3]{8}$.
2.Să se demon](/_next/image?url=https%3A%2F%2Fcontent-eu-central-1.knowunity.com%2FCONTENT%2F01958c6f-1fab-7e32-a92a-75ef05d281c8_image_page_14.webp&w=2048&q=75)
Acces la toate documentele
Îmbunătățește notele tale!
Alătură-te milioanelor de elevi
Prin înregistrare, accepți Termenii de serviciu și Politica de confidențialitate
![# Tema 1
Calcule cu numere reale
1. Să se ordoneze crescător numerele $\left(\frac{1}{4}\right)^{-2}$, 64 şi $\sqrt[3]{8}$.
2.Să se demon](/_next/image?url=https%3A%2F%2Fcontent-eu-central-1.knowunity.com%2FCONTENT%2F01958c6e-f366-75a4-b5cd-64e2666d6842_image_page_14.webp&w=2048&q=75)
Acces la toate documentele
Îmbunătățește notele tale!
Alătură-te milioanelor de elevi
Prin înregistrare, accepți Termenii de serviciu și Politica de confidențialitate
![# Tema 1
Calcule cu numere reale
1. Să se ordoneze crescător numerele $\left(\frac{1}{4}\right)^{-2}$, 64 şi $\sqrt[3]{8}$.
2.Să se demon](/_next/image?url=https%3A%2F%2Fcontent-eu-central-1.knowunity.com%2FCONTENT%2F01958c6e-f366-75a4-b5cd-64e2666d6842_image_page_15.webp&w=2048&q=75)
Acces la toate documentele
Îmbunătățește notele tale!
Alătură-te milioanelor de elevi
Prin înregistrare, accepți Termenii de serviciu și Politica de confidențialitate
![# Tema 1
Calcule cu numere reale
1. Să se ordoneze crescător numerele $\left(\frac{1}{4}\right)^{-2}$, 64 şi $\sqrt[3]{8}$.
2.Să se demon](/_next/image?url=https%3A%2F%2Fcontent-eu-central-1.knowunity.com%2FCONTENT%2F01958c6f-1fab-7e32-a92a-75ef05d281c8_image_page_15.webp&w=2048&q=75)
Acces la toate documentele
Îmbunătățește notele tale!
Alătură-te milioanelor de elevi
Prin înregistrare, accepți Termenii de serviciu și Politica de confidențialitate
![# Tema 1
Calcule cu numere reale
1. Să se ordoneze crescător numerele $\left(\frac{1}{4}\right)^{-2}$, 64 şi $\sqrt[3]{8}$.
2.Să se demon](/_next/image?url=https%3A%2F%2Fcontent-eu-central-1.knowunity.com%2FCONTENT%2F01958c6e-f366-75a4-b5cd-64e2666d6842_image_page_16.webp&w=2048&q=75)
Acces la toate documentele
Îmbunătățește notele tale!
Alătură-te milioanelor de elevi
Prin înregistrare, accepți Termenii de serviciu și Politica de confidențialitate
![# Tema 1
Calcule cu numere reale
1. Să se ordoneze crescător numerele $\left(\frac{1}{4}\right)^{-2}$, 64 şi $\sqrt[3]{8}$.
2.Să se demon](/_next/image?url=https%3A%2F%2Fcontent-eu-central-1.knowunity.com%2FCONTENT%2F01958c6f-1fab-7e32-a92a-75ef05d281c8_image_page_16.webp&w=2048&q=75)
Acces la toate documentele
Îmbunătățește notele tale!
Alătură-te milioanelor de elevi
Prin înregistrare, accepți Termenii de serviciu și Politica de confidențialitate
![# Tema 1
Calcule cu numere reale
1. Să se ordoneze crescător numerele $\left(\frac{1}{4}\right)^{-2}$, 64 şi $\sqrt[3]{8}$.
2.Să se demon](/_next/image?url=https%3A%2F%2Fcontent-eu-central-1.knowunity.com%2FCONTENT%2F01958c6e-f366-75a4-b5cd-64e2666d6842_image_page_17.webp&w=2048&q=75)
Acces la toate documentele
Îmbunătățește notele tale!
