Materii

Knowunity AI

Accesează aplicația

Materii

286

Actualizat 13 feb. 2026

21 pagini

Introducere în Logica pentru Clasa a IX-a

user profile picture

Alee

@opreaalexia

Logica este știința demonstrației care studiază formele și legile generale... Afișează mai mult

Page 1
Page 2
Page 3
Page 4
Page 5
Page 6
Page 7
Page 8
Page 9
Page 10
Page 11
Page 12
Page 13
Page 14
Page 15
Page 16
Page 17
Page 18
Page 19
Page 20
Page 21
1 / 21
A

INTRODUCERE

20.09.2023.

Def: Logica este stiinta demonstratici
şi studiază formele şi legile gemerale
ale ratiomari corecte.
rati omar

Introducere în Logică

Logica studiază formele și legile raționării corecte, fiind o știință formală - analizează doar forma raționării, nu conținutul ei.

Cele trei forme logice principale sunt termenul, propoziția și raționamentul. Raționamentul este operația logică prin care, din propoziții date (numite premise), obținem o altă propoziție (numită concluzie).

În identificarea premiselor și concluziei folosim indicatori de argumentare. Indicatorii de premisă pot fi: deoarece, pentru că, datorită, presupunând că.

⚡️ Logica ne ajută să gândim clar și ordonat, permițându-ne să facem distincție între argumente valide și cele eronate!

A

INTRODUCERE

20.09.2023.

Def: Logica este stiinta demonstratici
şi studiază formele şi legile gemerale
ale ratiomari corecte.
rati omar

Termenul Logic

Un termen logic este un cuvânt sau grup de cuvinte care exprimă o noțiune și se referă la unul sau mai multe obiecte reale sau imaginare. Este fundamentul gândirii logice!

Structura unui termen conține trei elemente esențiale:

  1. Componenta ontologică - ceea ce există, obiectul în sine
  2. Componenta lingvistică - cuvântul sau expresia folosită
  3. Componenta cognitivă - noțiunea, cunoașterea despre obiect

Aceste trei elemente lucrează împreună pentru a forma un termen complet, fiind practic modul în care conectăm lumea reală, limbajul și gândirea noastră.

🔍 Înțelegerea structurii termenilor ne ajută să comunicăm precis și să evităm confuziile în argumentare!

A

INTRODUCERE

20.09.2023.

Def: Logica este stiinta demonstratici
şi studiază formele şi legile gemerale
ale ratiomari corecte.
rati omar

Caracteristicile Termenului

Termenul logic are două caracteristici fundamentale care îl definesc:

Intensiunea reprezintă totalitatea trăsăturilor specifice obiectelor dintr-o clasă. Gândește-te la intensiune ca la "definiția" termenului - ce înseamnă să fii parte din acea categorie.

Extensiunea reprezintă totalitatea obiectelor care au trăsăturile specificate în intensiune. Este practic "colecția" tuturor obiectelor care se încadrează în acea categorie.

Între intensiune și extensiune există un raport de dualitate: când una crește, cealaltă scade. Cu cât adăugăm mai multe caracteristici (intensiune mai mare), cu atât mai puține obiecte vor îndeplini toate acele condiții (extensiune mai mică).

💡 Exemplu: Termenul "pisică birmaneză albă" are o intensiune mare (multe caracteristici) și o extensiune mică (puține exemplare care îndeplinesc toate condițiile)!

A

INTRODUCERE

20.09.2023.

Def: Logica este stiinta demonstratici
şi studiază formele şi legile gemerale
ale ratiomari corecte.
rati omar

Clasificarea Termenilor (I)

Termenii pot fi clasificați din punct de vedere intensional în mai multe categorii:

Termeni absoluți vs. relativi

  • Absolut: se aplică obiectelor considerate izolat (ex: planetă, culoare)
  • Relativ: numește o relație între două sau mai multe obiecte (ex: soț, soție, nepot)

Termeni abstracți vs. concreți

  • Abstract: desemnează însușiri de sine stătătoare (ex: frumusețe)
  • Concret: desemnează obiecte sau relații între obiecte (ex: frumos)

Termeni pozitivi vs. negativi

  • Pozitiv: indică prezența unei însușiri (ex: coerent)
  • Negativ: indică absența unei însușiri (ex: incoerent)

Termeni simpli vs. compuși

  • Simplu: noțiune primară (ex: automobil)
  • Compus: derivat dintr-o noțiune primară (ex: automobil de teren)

🧠 Clasificarea termenilor ne ajută să ne exprimăm mai precis și să înțelegem nuanțele logice ale comunicării!

A

INTRODUCERE

20.09.2023.

Def: Logica este stiinta demonstratici
şi studiază formele şi legile gemerale
ale ratiomari corecte.
rati omar

Clasificarea Termenilor (II)

Din punct de vedere extensional, termenii pot fi:

Termeni vizi vs. nevizi

  • Vizi: nu există niciun obiect în extensiunea sa
    • Logici (ex: pătrat rotund)
    • Factuali (ex: unicorn, sirene)
  • Nevizi: au cel puțin un obiect în extensiune

Termeni singulari vs. generali

  • Singular: în extensiune există un singur obiect (ex: CFC)
  • General: în extensiune există mai multe obiecte (ex: două milioane, CFC)

Termeni colectivi vs. distributivi

  • Colectiv: denumește o colecție de obiecte (ex: pădure)
  • Distributiv: trăsăturile din intensiune revin fiecărui membru

Înțelegerea acestor categorii te ajută să analizezi mai bine relațiile dintre concepte și să eviți greșelile de raționament.

🌲 Observă diferența: când spunem "pădure", ne referim la întregul colectiv, nu la fiecare copac individual!

A

INTRODUCERE

20.09.2023.

Def: Logica este stiinta demonstratici
şi studiază formele şi legile gemerale
ale ratiomari corecte.
rati omar

Raporturi Logice între Termeni (I)

Raporturile de concomitență apar când termenii au cel puțin un element comun în extensiunile lor:

Raport de identitate - extensiunile termenilor coincid complet exemplu:nea=za˘pada˘exemplu: nea = zăpadă. În reprezentarea Euler, cercurile care simbolizează termenii se suprapun perfect.

