Comparațiile climatice între țările Europei sunt esențiale pentru înțelegerea geografiei... Afișează mai mult
Înscrie-te pentru a vedea CONȚINUTULE gratuit!
Acces la toate documentele
Îmbunătățește notele tale!
Alătură-te milioanelor de elevi
Knowunity AI
Mai mult
Materii
Triangle Congruence and Similarity Theorems
Triangle Properties and Classification
Linear Equations and Graphs
Geometric Angle Relationships
Trigonometric Functions and Identities
Equation Solving Techniques
Circle Geometry Fundamentals
Division Operations and Methods
Basic Differentiation Rules
Exponent and Logarithm Properties
Afișează toate materiile
Human Organ Systems
Reproductive Cell Cycles
Biological Sciences Subdisciplines
Cellular Energy Metabolism
Autotrophic Energy Processes
Inheritance Patterns and Principles
Biomolecular Structure and Organization
Cell Cycle and Division Mechanics
Cellular Organization and Development
Biological Structural Organization
Afișează toate materiile
Chemical Sciences and Applications
Atomic Structure and Composition
Molecular Electron Structure Representation
Atomic Electron Behavior
Matter Properties and Water
Mole Concept and Calculations
Gas Laws and Behavior
Periodic Table Organization
Chemical Thermodynamics Fundamentals
Chemical Bond Types and Properties
Afișează toate materiile
European Renaissance and Enlightenment
European Cultural Movements 800-1920
American Revolution Era 1763-1797
American Civil War 1861-1865
Global Imperial Systems
Mongol and Chinese Dynasties
U.S. Presidents and World Leaders
Historical Sources and Documentation
World Wars Era and Impact
World Religious Systems
Afișează toate materiile
Classic and Contemporary Novels
Literary Character Analysis
Rhetorical Theory and Practice
Classic Literary Narratives
Reading Analysis and Interpretation
Narrative Structure and Techniques
English Language Components
Influential English-Language Authors
Basic Sentence Structure
Narrative Voice and Perspective
Afișează toate materiile
646
•
Actualizat Apr 3, 2026
•
Diana Pintiliescu
@dianapintiliescu
Comparațiile climatice între țările Europei sunt esențiale pentru înțelegerea geografiei... Afișează mai mult








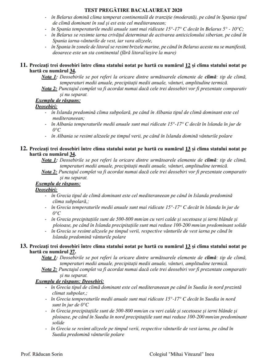
Când comparăm clima din diferite regiuni ale Europei, trebuie să analizăm mai multe elemente climatice. Printre acestea se numără temperatura medie anuală, precipitațiile medii anuale, vânturile dominante, precum și tipurile de climă specifice fiecărei zone.
Pentru a obține punctaj maxim la testele de bacalaureat pe această temă, trebuie să formulezi corect deosebirile și asemănările dintre climatele analizate. Compară întotdeauna elementele climatice în mod direct și comparativ, nu separat pentru fiecare țară.
Harta Europei folosită în test indică statele cu numere de la 1 la 46, incluzând și statele mici (liliputane). De exemplu, Europa Nordică și Europa Sudică prezintă contraste climatice semnificative care pot fi evidențiate prin analiză comparativă.
💡 Sfat important: Când formulezi răspunsuri, menționează întotdeauna elementele specifice care diferă (temperaturi, precipitații, vânturi, tipul de climă) și nu uita să folosești cifrele sau literele de pe hartă pentru identificarea corectă a statelor!

Europa Nordică se caracterizează prin climate subpolare și temperat-oceanice, cu temperaturi medii anuale între 0°C în nord și 10°-15°C în sud. În contrast, Europa Sudică prezintă un climat predominant mediteraneean (subtropical) cu temperaturi medii anuale de 15°-17°C.
Regimul precipitațiilor diferă semnificativ: în nord, acestea variază de la 100-200 mm/an (în zona subpolară) până la peste 1000 mm/an în zona temperată oceanică. Europa Sudică primește în general 500-800 mm/an, cu o distribuție neuniformă - veri secetoase și ierni ploioase.
Sezonalitatea este complet diferită între cele două regiuni. În nord, iernile sunt lungi și geroase (până la 9 luni în zona subpolară), iar verile scurte și răcoroase. În sud, verile sunt calde și secetoase, iernile blânde și ploioase, iar anotimpurile de tranziție foarte scurte, de aproximativ două săptămâni.
Italia prezintă două tipuri principale de climă - temperat-continentală în nord și mediteraneeană în centru și sud. Austria, în schimb, are o climă temperat-continentală de tranziție, fără influențe mediteraneene semnificative.
Vânturile diferă considerabil: în Italia bat vânturi de origine tropicală (în special în sud), iar în Austria predomină vânturile de vest. O asemănare importantă este prezența etajului climatic montan și alpin în ambele țări, datorită lanțurilor muntoase prezente (Alpi și Apenini).