Alătură-te milioanelor de elevi
Prin înregistrare, accepți Termenii de serviciu și Politica de confidențialitate
![# Tema 1
Calcule cu numere reale
1. Să se ordoneze crescător numerele $\left(\frac{1}{4}\right)^{-2}$, 64 şi $\sqrt[3]{8}$.
2.Să se demon](/_next/image?url=https%3A%2F%2Fcontent-eu-central-1.knowunity.com%2FCONTENT%2F01958c6f-1fab-7e32-a92a-75ef05d281c8_image_page_17.webp&w=2048&q=75)
Acces la toate documentele
Îmbunătățește notele tale!
Alătură-te milioanelor de elevi
Prin înregistrare, accepți Termenii de serviciu și Politica de confidențialitate
![# Tema 1
Calcule cu numere reale
1. Să se ordoneze crescător numerele $\left(\frac{1}{4}\right)^{-2}$, 64 şi $\sqrt[3]{8}$.
2.Să se demon](/_next/image?url=https%3A%2F%2Fcontent-eu-central-1.knowunity.com%2FCONTENT%2F01958c6e-f366-75a4-b5cd-64e2666d6842_image_page_18.webp&w=2048&q=75)
Acces la toate documentele
Îmbunătățește notele tale!
Alătură-te milioanelor de elevi
Prin înregistrare, accepți Termenii de serviciu și Politica de confidențialitate
![# Tema 1
Calcule cu numere reale
1. Să se ordoneze crescător numerele $\left(\frac{1}{4}\right)^{-2}$, 64 şi $\sqrt[3]{8}$.
2.Să se demon](/_next/image?url=https%3A%2F%2Fcontent-eu-central-1.knowunity.com%2FCONTENT%2F01958c6f-1fab-7e32-a92a-75ef05d281c8_image_page_18.webp&w=2048&q=75)
Acces la toate documentele
Îmbunătățește notele tale!
Alătură-te milioanelor de elevi
Prin înregistrare, accepți Termenii de serviciu și Politica de confidențialitate
![# Tema 1
Calcule cu numere reale
1. Să se ordoneze crescător numerele $\left(\frac{1}{4}\right)^{-2}$, 64 şi $\sqrt[3]{8}$.
2.Să se demon](/_next/image?url=https%3A%2F%2Fcontent-eu-central-1.knowunity.com%2FCONTENT%2F01958c6e-f366-75a4-b5cd-64e2666d6842_image_page_19.webp&w=2048&q=75)
Acces la toate documentele
Îmbunătățește notele tale!
Alătură-te milioanelor de elevi
Prin înregistrare, accepți Termenii de serviciu și Politica de confidențialitate
![# Tema 1
Calcule cu numere reale
1. Să se ordoneze crescător numerele $\left(\frac{1}{4}\right)^{-2}$, 64 şi $\sqrt[3]{8}$.
2.Să se demon](/_next/image?url=https%3A%2F%2Fcontent-eu-central-1.knowunity.com%2FCONTENT%2F01958c6f-1fab-7e32-a92a-75ef05d281c8_image_page_19.webp&w=2048&q=75)
Acces la toate documentele
Îmbunătățește notele tale!
Alătură-te milioanelor de elevi
Prin înregistrare, accepți Termenii de serviciu și Politica de confidențialitate
![# Tema 1
Calcule cu numere reale
1. Să se ordoneze crescător numerele $\left(\frac{1}{4}\right)^{-2}$, 64 şi $\sqrt[3]{8}$.
2.Să se demon](/_next/image?url=https%3A%2F%2Fcontent-eu-central-1.knowunity.com%2FCONTENT%2F01958c6e-f366-75a4-b5cd-64e2666d6842_image_page_20.webp&w=2048&q=75)
Acces la toate documentele
Îmbunătățește notele tale!