Raport de ordonare - extensiunea unui termen este inclusă complet în extensiunea celuilalt (dar nu și invers). De exemplu, între "felină" și "leu", leul este o specie a felinelor. Termenul mai larg se numește "supraordonat", iar cel mai restrâns "subordonat".

Raport de încrucișare - extensiunile termenilor coincid parțial. De exemplu, între "elev" și "sportiv performant" - unii elevi sunt sportivi performanți, dar nu toți, și invers.

🔄 Gândește-te la raporturile logice ca la relațiile dintre mulțimi, reprezentate vizual prin diagrame Euler!

A

INTRODUCERE

20.09.2023.

Def: Logica este stiinta demonstratici
şi studiază formele şi legile gemerale
ale ratiomari corecte.
rati omar

Raporturi Logice între Termeni (II)

Raporturile de opoziție se stabilesc când extensiunile termenilor nu au absolut niciun element comun. În acest caz, termenii sunt complet incompatibili - niciun obiect nu poate aparține simultan ambelor categorii.

Pentru a reprezenta vizual raporturile între termeni, folosim diagramele Euler. Acestea sunt cercuri care reprezintă extensiunea termenilor, iar modul în care se poziționează (separat, suprapunere completă, parțială sau incluziune) indică tipul de raport între termeni.

Diagramele Euler sunt instrumente vizuale extrem de utile pentru rezolvarea exercițiilor complexe cu mai mulți termeni și relațiile dintre aceștia.

📊 Când lucrezi cu diagrame Euler, începe cu termenii despre care ai cele mai multe informații și adaugă treptat ceilalți termeni!

A

INTRODUCERE

20.09.2023.

Def: Logica este stiinta demonstratici
şi studiază formele şi legile gemerale
ale ratiomari corecte.
rati omar

Definirea

Definirea este operația logică prin care conturăm intensiunea unui termen. Practic, explicăm ce înseamnă acel termen, care sunt caracteristicile sale esențiale.

Structura unei definiții conține:

  1. Definitul - ceea ce trebuie să definim
  2. Definitorul - ceea ce utilizăm în operația de definire
  3. Relația de definire A=BA = B

Exemplu: "Liliac = mamifer zburător" liliac=definitul,mamiferzbura˘tor=definitorulliliac = definitul, mamifer zburător = definitorul

Definirea corectă trebuie să respecte anumite reguli:

  1. Regula adecvării - definitorul trebuie să fie adecvat conținutului definitului (nici prea larg, nici prea restrâns, nici încrucișat)
  2. Regula noncircularității - definitorul nu trebuie să conțină definitul sau să se sprijine pe acesta

⚠️ O definiție circulară nu explică nimic! De exemplu, "Frumusețea este calitatea de a fi frumos" nu clarifică ce înseamnă frumusețea.

A

INTRODUCERE

20.09.2023.

Def: Logica este stiinta demonstratici
şi studiază formele şi legile gemerale
ale ratiomari corecte.
rati omar

Regulile Definirii

Pentru ca o definiție să fie corectă și utilă, trebuie să respecte și următoarele reguli:

  1. Regula afirmării - o definiție trebuie să spună ce este definitul, nu ce nu este acesta. Definițiile negative sunt incomplete și nu oferă o înțelegere clară.

  2. Regula clarității și preciziei - o definiție nu trebuie să conțină figuri de stil, limbaj obscur sau echivoc. Scopul definiției este să clarifice, nu să încurce!

  3. Regula consistenței - o definiție nu trebuie să intre în contradicție cu alte definiții sau sisteme de propoziții deja acceptate.

Respectarea acestor reguli asigură că definițiile noastre sunt utile, clare și pot fi folosite eficient în comunicare și raționament.

🎯 O definiție bună trebuie să fie ca o lumină care luminează exact ce este un concept, fără umbre sau zone neclare!

A

INTRODUCERE

20.09.2023.

Def: Logica este stiinta demonstratici
şi studiază formele şi legile gemerale
ale ratiomari corecte.
rati omar

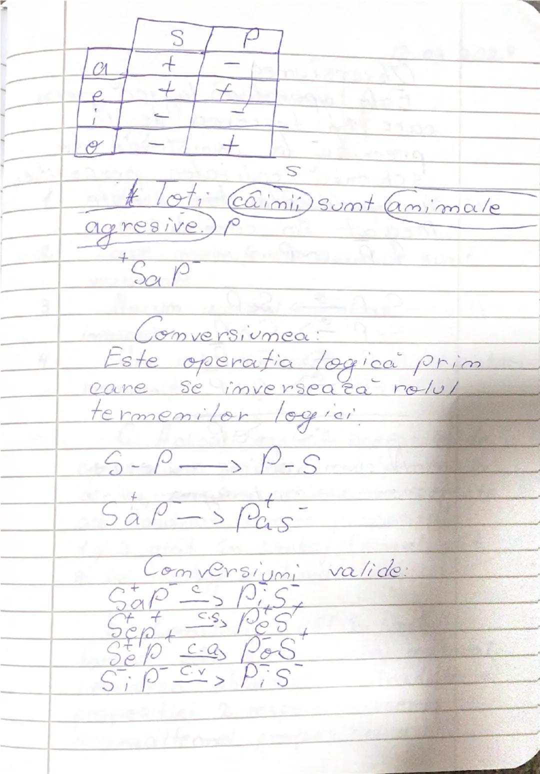
Propozițiile Categorice

Propozițiile categorice sunt formele logice în care se exprimă un singur raport între doi termeni, fără ca acest raport să fie condiționat de altceva. Termenul provine din grecescul "kategorein" care înseamnă "a predica".