Spania și Norvegia reprezintă două extreme climatice în Europa. În Spania, temperaturile medii anuale ating 15°-17°C în vest și sud, pe când în nordul Norvegiei, acestea pot coborî sub 0°C. Această diferență majoră este cauzată de poziția latitudinală complet diferită a celor două state.
Circulația atmosferică diferă fundamental: Spania este influențată de vânturi de origine tropicală (alizee, sirocco), în timp ce Norvegia este afectată de vânturile polare reci. Cu toate acestea, ambele țări au zone cu climă temperat-oceanică, în special în regiunile lor vestice, și ambele beneficiază de prezența brizelor marine în zonele litorale.
Norvegia și Finlanda prezintă asemănări climatice importante: ambele au climă subpolară în regiunile nordice și ambele înregistrează temperaturi medii anuale negative în zonele lor nordice, situate dincolo de Cercul Polar Arctic.
Principala diferență între cele două țări constă în influența Curentului Cald al Atlanticului de Nord (Golf Stream), care încălzește semnificativ coastele Norvegiei, chiar și iarna, în timp ce această influență pătrunde mult mai slab în Finlanda, țară care are un litoral mai restrâns la Marea Baltică.

Spania (30) și Ucraina (44) prezintă diferențe climatice semnificative. În Spania, precipitațiile variază între 500-800 mm/an în sud și est, și peste 1000 mm/an în nord, în timp ce Ucraina primește sub 600 mm/an pe majoritatea teritoriului. Relieful influențează puternic clima: în Spania predomină etajul climatic montan, iar în Ucraina etajul de câmpie.
Circulația atmosferică diferă fundamental: în Spania bat vânturi de origine tropicală și vânturile de vest, pe când în Ucraina predomină circulația estică și nord-estică, cu influențe continentale mai puternice. Totuși, ambele state au în comun prezența climei temperat-continentale în anumite regiuni.
Regatul Unit (13) și Grecia (32) ilustrează contrastul dintre clima oceanică și cea mediteraneeană. Regatul Unit are o climă temperat-oceanică cu temperaturi moderate și precipitații abundente , în timp ce Grecia are o climă mediteraneeană cu temperaturi mai ridicate și precipitații mai reduse .
💡 Reține: Când compari state din extremitățile Europei , diferențele climatice sunt mai pronunțate din cauza factorilor geografici precum latitudinea, influența oceanică versus continentală, și relieful!

Islanda (12) și Albania (34) reprezintă un contrast puternic între climatul subpolar nordic și cel mediteraneean sudic. În Islanda, temperatura medie anuală este în jurul valorii de 0°C, cu precipitații reduse , predominant solide. În Albania, temperaturile medii anuale ating 15°-17°C, iar clima este puternic influențată de Marea Mediterană.
Similar, Grecia (32) și Islanda (12) prezintă diferențe climatice majore. Grecia are un climat mediteraneean cu veri calde și secetoase și ierni blânde și ploioase, în timp ce în Islanda predomină clima subpolară cu vânturi polare puternice. Aceste diferențe sunt cauzate în principal de poziția latitudinală foarte diferită.
Spania (30) și Finlanda (38) ilustrează perfect gradientul climatic nord-sud al Europei. În sudul și estul Spaniei domină clima mediteraneeană cu temperaturi de 15°-17°C, în timp ce nordul Finlandei are climat subpolar cu temperaturi în jurul valorii de 0°C. Regimul precipitațiilor și al vânturilor este complet diferit: veri secetoase și ierni ploioase în Spania mediteraneeană versus precipitații reduse, predominant solide în nordul Finlandei.
Franța (29) și Suedia (37), deși se află pe aceeași longitudinală, prezintă diferențe climatice semnificative datorate poziției latitudinale. În nordul Suediei predomină clima subpolară, pe când în Franța domină clima temperat-oceanică. Temperaturile medii anuale în Franța sunt considerabil mai ridicate decât în Suedia nordică (în jurul valorii de 0°C).