Alătură-te milioanelor de elevi
Prin înregistrare, accepți Termenii de serviciu și Politica de confidențialitate
![# Tema 1
Calcule cu numere reale
1. Să se ordoneze crescător numerele $\left(\frac{1}{4}\right)^{-2}$, 64 şi $\sqrt[3]{8}$.
2.Să se demon](/_next/image?url=https%3A%2F%2Fcontent-eu-central-1.knowunity.com%2FCONTENT%2F01958c6f-1fab-7e32-a92a-75ef05d281c8_image_page_20.webp&w=2048&q=75)
Acces la toate documentele
Îmbunătățește notele tale!
Alătură-te milioanelor de elevi
Prin înregistrare, accepți Termenii de serviciu și Politica de confidențialitate
![# Tema 1
Calcule cu numere reale
1. Să se ordoneze crescător numerele $\left(\frac{1}{4}\right)^{-2}$, 64 şi $\sqrt[3]{8}$.
2.Să se demon](/_next/image?url=https%3A%2F%2Fcontent-eu-central-1.knowunity.com%2FCONTENT%2F01958c6f-1fab-7e32-a92a-75ef05d281c8_image_page_21.webp&w=2048&q=75)
Acces la toate documentele
Îmbunătățește notele tale!
Alătură-te milioanelor de elevi
Prin înregistrare, accepți Termenii de serviciu și Politica de confidențialitate
![# Tema 1
Calcule cu numere reale
1. Să se ordoneze crescător numerele $\left(\frac{1}{4}\right)^{-2}$, 64 şi $\sqrt[3]{8}$.
2.Să se demon](/_next/image?url=https%3A%2F%2Fcontent-eu-central-1.knowunity.com%2FCONTENT%2F01958c6e-f366-75a4-b5cd-64e2666d6842_image_page_21.webp&w=2048&q=75)
Acces la toate documentele
Îmbunătățește notele tale!
Alătură-te milioanelor de elevi
Prin înregistrare, accepți Termenii de serviciu și Politica de confidențialitate
![# Tema 1
Calcule cu numere reale
1. Să se ordoneze crescător numerele $\left(\frac{1}{4}\right)^{-2}$, 64 şi $\sqrt[3]{8}$.
2.Să se demon](/_next/image?url=https%3A%2F%2Fcontent-eu-central-1.knowunity.com%2FCONTENT%2F01958c6f-1fab-7e32-a92a-75ef05d281c8_image_page_22.webp&w=2048&q=75)
Acces la toate documentele
Îmbunătățește notele tale!
Alătură-te milioanelor de elevi
Prin înregistrare, accepți Termenii de serviciu și Politica de confidențialitate
![# Tema 1
Calcule cu numere reale
1. Să se ordoneze crescător numerele $\left(\frac{1}{4}\right)^{-2}$, 64 şi $\sqrt[3]{8}$.
2.Să se demon](/_next/image?url=https%3A%2F%2Fcontent-eu-central-1.knowunity.com%2FCONTENT%2F01958c6e-f366-75a4-b5cd-64e2666d6842_image_page_22.webp&w=2048&q=75)
Acces la toate documentele
Îmbunătățește notele tale!
Alătură-te milioanelor de elevi
Prin înregistrare, accepți Termenii de serviciu și Politica de confidențialitate
![# Tema 1
Calcule cu numere reale
1. Să se ordoneze crescător numerele $\left(\frac{1}{4}\right)^{-2}$, 64 şi $\sqrt[3]{8}$.
2.Să se demon](/_next/image?url=https%3A%2F%2Fcontent-eu-central-1.knowunity.com%2FCONTENT%2F01958c6e-f366-75a4-b5cd-64e2666d6842_image_page_23.webp&w=2048&q=75)
Acces la toate documentele
Îmbunătățește notele tale!
Alătură-te milioanelor de elevi
Prin înregistrare, accepți Termenii de serviciu și Politica de confidențialitate
![# Tema 1
Calcule cu numere reale
1. Să se ordoneze crescător numerele $\left(\frac{1}{4}\right)^{-2}$, 64 şi $\sqrt[3]{8}$.
2.Să se demon](/_next/image?url=https%3A%2F%2Fcontent-eu-central-1.knowunity.com%2FCONTENT%2F01958c6f-1fab-7e32-a92a-75ef05d281c8_image_page_23.webp&w=2048&q=75)
Acces la toate documentele
Îmbunătățește notele tale!