În structura unei propoziții categorice identificăm:

  • Subiectul logic (S) - termenul despre care se spune ceva
  • Predicatul logic (P) - ceea ce se spune despre subiectul logic

Propozițiile categorice au două caracteristici principale:

  • Calitate: pot fi afirmative sau negative
  • Cantitate: se referă la întreaga sferă a lui S sau doar la o parte din ea

Aceste caracteristici ne ajută să clasificăm propozițiile categorice și să înțelegem relațiile dintre ele în judecățile noastre.

🔍 Propozițiile categorice sunt ca niște cărămizi de bază în construcția argumentelor logice!

A

INTRODUCERE

20.09.2023.

Def: Logica este stiinta demonstratici
şi studiază formele şi legile gemerale
ale ratiomari corecte.
rati omar
A

INTRODUCERE

20.09.2023.

Def: Logica este stiinta demonstratici
şi studiază formele şi legile gemerale
ale ratiomari corecte.
rati omar
A

INTRODUCERE

20.09.2023.

Def: Logica este stiinta demonstratici
şi studiază formele şi legile gemerale
ale ratiomari corecte.
rati omar
A

INTRODUCERE

20.09.2023.

Def: Logica este stiinta demonstratici
şi studiază formele şi legile gemerale
ale ratiomari corecte.
rati omar
A

INTRODUCERE

20.09.2023.

Def: Logica este stiinta demonstratici
şi studiază formele şi legile gemerale
ale ratiomari corecte.
rati omar
A

INTRODUCERE

20.09.2023.

Def: Logica este stiinta demonstratici
şi studiază formele şi legile gemerale
ale ratiomari corecte.
rati omar
A

INTRODUCERE

20.09.2023.

Def: Logica este stiinta demonstratici
şi studiază formele şi legile gemerale
ale ratiomari corecte.
rati omar
A

INTRODUCERE

20.09.2023.

Def: Logica este stiinta demonstratici
şi studiază formele şi legile gemerale
ale ratiomari corecte.
rati omar
A

INTRODUCERE

20.09.2023.

Def: Logica este stiinta demonstratici
şi studiază formele şi legile gemerale
ale ratiomari corecte.
rati omar
A

INTRODUCERE

20.09.2023.

Def: Logica este stiinta demonstratici
şi studiază formele şi legile gemerale
ale ratiomari corecte.
rati omar
A

INTRODUCERE

20.09.2023.

Def: Logica este stiinta demonstratici
şi studiază formele şi legile gemerale
ale ratiomari corecte.
rati omar


Credeam că nu vei întreba niciodată...

Ce este Companionul AI Knowunity?

Companionul nostru AI este creat special pentru nevoile studenților. Bazându-ne pe milioanele de materiale de pe platformă, putem oferi răspunsuri exacte și relevante pentru studenți. Dar nu este vorba doar despre răspunsuri, companionul este mai ales despre ghidarea studenților prin provocările zilnice de învățare, cu planuri de studiu personalizate, chestionare sau conținuturi în chat și personalizare 100% bazată pe abilitățile și evoluțiile studenților.

De unde pot descărca aplicația Knowunity?

Aplicația este disponibilă în Google Play Store și Apple App Store.

Este Knowunity chiar gratuită?

Da! Bucură-te de access la materiale de studiu, conectează-te cu alți elevi, și primește ajutor instant - toate acestea la un click distanță. În plus, câștigă puncte ca să deblochezi mai multe funcționalități!

Nu găsești ce cauți? Explorează alte MATERII.

Recenzii de la utilizatorii noștri. Ei iubesc să folosească Knowunity — și tu o vei face.

4.6/5

App Store

4.7/5

Google Play

Aplicația este foarte ușor de utilizat și bine concepută. Am găsit tot ce căutam până acum și am reușit să învăț multe din prezentări! Cu siguranță voi folosi aplicația pentru o temă la clasă! Și desigur, ajută mult ca sursă de inspirație.

Ștefan S

utilizator iOS

Această aplicație este super. Sunt atât de multe materiale de studiu și ajutor pentru elevi [...]. Materia mea mai problematică este franceza, de exemplu, și aplicația oferă foarte multe materiale ajutătoare. Mulțumită acestei aplicații, mi-am îmbunătățit franceza. Aș recomanda-o oricui.

Samantha Klich

utilizator Android

Wow, sunt cu adevărat impresionat. Am încercat aplicația pentru că am văzut-o promovată de multe ori și am rămas uimit. Aceasta este AJUTORUL de care ai nevoie pentru școală și, mai presus de toate, oferă atât de multe lucruri, precum exerciții și fișe de informații, care mi-au fost FOARTE de ajutor.

Anna

utilizator iOS

Te ajută să înveți foarte repede și ști foarte bine ce ai dori tu să înveți, vă recomand cu drag să încercați și să învățați mai repede.!

Thomas R

utilizator iOS

Foarte bună aplicația!!!! Mă ajută să înțeleg mult mai bine lecțiile și temele le termin mult mai repede.👍❤️

Paul P

utilizator Android

Te ajută foarte bine la teme acest robot,recomand!

David K

utilizator iOS

Aplicația e grozavă! Tot ce trebuie să fac este să introduc subiectul în bara de căutare și primesc răspunsul foarte rapid. Nu mai trebuie să mă uit la 10 videoclipuri pe YouTube pentru a înțelege ceva, deci îmi economisesc timpul. Super recomandat!

Sudenaz Ocak

utilizator Android

La școală eram chiar slab la matematică, dar datorită aplicației, mă descurc mai bine acum. Sunt atât de recunoscător că ai creat aplicația.

Greenlight Bonnie

utilizator Android

Această aplicație e super interesantă și seamănă ca tiktok-ul doar că tu ai doar teorie și explicații.