Ungaria (21) și Slovenia (42) prezintă multiple asemănări climatice. În ambele state predomină clima temperată continentală de tranziție, cu temperaturi medii anuale între 5°-10°C. Regimul precipitațiilor este similar, între 600-800 mm/an, iar în ambele state influența predominantă o au vânturile de vest.
Grecia (32) și Portugalia (17) împărtășesc caracteristici climatice mediteraneene. Ambele state au temperaturi medii anuale ridicate și un regim similar de precipitații . Sezonalitatea este identică: veri calde și secetoase, ierni blânde și ploioase. Circulația atmosferică urmează același model: vara bat alizeele, iar iarna vânturile de vest, ambele state fiind influențate de circulația tropicală în sezonul estival.
Ungaria (21) și Franța (29) ilustrează contrastul dintre clima continentală și cea oceanică din Europa. În Ungaria predomină clima temperată continentală de tranziție, în timp ce în Franța tipul de climă predominant este temperat-oceanică. Temperaturile medii anuale sunt mai ridicate în Franța față de Ungaria .
Precipitațiile reflectă această diferență fundamentală: în Franța, sub influența Oceanului Atlantic, cantitățile depășesc 1000 mm/an, în timp ce în Ungaria acestea variază între 500-1000 mm/an. Continentalismul se resimte mult mai accentuat în Ungaria, rezultând în amplitudini termice anuale mai mari decât în Franța, unde oceanul moderează temperaturile.
💡 Sfat pentru examen: Pentru a primi punctaj maxim, prezintă întotdeauna comparativ elementele climatice și menționează cauzele care determină diferențele sau asemănările climatice !