Alătură-te milioanelor de elevi
Prin înregistrare, accepți Termenii de serviciu și Politica de confidențialitate
![# Tema 1
Calcule cu numere reale
1. Să se ordoneze crescător numerele $\left(\frac{1}{4}\right)^{-2}$, 64 şi $\sqrt[3]{8}$.
2.Să se demon](/_next/image?url=https%3A%2F%2Fcontent-eu-central-1.knowunity.com%2FCONTENT%2F01958c6e-f366-75a4-b5cd-64e2666d6842_image_page_24.webp&w=2048&q=75)
Acces la toate documentele
Îmbunătățește notele tale!
Alătură-te milioanelor de elevi
Prin înregistrare, accepți Termenii de serviciu și Politica de confidențialitate
![# Tema 1
Calcule cu numere reale
1. Să se ordoneze crescător numerele $\left(\frac{1}{4}\right)^{-2}$, 64 şi $\sqrt[3]{8}$.
2.Să se demon](/_next/image?url=https%3A%2F%2Fcontent-eu-central-1.knowunity.com%2FCONTENT%2F01958c6f-1fab-7e32-a92a-75ef05d281c8_image_page_24.webp&w=2048&q=75)
Acces la toate documentele
Îmbunătățește notele tale!
Alătură-te milioanelor de elevi
Prin înregistrare, accepți Termenii de serviciu și Politica de confidențialitate
![# Tema 1
Calcule cu numere reale
1. Să se ordoneze crescător numerele $\left(\frac{1}{4}\right)^{-2}$, 64 şi $\sqrt[3]{8}$.
2.Să se demon](/_next/image?url=https%3A%2F%2Fcontent-eu-central-1.knowunity.com%2FCONTENT%2F01958c6f-1fab-7e32-a92a-75ef05d281c8_image_page_25.webp&w=2048&q=75)
Acces la toate documentele
Îmbunătățește notele tale!
Alătură-te milioanelor de elevi
Prin înregistrare, accepți Termenii de serviciu și Politica de confidențialitate
![# Tema 1
Calcule cu numere reale
1. Să se ordoneze crescător numerele $\left(\frac{1}{4}\right)^{-2}$, 64 şi $\sqrt[3]{8}$.
2.Să se demon](/_next/image?url=https%3A%2F%2Fcontent-eu-central-1.knowunity.com%2FCONTENT%2F01958c6e-f366-75a4-b5cd-64e2666d6842_image_page_25.webp&w=2048&q=75)
Acces la toate documentele
Îmbunătățește notele tale!
Alătură-te milioanelor de elevi
Prin înregistrare, accepți Termenii de serviciu și Politica de confidențialitate
![# Tema 1
Calcule cu numere reale
1. Să se ordoneze crescător numerele $\left(\frac{1}{4}\right)^{-2}$, 64 şi $\sqrt[3]{8}$.
2.Să se demon](/_next/image?url=https%3A%2F%2Fcontent-eu-central-1.knowunity.com%2FCONTENT%2F01958c6e-f366-75a4-b5cd-64e2666d6842_image_page_26.webp&w=2048&q=75)
Acces la toate documentele
Îmbunătățește notele tale!
Alătură-te milioanelor de elevi
Prin înregistrare, accepți Termenii de serviciu și Politica de confidențialitate
![# Tema 1
Calcule cu numere reale
1. Să se ordoneze crescător numerele $\left(\frac{1}{4}\right)^{-2}$, 64 şi $\sqrt[3]{8}$.
2.Să se demon](/_next/image?url=https%3A%2F%2Fcontent-eu-central-1.knowunity.com%2FCONTENT%2F01958c6f-1fab-7e32-a92a-75ef05d281c8_image_page_26.webp&w=2048&q=75)
Acces la toate documentele
Îmbunătățește notele tale!