Karla S

utilizator Android

Nu mai trebuie să stau cu orele să învăț după caiet când pot să citesc de 2 ori lecțiile care apar aici și iau 10 la test ! Knowunity m-a ajutat să iau nota 9,20 la română ! Voi recomanda ff tare aceasta aplicate , să nu uităm ca are și chat GPT !👍🏻

Denisa B

utilizator iOS

CHESTIONARELE ȘI FLASHCARD-URILE SUNT ATÂT DE UTILE ȘI IUBESC Knowunity AI. E LITERALMENTE CA CHATGPT DOAR CĂ MAI DEȘTEPT!! M-A AJUTAT ȘI CU PROBLEMELE MELE CU MASCARA!! PLUS CU MATERIILE MELE ADEVĂRATE! EVIDENT 😍😁😲🤑💗✨🎀😮

Sarah L

utilizator Android

Este foarte bună te ajută la teme te face să înțelegi lecțiile am înțeles o lecție în 20 de minute i singură nu reușeam să o învăț dar cu Knowunity am învățat-o foarte ușor

Alessia V

utilizator iOS

Aplicația este foarte ușor de utilizat și bine concepută. Am găsit tot ce căutam până acum și am reușit să învăț multe din prezentări! Cu siguranță voi folosi aplicația pentru o temă la clasă! Și desigur, ajută mult ca sursă de inspirație.

Ștefan S

utilizator iOS

Această aplicație este super. Sunt atât de multe materiale de studiu și ajutor pentru elevi [...]. Materia mea mai problematică este franceza, de exemplu, și aplicația oferă foarte multe materiale ajutătoare. Mulțumită acestei aplicații, mi-am îmbunătățit franceza. Aș recomanda-o oricui.

Samantha Klich

utilizator Android

Wow, sunt cu adevărat impresionat. Am încercat aplicația pentru că am văzut-o promovată de multe ori și am rămas uimit. Aceasta este AJUTORUL de care ai nevoie pentru școală și, mai presus de toate, oferă atât de multe lucruri, precum exerciții și fișe de informații, care mi-au fost FOARTE de ajutor.

Anna

utilizator iOS

Te ajută să înveți foarte repede și ști foarte bine ce ai dori tu să înveți, vă recomand cu drag să încercați și să învățați mai repede.!

Thomas R

utilizator iOS

Foarte bună aplicația!!!! Mă ajută să înțeleg mult mai bine lecțiile și temele le termin mult mai repede.👍❤️

Paul P

utilizator Android

Te ajută foarte bine la teme acest robot,recomand!

David K

utilizator iOS

Aplicația e grozavă! Tot ce trebuie să fac este să introduc subiectul în bara de căutare și primesc răspunsul foarte rapid. Nu mai trebuie să mă uit la 10 videoclipuri pe YouTube pentru a înțelege ceva, deci îmi economisesc timpul. Super recomandat!

Sudenaz Ocak

utilizator Android

La școală eram chiar slab la matematică, dar datorită aplicației, mă descurc mai bine acum. Sunt atât de recunoscător că ai creat aplicația.

Greenlight Bonnie

utilizator Android

Această aplicație e super interesantă și seamănă ca tiktok-ul doar că tu ai doar teorie și explicații.

Karla S

utilizator Android

Nu mai trebuie să stau cu orele să învăț după caiet când pot să citesc de 2 ori lecțiile care apar aici și iau 10 la test ! Knowunity m-a ajutat să iau nota 9,20 la română ! Voi recomanda ff tare aceasta aplicate , să nu uităm ca are și chat GPT !👍🏻

Denisa B

utilizator iOS

CHESTIONARELE ȘI FLASHCARD-URILE SUNT ATÂT DE UTILE ȘI IUBESC Knowunity AI. E LITERALMENTE CA CHATGPT DOAR CĂ MAI DEȘTEPT!! M-A AJUTAT ȘI CU PROBLEMELE MELE CU MASCARA!! PLUS CU MATERIILE MELE ADEVĂRATE! EVIDENT 😍😁😲🤑💗✨🎀😮

Sarah L

utilizator Android

Este foarte bună te ajută la teme te face să înțelegi lecțiile am înțeles o lecție în 20 de minute i singură nu reușeam să o învăț dar cu Knowunity am învățat-o foarte ușor

Alessia V

utilizator iOS

 

Logică

286

Actualizat 13 feb. 2026

21 pagini

Introducere în Logica pentru Clasa a IX-a

user profile picture

Alee

@opreaalexia

Logica este știința demonstrației care studiază formele și legile generale ale raționării corecte. Aceasta se concentrează pe formele raționării fără a ține cont de conținutul acesteia, motiv pentru care o numim logică formală.

A

INTRODUCERE

20.09.2023.

Def: Logica este stiinta demonstratici
şi studiază formele şi legile gemerale
ale ratiomari corecte.
rati omar

Înscrie-te pentru a vedea CONȚINUTULE gratuit!

Acces la toate documentele

Îmbunătățește notele tale!

Alătură-te milioanelor de elevi

Prin înregistrare, accepți Termenii de serviciu și Politica de confidențialitate

Introducere în Logică

Logica studiază formele și legile raționării corecte, fiind o știință formală - analizează doar forma raționării, nu conținutul ei.

Cele trei forme logice principale sunt termenul, propoziția și raționamentul. Raționamentul este operația logică prin care, din propoziții date (numite premise), obținem o altă propoziție (numită concluzie).

În identificarea premiselor și concluziei folosim indicatori de argumentare. Indicatorii de premisă pot fi: deoarece, pentru că, datorită, presupunând că.

⚡️ Logica ne ajută să gândim clar și ordonat, permițându-ne să facem distincție între argumente valide și cele eronate!

A

INTRODUCERE

20.09.2023.

Def: Logica este stiinta demonstratici
şi studiază formele şi legile gemerale
ale ratiomari corecte.
rati omar

Înscrie-te pentru a vedea CONȚINUTULE gratuit!

Acces la toate documentele

Îmbunătățește notele tale!

Alătură-te milioanelor de elevi

Prin înregistrare, accepți Termenii de serviciu și Politica de confidențialitate

Termenul Logic

Un termen logic este un cuvânt sau grup de cuvinte care exprimă o noțiune și se referă la unul sau mai multe obiecte reale sau imaginare. Este fundamentul gândirii logice!