Companionul nostru AI este creat special pentru nevoile studenților. Bazându-ne pe milioanele de materiale de pe platformă, putem oferi răspunsuri exacte și relevante pentru studenți. Dar nu este vorba doar despre răspunsuri, companionul este mai ales despre ghidarea studenților prin provocările zilnice de învățare, cu planuri de studiu personalizate, chestionare sau conținuturi în chat și personalizare 100% bazată pe abilitățile și evoluțiile studenților.
Aplicația este disponibilă în Google Play Store și Apple App Store.
Da! Bucură-te de access la materiale de studiu, conectează-te cu alți elevi, și primește ajutor instant - toate acestea la un click distanță. În plus, câștigă puncte ca să deblochezi mai multe funcționalități!
App Store
Google Play
Aplicația este foarte ușor de utilizat și bine concepută. Am găsit tot ce căutam până acum și am reușit să învăț multe din prezentări! Cu siguranță voi folosi aplicația pentru o temă la clasă! Și desigur, ajută mult ca sursă de inspirație.
Ștefan S
utilizator iOS
Această aplicație este super. Sunt atât de multe materiale de studiu și ajutor pentru elevi [...]. Materia mea mai problematică este franceza, de exemplu, și aplicația oferă foarte multe materiale ajutătoare. Mulțumită acestei aplicații, mi-am îmbunătățit franceza. Aș recomanda-o oricui.
Samantha Klich
utilizator Android
Wow, sunt cu adevărat impresionat. Am încercat aplicația pentru că am văzut-o promovată de multe ori și am rămas uimit. Aceasta este AJUTORUL de care ai nevoie pentru școală și, mai presus de toate, oferă atât de multe lucruri, precum exerciții și fișe de informații, care mi-au fost FOARTE de ajutor.
Anna
utilizator iOS
Te ajută să înveți foarte repede și ști foarte bine ce ai dori tu să înveți, vă recomand cu drag să încercați și să învățați mai repede.!
Thomas R
utilizator iOS
Foarte bună aplicația!!!! Mă ajută să înțeleg mult mai bine lecțiile și temele le termin mult mai repede.👍❤️
Paul P
utilizator Android
Te ajută foarte bine la teme acest robot,recomand!
David K
utilizator iOS
Aplicația e grozavă! Tot ce trebuie să fac este să introduc subiectul în bara de căutare și primesc răspunsul foarte rapid. Nu mai trebuie să mă uit la 10 videoclipuri pe YouTube pentru a înțelege ceva, deci îmi economisesc timpul. Super recomandat!
Sudenaz Ocak
utilizator Android
La școală eram chiar slab la matematică, dar datorită aplicației, mă descurc mai bine acum. Sunt atât de recunoscător că ai creat aplicația.
Greenlight Bonnie
utilizator Android
Această aplicație e super interesantă și seamănă ca tiktok-ul doar că tu ai doar teorie și explicații.
Karla S
utilizator Android
Nu mai trebuie să stau cu orele să învăț după caiet când pot să citesc de 2 ori lecțiile care apar aici și iau 10 la test ! Knowunity m-a ajutat să iau nota 9,20 la română ! Voi recomanda ff tare aceasta aplicate , să nu uităm ca are și chat GPT !👍🏻
Denisa B
utilizator iOS
CHESTIONARELE ȘI FLASHCARD-URILE SUNT ATÂT DE UTILE ȘI IUBESC Knowunity AI. E LITERALMENTE CA CHATGPT DOAR CĂ MAI DEȘTEPT!! M-A AJUTAT ȘI CU PROBLEMELE MELE CU MASCARA!! PLUS CU MATERIILE MELE ADEVĂRATE! EVIDENT 😍😁😲🤑💗✨🎀😮
Sarah L
utilizator Android
Este foarte bună te ajută la teme te face să înțelegi lecțiile am înțeles o lecție în 20 de minute i singură nu reușeam să o învăț dar cu Knowunity am învățat-o foarte ușor
Alessia V
utilizator iOS
Aplicația este foarte ușor de utilizat și bine concepută. Am găsit tot ce căutam până acum și am reușit să învăț multe din prezentări! Cu siguranță voi folosi aplicația pentru o temă la clasă! Și desigur, ajută mult ca sursă de inspirație.
Ștefan S
utilizator iOS
Această aplicație este super. Sunt atât de multe materiale de studiu și ajutor pentru elevi [...]. Materia mea mai problematică este franceza, de exemplu, și aplicația oferă foarte multe materiale ajutătoare. Mulțumită acestei aplicații, mi-am îmbunătățit franceza. Aș recomanda-o oricui.
Samantha Klich
utilizator Android
Wow, sunt cu adevărat impresionat. Am încercat aplicația pentru că am văzut-o promovată de multe ori și am rămas uimit. Aceasta este AJUTORUL de care ai nevoie pentru școală și, mai presus de toate, oferă atât de multe lucruri, precum exerciții și fișe de informații, care mi-au fost FOARTE de ajutor.
Anna
utilizator iOS
Te ajută să înveți foarte repede și ști foarte bine ce ai dori tu să înveți, vă recomand cu drag să încercați și să învățați mai repede.!
Thomas R
utilizator iOS
Foarte bună aplicația!!!! Mă ajută să înțeleg mult mai bine lecțiile și temele le termin mult mai repede.👍❤️
Paul P
utilizator Android
Te ajută foarte bine la teme acest robot,recomand!
David K
utilizator iOS
Aplicația e grozavă! Tot ce trebuie să fac este să introduc subiectul în bara de căutare și primesc răspunsul foarte rapid. Nu mai trebuie să mă uit la 10 videoclipuri pe YouTube pentru a înțelege ceva, deci îmi economisesc timpul. Super recomandat!
Sudenaz Ocak
utilizator Android
La școală eram chiar slab la matematică, dar datorită aplicației, mă descurc mai bine acum. Sunt atât de recunoscător că ai creat aplicația.
Greenlight Bonnie
utilizator Android
Această aplicație e super interesantă și seamănă ca tiktok-ul doar că tu ai doar teorie și explicații.
Karla S
utilizator Android
Nu mai trebuie să stau cu orele să învăț după caiet când pot să citesc de 2 ori lecțiile care apar aici și iau 10 la test ! Knowunity m-a ajutat să iau nota 9,20 la română ! Voi recomanda ff tare aceasta aplicate , să nu uităm ca are și chat GPT !👍🏻
Denisa B
utilizator iOS
CHESTIONARELE ȘI FLASHCARD-URILE SUNT ATÂT DE UTILE ȘI IUBESC Knowunity AI. E LITERALMENTE CA CHATGPT DOAR CĂ MAI DEȘTEPT!! M-A AJUTAT ȘI CU PROBLEMELE MELE CU MASCARA!! PLUS CU MATERIILE MELE ADEVĂRATE! EVIDENT 😍😁😲🤑💗✨🎀😮
Sarah L
utilizator Android
Este foarte bună te ajută la teme te face să înțelegi lecțiile am înțeles o lecție în 20 de minute i singură nu reușeam să o învăț dar cu Knowunity am învățat-o foarte ușor
Alessia V
utilizator iOS
Diana Pintiliescu
@dianapintiliescu
Comparațiile climatice între țările Europei sunt esențiale pentru înțelegerea geografiei continentului nostru. Aceste diferențe și asemănări ne ajută să înțelegem de ce vegetația, agricultura și modul de viață variază atât de mult de la nord la sud și de la... Afișează mai mult