Alătură-te milioanelor de elevi
Prin înregistrare, accepți Termenii de serviciu și Politica de confidențialitate
![# Tema 1
Calcule cu numere reale
1. Să se ordoneze crescător numerele $\left(\frac{1}{4}\right)^{-2}$, 64 şi $\sqrt[3]{8}$.
2.Să se demon](/_next/image?url=https%3A%2F%2Fcontent-eu-central-1.knowunity.com%2FCONTENT%2F01958c6e-f366-75a4-b5cd-64e2666d6842_image_page_27.webp&w=2048&q=75)
Acces la toate documentele
Îmbunătățește notele tale!
Alătură-te milioanelor de elevi
Prin înregistrare, accepți Termenii de serviciu și Politica de confidențialitate
![# Tema 1
Calcule cu numere reale
1. Să se ordoneze crescător numerele $\left(\frac{1}{4}\right)^{-2}$, 64 şi $\sqrt[3]{8}$.
2.Să se demon](/_next/image?url=https%3A%2F%2Fcontent-eu-central-1.knowunity.com%2FCONTENT%2F01958c6f-1fab-7e32-a92a-75ef05d281c8_image_page_27.webp&w=2048&q=75)
Acces la toate documentele
Îmbunătățește notele tale!
Alătură-te milioanelor de elevi
Prin înregistrare, accepți Termenii de serviciu și Politica de confidențialitate
![# Tema 1
Calcule cu numere reale
1. Să se ordoneze crescător numerele $\left(\frac{1}{4}\right)^{-2}$, 64 şi $\sqrt[3]{8}$.
2.Să se demon](/_next/image?url=https%3A%2F%2Fcontent-eu-central-1.knowunity.com%2FCONTENT%2F01958c6f-1fab-7e32-a92a-75ef05d281c8_image_page_28.webp&w=2048&q=75)
Acces la toate documentele
Îmbunătățește notele tale!
Alătură-te milioanelor de elevi
Prin înregistrare, accepți Termenii de serviciu și Politica de confidențialitate
![# Tema 1
Calcule cu numere reale
1. Să se ordoneze crescător numerele $\left(\frac{1}{4}\right)^{-2}$, 64 şi $\sqrt[3]{8}$.
2.Să se demon](/_next/image?url=https%3A%2F%2Fcontent-eu-central-1.knowunity.com%2FCONTENT%2F01958c6e-f366-75a4-b5cd-64e2666d6842_image_page_28.webp&w=2048&q=75)
Acces la toate documentele
Îmbunătățește notele tale!
Alătură-te milioanelor de elevi
Prin înregistrare, accepți Termenii de serviciu și Politica de confidențialitate
![# Tema 1
Calcule cu numere reale
1. Să se ordoneze crescător numerele $\left(\frac{1}{4}\right)^{-2}$, 64 şi $\sqrt[3]{8}$.
2.Să se demon](/_next/image?url=https%3A%2F%2Fcontent-eu-central-1.knowunity.com%2FCONTENT%2F01958c6e-f366-75a4-b5cd-64e2666d6842_image_page_29.webp&w=2048&q=75)
Acces la toate documentele
Îmbunătățește notele tale!
Alătură-te milioanelor de elevi
Prin înregistrare, accepți Termenii de serviciu și Politica de confidențialitate
![# Tema 1
Calcule cu numere reale
1. Să se ordoneze crescător numerele $\left(\frac{1}{4}\right)^{-2}$, 64 şi $\sqrt[3]{8}$.
2.Să se demon](/_next/image?url=https%3A%2F%2Fcontent-eu-central-1.knowunity.com%2FCONTENT%2F01958c6f-1fab-7e32-a92a-75ef05d281c8_image_page_29.webp&w=2048&q=75)
Acces la toate documentele
Îmbunătățește notele tale!