Structura unui termen conține trei elemente esențiale:

  1. Componenta ontologică - ceea ce există, obiectul în sine
  2. Componenta lingvistică - cuvântul sau expresia folosită
  3. Componenta cognitivă - noțiunea, cunoașterea despre obiect

Aceste trei elemente lucrează împreună pentru a forma un termen complet, fiind practic modul în care conectăm lumea reală, limbajul și gândirea noastră.

🔍 Înțelegerea structurii termenilor ne ajută să comunicăm precis și să evităm confuziile în argumentare!

A

INTRODUCERE

20.09.2023.

Def: Logica este stiinta demonstratici
şi studiază formele şi legile gemerale
ale ratiomari corecte.
rati omar

Înscrie-te pentru a vedea CONȚINUTULE gratuit!

Acces la toate documentele

Îmbunătățește notele tale!

Alătură-te milioanelor de elevi

Prin înregistrare, accepți Termenii de serviciu și Politica de confidențialitate

Caracteristicile Termenului

Termenul logic are două caracteristici fundamentale care îl definesc:

Intensiunea reprezintă totalitatea trăsăturilor specifice obiectelor dintr-o clasă. Gândește-te la intensiune ca la "definiția" termenului - ce înseamnă să fii parte din acea categorie.

Extensiunea reprezintă totalitatea obiectelor care au trăsăturile specificate în intensiune. Este practic "colecția" tuturor obiectelor care se încadrează în acea categorie.

Între intensiune și extensiune există un raport de dualitate: când una crește, cealaltă scade. Cu cât adăugăm mai multe caracteristici (intensiune mai mare), cu atât mai puține obiecte vor îndeplini toate acele condiții (extensiune mai mică).

💡 Exemplu: Termenul "pisică birmaneză albă" are o intensiune mare (multe caracteristici) și o extensiune mică (puține exemplare care îndeplinesc toate condițiile)!

A

INTRODUCERE

20.09.2023.

Def: Logica este stiinta demonstratici
şi studiază formele şi legile gemerale
ale ratiomari corecte.
rati omar

Înscrie-te pentru a vedea CONȚINUTULE gratuit!

Acces la toate documentele

Îmbunătățește notele tale!

Alătură-te milioanelor de elevi

Prin înregistrare, accepți Termenii de serviciu și Politica de confidențialitate

Clasificarea Termenilor (I)

Termenii pot fi clasificați din punct de vedere intensional în mai multe categorii:

Termeni absoluți vs. relativi

  • Absolut: se aplică obiectelor considerate izolat (ex: planetă, culoare)
  • Relativ: numește o relație între două sau mai multe obiecte (ex: soț, soție, nepot)

Termeni abstracți vs. concreți

  • Abstract: desemnează însușiri de sine stătătoare (ex: frumusețe)
  • Concret: desemnează obiecte sau relații între obiecte (ex: frumos)

Termeni pozitivi vs. negativi

  • Pozitiv: indică prezența unei însușiri (ex: coerent)
  • Negativ: indică absența unei însușiri (ex: incoerent)

Termeni simpli vs. compuși

  • Simplu: noțiune primară (ex: automobil)
  • Compus: derivat dintr-o noțiune primară (ex: automobil de teren)

🧠 Clasificarea termenilor ne ajută să ne exprimăm mai precis și să înțelegem nuanțele logice ale comunicării!

A

INTRODUCERE

20.09.2023.

Def: Logica este stiinta demonstratici
şi studiază formele şi legile gemerale
ale ratiomari corecte.
rati omar

Înscrie-te pentru a vedea CONȚINUTULE gratuit!

Acces la toate documentele

Îmbunătățește notele tale!

Alătură-te milioanelor de elevi

Prin înregistrare, accepți Termenii de serviciu și Politica de confidențialitate

Clasificarea Termenilor (II)

Din punct de vedere extensional, termenii pot fi:

Termeni vizi vs. nevizi

  • Vizi: nu există niciun obiect în extensiunea sa
    • Logici (ex: pătrat rotund)
    • Factuali (ex: unicorn, sirene)
  • Nevizi: au cel puțin un obiect în extensiune

Termeni singulari vs. generali

  • Singular: în extensiune există un singur obiect (ex: CFC)
  • General: în extensiune există mai multe obiecte (ex: două milioane, CFC)

Termeni colectivi vs. distributivi

  • Colectiv: denumește o colecție de obiecte (ex: pădure)
  • Distributiv: trăsăturile din intensiune revin fiecărui membru

Înțelegerea acestor categorii te ajută să analizezi mai bine relațiile dintre concepte și să eviți greșelile de raționament.

🌲 Observă diferența: când spunem "pădure", ne referim la întregul colectiv, nu la fiecare copac individual!

A

INTRODUCERE

20.09.2023.

Def: Logica este stiinta demonstratici
şi studiază formele şi legile gemerale
ale ratiomari corecte.
rati omar

Înscrie-te pentru a vedea CONȚINUTULE gratuit!

Acces la toate documentele

Îmbunătățește notele tale!

Alătură-te milioanelor de elevi

Prin înregistrare, accepți Termenii de serviciu și Politica de confidențialitate

Raporturi Logice între Termeni (I)

Raporturile de concomitență apar când termenii au cel puțin un element comun în extensiunile lor:

Raport de identitate - extensiunile termenilor coincid complet exemplu:nea=za˘pada˘exemplu: nea = zăpadă. În reprezentarea Euler, cercurile care simbolizează termenii se suprapun perfect.

Raport de ordonare - extensiunea unui termen este inclusă complet în extensiunea celuilalt (dar nu și invers). De exemplu, între "felină" și "leu", leul este o specie a felinelor. Termenul mai larg se numește "supraordonat", iar cel mai restrâns "subordonat".

Raport de încrucișare - extensiunile termenilor coincid parțial. De exemplu, între "elev" și "sportiv performant" - unii elevi sunt sportivi performanți, dar nu toți, și invers.