Acces la toate documentele
Îmbunătățește notele tale!
Alătură-te milioanelor de elevi
Când comparăm clima din diferite regiuni ale Europei, trebuie să analizăm mai multe elemente climatice. Printre acestea se numără temperatura medie anuală, precipitațiile medii anuale, vânturile dominante, precum și tipurile de climă specifice fiecărei zone.
Pentru a obține punctaj maxim la testele de bacalaureat pe această temă, trebuie să formulezi corect deosebirile și asemănările dintre climatele analizate. Compară întotdeauna elementele climatice în mod direct și comparativ, nu separat pentru fiecare țară.
Harta Europei folosită în test indică statele cu numere de la 1 la 46, incluzând și statele mici (liliputane). De exemplu, Europa Nordică și Europa Sudică prezintă contraste climatice semnificative care pot fi evidențiate prin analiză comparativă.
💡 Sfat important: Când formulezi răspunsuri, menționează întotdeauna elementele specifice care diferă (temperaturi, precipitații, vânturi, tipul de climă) și nu uita să folosești cifrele sau literele de pe hartă pentru identificarea corectă a statelor!

Acces la toate documentele
Îmbunătățește notele tale!
Alătură-te milioanelor de elevi
Europa Nordică se caracterizează prin climate subpolare și temperat-oceanice, cu temperaturi medii anuale între 0°C în nord și 10°-15°C în sud. În contrast, Europa Sudică prezintă un climat predominant mediteraneean (subtropical) cu temperaturi medii anuale de 15°-17°C.
Regimul precipitațiilor diferă semnificativ: în nord, acestea variază de la 100-200 mm/an (în zona subpolară) până la peste 1000 mm/an în zona temperată oceanică. Europa Sudică primește în general 500-800 mm/an, cu o distribuție neuniformă - veri secetoase și ierni ploioase.
Sezonalitatea este complet diferită între cele două regiuni. În nord, iernile sunt lungi și geroase (până la 9 luni în zona subpolară), iar verile scurte și răcoroase. În sud, verile sunt calde și secetoase, iernile blânde și ploioase, iar anotimpurile de tranziție foarte scurte, de aproximativ două săptămâni.
Italia prezintă două tipuri principale de climă - temperat-continentală în nord și mediteraneeană în centru și sud. Austria, în schimb, are o climă temperat-continentală de tranziție, fără influențe mediteraneene semnificative.
Vânturile diferă considerabil: în Italia bat vânturi de origine tropicală (în special în sud), iar în Austria predomină vânturile de vest. O asemănare importantă este prezența etajului climatic montan și alpin în ambele țări, datorită lanțurilor muntoase prezente (Alpi și Apenini).

Acces la toate documentele
Îmbunătățește notele tale!
Alătură-te milioanelor de elevi
Spania și Norvegia reprezintă două extreme climatice în Europa. În Spania, temperaturile medii anuale ating 15°-17°C în vest și sud, pe când în nordul Norvegiei, acestea pot coborî sub 0°C. Această diferență majoră este cauzată de poziția latitudinală complet diferită a celor două state.
Circulația atmosferică diferă fundamental: Spania este influențată de vânturi de origine tropicală (alizee, sirocco), în timp ce Norvegia este afectată de vânturile polare reci. Cu toate acestea, ambele țări au zone cu climă temperat-oceanică, în special în regiunile lor vestice, și ambele beneficiază de prezența brizelor marine în zonele litorale.
Norvegia și Finlanda prezintă asemănări climatice importante: ambele au climă subpolară în regiunile nordice și ambele înregistrează temperaturi medii anuale negative în zonele lor nordice, situate dincolo de Cercul Polar Arctic.
Principala diferență între cele două țări constă în influența Curentului Cald al Atlanticului de Nord (Golf Stream), care încălzește semnificativ coastele Norvegiei, chiar și iarna, în timp ce această influență pătrunde mult mai slab în Finlanda, țară care are un litoral mai restrâns la Marea Baltică.