Alătură-te milioanelor de elevi
Prin înregistrare, accepți Termenii de serviciu și Politica de confidențialitate
![# Tema 1
Calcule cu numere reale
1. Să se ordoneze crescător numerele $\left(\frac{1}{4}\right)^{-2}$, 64 şi $\sqrt[3]{8}$.
2.Să se demon](/_next/image?url=https%3A%2F%2Fcontent-eu-central-1.knowunity.com%2FCONTENT%2F01958c6f-1fab-7e32-a92a-75ef05d281c8_image_page_30.webp&w=2048&q=75)
Acces la toate documentele
Îmbunătățește notele tale!
Alătură-te milioanelor de elevi
Prin înregistrare, accepți Termenii de serviciu și Politica de confidențialitate
![# Tema 1
Calcule cu numere reale
1. Să se ordoneze crescător numerele $\left(\frac{1}{4}\right)^{-2}$, 64 şi $\sqrt[3]{8}$.
2.Să se demon](/_next/image?url=https%3A%2F%2Fcontent-eu-central-1.knowunity.com%2FCONTENT%2F01958c6e-f366-75a4-b5cd-64e2666d6842_image_page_30.webp&w=2048&q=75)
Acces la toate documentele
Îmbunătățește notele tale!
Alătură-te milioanelor de elevi
Prin înregistrare, accepți Termenii de serviciu și Politica de confidențialitate
Companionul nostru AI este creat special pentru nevoile studenților. Bazându-ne pe milioanele de materiale de pe platformă, putem oferi răspunsuri exacte și relevante pentru studenți. Dar nu este vorba doar despre răspunsuri, companionul este mai ales despre ghidarea studenților prin provocările zilnice de învățare, cu planuri de studiu personalizate, chestionare sau conținuturi în chat și personalizare 100% bazată pe abilitățile și evoluțiile studenților.
Aplicația este disponibilă în Google Play Store și Apple App Store.
Da! Bucură-te de access la materiale de studiu, conectează-te cu alți elevi, și primește ajutor instant - toate acestea la un click distanță. În plus, câștigă puncte ca să deblochezi mai multe funcționalități!
19
Instrumente inteligente NOU
Transformă această notiță în: ✓ 50+ întrebări de exersare ✓ Flashcard-uri interactive ✓ Simulare completă ✓ Planuri de eseu
App Store
Google Play
Aplicația este foarte ușor de utilizat și bine concepută. Am găsit tot ce căutam până acum și am reușit să învăț multe din prezentări! Cu siguranță voi folosi aplicația pentru o temă la clasă! Și desigur, ajută mult ca sursă de inspirație.
Ștefan S
utilizator iOS
Această aplicație este super. Sunt atât de multe materiale de studiu și ajutor pentru elevi [...]. Materia mea mai problematică este franceza, de exemplu, și aplicația oferă foarte multe materiale ajutătoare. Mulțumită acestei aplicații, mi-am îmbunătățit franceza. Aș recomanda-o oricui.
Samantha Klich
utilizator Android
Wow, sunt cu adevărat impresionat. Am încercat aplicația pentru că am văzut-o promovată de multe ori și am rămas uimit. Aceasta este AJUTORUL de care ai nevoie pentru școală și, mai presus de toate, oferă atât de multe lucruri, precum exerciții și fișe de informații, care mi-au fost FOARTE de ajutor.
Anna
utilizator iOS
Te ajută să înveți foarte repede și ști foarte bine ce ai dori tu să înveți, vă recomand cu drag să încercați și să învățați mai repede.!
Thomas R
utilizator iOS
Foarte bună aplicația!!!! Mă ajută să înțeleg mult mai bine lecțiile și temele le termin mult mai repede.👍❤️
Paul P
utilizator Android
Te ajută foarte bine la teme acest robot,recomand!
David K
utilizator iOS
Aplicația e grozavă! Tot ce trebuie să fac este să introduc subiectul în bara de căutare și primesc răspunsul foarte rapid. Nu mai trebuie să mă uit la 10 videoclipuri pe YouTube pentru a înțelege ceva, deci îmi economisesc timpul. Super recomandat!
Sudenaz Ocak
utilizator Android
La școală eram chiar slab la matematică, dar datorită aplicației, mă descurc mai bine acum. Sunt atât de recunoscător că ai creat aplicația.