🔄 Gândește-te la raporturile logice ca la relațiile dintre mulțimi, reprezentate vizual prin diagrame Euler!

A

INTRODUCERE

20.09.2023.

Def: Logica este stiinta demonstratici
şi studiază formele şi legile gemerale
ale ratiomari corecte.
rati omar

Înscrie-te pentru a vedea CONȚINUTULE gratuit!

Acces la toate documentele

Îmbunătățește notele tale!

Alătură-te milioanelor de elevi

Prin înregistrare, accepți Termenii de serviciu și Politica de confidențialitate

Raporturi Logice între Termeni (II)

Raporturile de opoziție se stabilesc când extensiunile termenilor nu au absolut niciun element comun. În acest caz, termenii sunt complet incompatibili - niciun obiect nu poate aparține simultan ambelor categorii.

Pentru a reprezenta vizual raporturile între termeni, folosim diagramele Euler. Acestea sunt cercuri care reprezintă extensiunea termenilor, iar modul în care se poziționează (separat, suprapunere completă, parțială sau incluziune) indică tipul de raport între termeni.

Diagramele Euler sunt instrumente vizuale extrem de utile pentru rezolvarea exercițiilor complexe cu mai mulți termeni și relațiile dintre aceștia.

📊 Când lucrezi cu diagrame Euler, începe cu termenii despre care ai cele mai multe informații și adaugă treptat ceilalți termeni!

A

INTRODUCERE

20.09.2023.

Def: Logica este stiinta demonstratici
şi studiază formele şi legile gemerale
ale ratiomari corecte.
rati omar

Înscrie-te pentru a vedea CONȚINUTULE gratuit!

Acces la toate documentele

Îmbunătățește notele tale!

Alătură-te milioanelor de elevi

Prin înregistrare, accepți Termenii de serviciu și Politica de confidențialitate

Definirea

Definirea este operația logică prin care conturăm intensiunea unui termen. Practic, explicăm ce înseamnă acel termen, care sunt caracteristicile sale esențiale.

Structura unei definiții conține:

  1. Definitul - ceea ce trebuie să definim
  2. Definitorul - ceea ce utilizăm în operația de definire
  3. Relația de definire A=BA = B

Exemplu: "Liliac = mamifer zburător" liliac=definitul,mamiferzbura˘tor=definitorulliliac = definitul, mamifer zburător = definitorul

Definirea corectă trebuie să respecte anumite reguli:

  1. Regula adecvării - definitorul trebuie să fie adecvat conținutului definitului (nici prea larg, nici prea restrâns, nici încrucișat)
  2. Regula noncircularității - definitorul nu trebuie să conțină definitul sau să se sprijine pe acesta

⚠️ O definiție circulară nu explică nimic! De exemplu, "Frumusețea este calitatea de a fi frumos" nu clarifică ce înseamnă frumusețea.

A

INTRODUCERE

20.09.2023.

Def: Logica este stiinta demonstratici
şi studiază formele şi legile gemerale
ale ratiomari corecte.
rati omar

Înscrie-te pentru a vedea CONȚINUTULE gratuit!

Acces la toate documentele

Îmbunătățește notele tale!

Alătură-te milioanelor de elevi

Prin înregistrare, accepți Termenii de serviciu și Politica de confidențialitate

Regulile Definirii

Pentru ca o definiție să fie corectă și utilă, trebuie să respecte și următoarele reguli:

  1. Regula afirmării - o definiție trebuie să spună ce este definitul, nu ce nu este acesta. Definițiile negative sunt incomplete și nu oferă o înțelegere clară.

  2. Regula clarității și preciziei - o definiție nu trebuie să conțină figuri de stil, limbaj obscur sau echivoc. Scopul definiției este să clarifice, nu să încurce!

  3. Regula consistenței - o definiție nu trebuie să intre în contradicție cu alte definiții sau sisteme de propoziții deja acceptate.

Respectarea acestor reguli asigură că definițiile noastre sunt utile, clare și pot fi folosite eficient în comunicare și raționament.

🎯 O definiție bună trebuie să fie ca o lumină care luminează exact ce este un concept, fără umbre sau zone neclare!

A

INTRODUCERE

20.09.2023.

Def: Logica este stiinta demonstratici
şi studiază formele şi legile gemerale
ale ratiomari corecte.
rati omar

Înscrie-te pentru a vedea CONȚINUTULE gratuit!

Acces la toate documentele

Îmbunătățește notele tale!

Alătură-te milioanelor de elevi

Prin înregistrare, accepți Termenii de serviciu și Politica de confidențialitate

Propozițiile Categorice

Propozițiile categorice sunt formele logice în care se exprimă un singur raport între doi termeni, fără ca acest raport să fie condiționat de altceva. Termenul provine din grecescul "kategorein" care înseamnă "a predica".

În structura unei propoziții categorice identificăm:

  • Subiectul logic (S) - termenul despre care se spune ceva
  • Predicatul logic (P) - ceea ce se spune despre subiectul logic

Propozițiile categorice au două caracteristici principale:

  • Calitate: pot fi afirmative sau negative
  • Cantitate: se referă la întreaga sferă a lui S sau doar la o parte din ea

Aceste caracteristici ne ajută să clasificăm propozițiile categorice și să înțelegem relațiile dintre ele în judecățile noastre.

🔍 Propozițiile categorice sunt ca niște cărămizi de bază în construcția argumentelor logice!

A

INTRODUCERE

20.09.2023.

Def: Logica este stiinta demonstratici
şi studiază formele şi legile gemerale
ale ratiomari corecte.
rati omar

Înscrie-te pentru a vedea CONȚINUTULE gratuit!

Acces la toate documentele

Îmbunătățește notele tale!

Alătură-te milioanelor de elevi

Prin înregistrare, accepți Termenii de serviciu și Politica de confidențialitate

A

INTRODUCERE

20.09.2023.