Greenlight Bonnie
utilizator Android
Această aplicație e super interesantă și seamănă ca tiktok-ul doar că tu ai doar teorie și explicații.
Karla S
utilizator Android
Nu mai trebuie să stau cu orele să învăț după caiet când pot să citesc de 2 ori lecțiile care apar aici și iau 10 la test ! Knowunity m-a ajutat să iau nota 9,20 la română ! Voi recomanda ff tare aceasta aplicate , să nu uităm ca are și chat GPT !👍🏻
Denisa B
utilizator iOS
m-a ajutat foarte mult să înțeleg anumite exerciții la diferite materii , mă ajută foarte mult la teme , explicându-mi pas cu pas tot , o aplicație excelentă !! RECOMAND !
Sarah L
utilizator Android
Este foarte bună te ajută la teme te face să înțelegi lecțiile am înțeles o lecție în 20 de minute i singură nu reușeam să o învăț dar cu Knowunity am învățat-o foarte ușor
Alessia V
utilizator iOS
Aplicația este foarte ușor de utilizat și bine concepută. Am găsit tot ce căutam până acum și am reușit să învăț multe din prezentări! Cu siguranță voi folosi aplicația pentru o temă la clasă! Și desigur, ajută mult ca sursă de inspirație.
Ștefan S
utilizator iOS
Această aplicație este super. Sunt atât de multe materiale de studiu și ajutor pentru elevi [...]. Materia mea mai problematică este franceza, de exemplu, și aplicația oferă foarte multe materiale ajutătoare. Mulțumită acestei aplicații, mi-am îmbunătățit franceza. Aș recomanda-o oricui.
Samantha Klich
utilizator Android
Wow, sunt cu adevărat impresionat. Am încercat aplicația pentru că am văzut-o promovată de multe ori și am rămas uimit. Aceasta este AJUTORUL de care ai nevoie pentru școală și, mai presus de toate, oferă atât de multe lucruri, precum exerciții și fișe de informații, care mi-au fost FOARTE de ajutor.
Anna
utilizator iOS
Te ajută să înveți foarte repede și ști foarte bine ce ai dori tu să înveți, vă recomand cu drag să încercați și să învățați mai repede.!
Thomas R
utilizator iOS
Foarte bună aplicația!!!! Mă ajută să înțeleg mult mai bine lecțiile și temele le termin mult mai repede.👍❤️
Paul P
utilizator Android
Te ajută foarte bine la teme acest robot,recomand!
David K
utilizator iOS
Aplicația e grozavă! Tot ce trebuie să fac este să introduc subiectul în bara de căutare și primesc răspunsul foarte rapid. Nu mai trebuie să mă uit la 10 videoclipuri pe YouTube pentru a înțelege ceva, deci îmi economisesc timpul. Super recomandat!
Sudenaz Ocak
utilizator Android
La școală eram chiar slab la matematică, dar datorită aplicației, mă descurc mai bine acum. Sunt atât de recunoscător că ai creat aplicația.
Greenlight Bonnie
utilizator Android
Această aplicație e super interesantă și seamănă ca tiktok-ul doar că tu ai doar teorie și explicații.
Karla S
utilizator Android
Nu mai trebuie să stau cu orele să învăț după caiet când pot să citesc de 2 ori lecțiile care apar aici și iau 10 la test ! Knowunity m-a ajutat să iau nota 9,20 la română ! Voi recomanda ff tare aceasta aplicate , să nu uităm ca are și chat GPT !👍🏻
Denisa B
utilizator iOS
m-a ajutat foarte mult să înțeleg anumite exerciții la diferite materii , mă ajută foarte mult la teme , explicându-mi pas cu pas tot , o aplicație excelentă !! RECOMAND !
Sarah L
utilizator Android
Este foarte bună te ajută la teme te face să înțelegi lecțiile am înțeles o lecție în 20 de minute i singură nu reușeam să o învăț dar cu Knowunity am învățat-o foarte ușor
Alessia V
utilizator iOS