Def: Logica este stiinta demonstratici
şi studiază formele şi legile gemerale
ale ratiomari corecte.
rati omar

Înscrie-te pentru a vedea CONȚINUTULE gratuit!

Acces la toate documentele

Îmbunătățește notele tale!

Alătură-te milioanelor de elevi

Prin înregistrare, accepți Termenii de serviciu și Politica de confidențialitate

A

INTRODUCERE

20.09.2023.

Def: Logica este stiinta demonstratici
şi studiază formele şi legile gemerale
ale ratiomari corecte.
rati omar

Înscrie-te pentru a vedea CONȚINUTULE gratuit!

Acces la toate documentele

Îmbunătățește notele tale!

Alătură-te milioanelor de elevi

Prin înregistrare, accepți Termenii de serviciu și Politica de confidențialitate

A

INTRODUCERE

20.09.2023.

Def: Logica este stiinta demonstratici
şi studiază formele şi legile gemerale
ale ratiomari corecte.
rati omar

Înscrie-te pentru a vedea CONȚINUTULE gratuit!

Acces la toate documentele

Îmbunătățește notele tale!

Alătură-te milioanelor de elevi

Prin înregistrare, accepți Termenii de serviciu și Politica de confidențialitate

A

INTRODUCERE

20.09.2023.

Def: Logica este stiinta demonstratici
şi studiază formele şi legile gemerale
ale ratiomari corecte.
rati omar

Înscrie-te pentru a vedea CONȚINUTULE gratuit!

Acces la toate documentele

Îmbunătățește notele tale!

Alătură-te milioanelor de elevi

Prin înregistrare, accepți Termenii de serviciu și Politica de confidențialitate

A

INTRODUCERE

20.09.2023.

Def: Logica este stiinta demonstratici
şi studiază formele şi legile gemerale
ale ratiomari corecte.
rati omar

Înscrie-te pentru a vedea CONȚINUTULE gratuit!

Acces la toate documentele

Îmbunătățește notele tale!

Alătură-te milioanelor de elevi

Prin înregistrare, accepți Termenii de serviciu și Politica de confidențialitate

A

INTRODUCERE

20.09.2023.

Def: Logica este stiinta demonstratici
şi studiază formele şi legile gemerale
ale ratiomari corecte.
rati omar

Înscrie-te pentru a vedea CONȚINUTULE gratuit!

Acces la toate documentele

Îmbunătățește notele tale!

Alătură-te milioanelor de elevi

Prin înregistrare, accepți Termenii de serviciu și Politica de confidențialitate

A

INTRODUCERE

20.09.2023.

Def: Logica este stiinta demonstratici
şi studiază formele şi legile gemerale
ale ratiomari corecte.
rati omar

Înscrie-te pentru a vedea CONȚINUTULE gratuit!

Acces la toate documentele

Îmbunătățește notele tale!

Alătură-te milioanelor de elevi

Prin înregistrare, accepți Termenii de serviciu și Politica de confidențialitate

A

INTRODUCERE

20.09.2023.

Def: Logica este stiinta demonstratici
şi studiază formele şi legile gemerale
ale ratiomari corecte.
rati omar

Înscrie-te pentru a vedea CONȚINUTULE gratuit!

Acces la toate documentele

Îmbunătățește notele tale!

Alătură-te milioanelor de elevi

Prin înregistrare, accepți Termenii de serviciu și Politica de confidențialitate

A

INTRODUCERE

20.09.2023.

Def: Logica este stiinta demonstratici
şi studiază formele şi legile gemerale
ale ratiomari corecte.
rati omar

Înscrie-te pentru a vedea CONȚINUTULE gratuit!

Acces la toate documentele

Îmbunătățește notele tale!

Alătură-te milioanelor de elevi

Prin înregistrare, accepți Termenii de serviciu și Politica de confidențialitate

A

INTRODUCERE

20.09.2023.

Def: Logica este stiinta demonstratici
şi studiază formele şi legile gemerale
ale ratiomari corecte.
rati omar

Înscrie-te pentru a vedea CONȚINUTULE gratuit!

Acces la toate documentele

Îmbunătățește notele tale!

Alătură-te milioanelor de elevi

Prin înregistrare, accepți Termenii de serviciu și Politica de confidențialitate

Credeam că nu vei întreba niciodată...

Ce este Companionul AI Knowunity?

Companionul nostru AI este creat special pentru nevoile studenților. Bazându-ne pe milioanele de materiale de pe platformă, putem oferi răspunsuri exacte și relevante pentru studenți. Dar nu este vorba doar despre răspunsuri, companionul este mai ales despre ghidarea studenților prin provocările zilnice de învățare, cu planuri de studiu personalizate, chestionare sau conținuturi în chat și personalizare 100% bazată pe abilitățile și evoluțiile studenților.

De unde pot descărca aplicația Knowunity?

Aplicația este disponibilă în Google Play Store și Apple App Store.

Este Knowunity chiar gratuită?

Da! Bucură-te de access la materiale de studiu, conectează-te cu alți elevi, și primește ajutor instant - toate acestea la un click distanță. În plus, câștigă puncte ca să deblochezi mai multe funcționalități!

3

Instrumente inteligente NOU

Transformă această notiță în: ✓ 50+ întrebări de exersare ✓ Flashcard-uri interactive ✓ Examen de practică complet ✓ Planuri de eseu

Examen de practică
Quiz
Flashcard-uri
Eseu

Nu găsești ce cauți? Explorează alte MATERII.

Recenzii de la utilizatorii noștri. Ei iubesc să folosească Knowunity — și tu o vei face.

4.6/5

App Store

4.7/5

Google Play

Aplicația este foarte ușor de utilizat și bine concepută. Am găsit tot ce căutam până acum și am reușit să învăț multe din prezentări! Cu siguranță voi folosi aplicația pentru o temă la clasă! Și desigur, ajută mult ca sursă de inspirație.

Ștefan S

utilizator iOS

Această aplicație este super. Sunt atât de multe materiale de studiu și ajutor pentru elevi [...]. Materia mea mai problematică este franceza, de exemplu, și aplicația oferă foarte multe materiale ajutătoare. Mulțumită acestei aplicații, mi-am îmbunătățit franceza. Aș recomanda-o oricui.

Samantha Klich

utilizator Android

Wow, sunt cu adevărat impresionat. Am încercat aplicația pentru că am văzut-o promovată de multe ori și am rămas uimit. Aceasta este AJUTORUL de care ai nevoie pentru școală și, mai presus de toate, oferă atât de multe lucruri, precum exerciții și fișe de informații, care mi-au fost FOARTE de ajutor.

Anna

utilizator iOS

Te ajută să înveți foarte repede și ști foarte bine ce ai dori tu să înveți, vă recomand cu drag să încercați și să învățați mai repede.!

Thomas R

utilizator iOS

Foarte bună aplicația!!!! Mă ajută să înțeleg mult mai bine lecțiile și temele le termin mult mai repede.👍❤️

Paul P

utilizator Android

Te ajută foarte bine la teme acest robot,recomand!

David K

utilizator iOS

Aplicația e grozavă! Tot ce trebuie să fac este să introduc subiectul în bara de căutare și primesc răspunsul foarte rapid. Nu mai trebuie să mă uit la 10 videoclipuri pe YouTube pentru a înțelege ceva, deci îmi economisesc timpul. Super recomandat!

Sudenaz Ocak

utilizator Android

La școală eram chiar slab la matematică, dar datorită aplicației, mă descurc mai bine acum. Sunt atât de recunoscător că ai creat aplicația.

Greenlight Bonnie

utilizator Android

Această aplicație e super interesantă și seamănă ca tiktok-ul doar că tu ai doar teorie și explicații.

Karla S

utilizator Android

Nu mai trebuie să stau cu orele să învăț după caiet când pot să citesc de 2 ori lecțiile care apar aici și iau 10 la test ! Knowunity m-a ajutat să iau nota 9,20 la română ! Voi recomanda ff tare aceasta aplicate , să nu uităm ca are și chat GPT !👍🏻

Denisa B

utilizator iOS

CHESTIONARELE ȘI FLASHCARD-URILE SUNT ATÂT DE UTILE ȘI IUBESC Knowunity AI. E LITERALMENTE CA CHATGPT DOAR CĂ MAI DEȘTEPT!! M-A AJUTAT ȘI CU PROBLEMELE MELE CU MASCARA!! PLUS CU MATERIILE MELE ADEVĂRATE! EVIDENT 😍😁😲🤑💗✨🎀😮

Sarah L

utilizator Android

Este foarte bună te ajută la teme te face să înțelegi lecțiile am înțeles o lecție în 20 de minute i singură nu reușeam să o învăț dar cu Knowunity am învățat-o foarte ușor

Alessia V

utilizator iOS

Aplicația este foarte ușor de utilizat și bine concepută. Am găsit tot ce căutam până acum și am reușit să învăț multe din prezentări! Cu siguranță voi folosi aplicația pentru o temă la clasă! Și desigur, ajută mult ca sursă de inspirație.

Ștefan S

utilizator iOS

Această aplicație este super. Sunt atât de multe materiale de studiu și ajutor pentru elevi [...]. Materia mea mai problematică este franceza, de exemplu, și aplicația oferă foarte multe materiale ajutătoare. Mulțumită acestei aplicații, mi-am îmbunătățit franceza. Aș recomanda-o oricui.

Samantha Klich

utilizator Android

Wow, sunt cu adevărat impresionat. Am încercat aplicația pentru că am văzut-o promovată de multe ori și am rămas uimit. Aceasta este AJUTORUL de care ai nevoie pentru școală și, mai presus de toate, oferă atât de multe lucruri, precum exerciții și fișe de informații, care mi-au fost FOARTE de ajutor.

Anna

utilizator iOS

Te ajută să înveți foarte repede și ști foarte bine ce ai dori tu să înveți, vă recomand cu drag să încercați și să învățați mai repede.!

Thomas R

utilizator iOS

Foarte bună aplicația!!!! Mă ajută să înțeleg mult mai bine lecțiile și temele le termin mult mai repede.👍❤️

Paul P

utilizator Android

Te ajută foarte bine la teme acest robot,recomand!

David K

utilizator iOS

Aplicația e grozavă! Tot ce trebuie să fac este să introduc subiectul în bara de căutare și primesc răspunsul foarte rapid. Nu mai trebuie să mă uit la 10 videoclipuri pe YouTube pentru a înțelege ceva, deci îmi economisesc timpul. Super recomandat!

Sudenaz Ocak

utilizator Android

La școală eram chiar slab la matematică, dar datorită aplicației, mă descurc mai bine acum. Sunt atât de recunoscător că ai creat aplicația.

Greenlight Bonnie

utilizator Android

Această aplicație e super interesantă și seamănă ca tiktok-ul doar că tu ai doar teorie și explicații.

Karla S

utilizator Android

Nu mai trebuie să stau cu orele să învăț după caiet când pot să citesc de 2 ori lecțiile care apar aici și iau 10 la test ! Knowunity m-a ajutat să iau nota 9,20 la română ! Voi recomanda ff tare aceasta aplicate , să nu uităm ca are și chat GPT !👍🏻

Denisa B

utilizator iOS

CHESTIONARELE ȘI FLASHCARD-URILE SUNT ATÂT DE UTILE ȘI IUBESC Knowunity AI. E LITERALMENTE CA CHATGPT DOAR CĂ MAI DEȘTEPT!! M-A AJUTAT ȘI CU PROBLEMELE MELE CU MASCARA!! PLUS CU MATERIILE MELE ADEVĂRATE! EVIDENT 😍😁😲🤑💗✨🎀😮

Sarah L

utilizator Android

Este foarte bună te ajută la teme te face să înțelegi lecțiile am înțeles o lecție în 20 de minute i singură nu reușeam să o învăț dar cu Knowunity am învățat-o foarte ușor

Alessia V

utilizator iOS