Acces la toate documentele
Îmbunătățește notele tale!
Alătură-te milioanelor de elevi
Spania (30) și Ucraina (44) prezintă diferențe climatice semnificative. În Spania, precipitațiile variază între 500-800 mm/an în sud și est, și peste 1000 mm/an în nord, în timp ce Ucraina primește sub 600 mm/an pe majoritatea teritoriului. Relieful influențează puternic clima: în Spania predomină etajul climatic montan, iar în Ucraina etajul de câmpie.
Circulația atmosferică diferă fundamental: în Spania bat vânturi de origine tropicală și vânturile de vest, pe când în Ucraina predomină circulația estică și nord-estică, cu influențe continentale mai puternice. Totuși, ambele state au în comun prezența climei temperat-continentale în anumite regiuni.
Regatul Unit (13) și Grecia (32) ilustrează contrastul dintre clima oceanică și cea mediteraneeană. Regatul Unit are o climă temperat-oceanică cu temperaturi moderate și precipitații abundente , în timp ce Grecia are o climă mediteraneeană cu temperaturi mai ridicate și precipitații mai reduse .
💡 Reține: Când compari state din extremitățile Europei , diferențele climatice sunt mai pronunțate din cauza factorilor geografici precum latitudinea, influența oceanică versus continentală, și relieful!

Acces la toate documentele
Îmbunătățește notele tale!
Alătură-te milioanelor de elevi
Islanda (12) și Albania (34) reprezintă un contrast puternic între climatul subpolar nordic și cel mediteraneean sudic. În Islanda, temperatura medie anuală este în jurul valorii de 0°C, cu precipitații reduse , predominant solide. În Albania, temperaturile medii anuale ating 15°-17°C, iar clima este puternic influențată de Marea Mediterană.
Similar, Grecia (32) și Islanda (12) prezintă diferențe climatice majore. Grecia are un climat mediteraneean cu veri calde și secetoase și ierni blânde și ploioase, în timp ce în Islanda predomină clima subpolară cu vânturi polare puternice. Aceste diferențe sunt cauzate în principal de poziția latitudinală foarte diferită.
Spania (30) și Finlanda (38) ilustrează perfect gradientul climatic nord-sud al Europei. În sudul și estul Spaniei domină clima mediteraneeană cu temperaturi de 15°-17°C, în timp ce nordul Finlandei are climat subpolar cu temperaturi în jurul valorii de 0°C. Regimul precipitațiilor și al vânturilor este complet diferit: veri secetoase și ierni ploioase în Spania mediteraneeană versus precipitații reduse, predominant solide în nordul Finlandei.
Franța (29) și Suedia (37), deși se află pe aceeași longitudinală, prezintă diferențe climatice semnificative datorate poziției latitudinale. În nordul Suediei predomină clima subpolară, pe când în Franța domină clima temperat-oceanică. Temperaturile medii anuale în Franța sunt considerabil mai ridicate decât în Suedia nordică (în jurul valorii de 0°C).

Acces la toate documentele
Îmbunătățește notele tale!
Alătură-te milioanelor de elevi
Ungaria (21) și Slovenia (42) prezintă multiple asemănări climatice. În ambele state predomină clima temperată continentală de tranziție, cu temperaturi medii anuale între 5°-10°C. Regimul precipitațiilor este similar, între 600-800 mm/an, iar în ambele state influența predominantă o au vânturile de vest.
Grecia (32) și Portugalia (17) împărtășesc caracteristici climatice mediteraneene. Ambele state au temperaturi medii anuale ridicate și un regim similar de precipitații . Sezonalitatea este identică: veri calde și secetoase, ierni blânde și ploioase. Circulația atmosferică urmează același model: vara bat alizeele, iar iarna vânturile de vest, ambele state fiind influențate de circulația tropicală în sezonul estival.
Ungaria (21) și Franța (29) ilustrează contrastul dintre clima continentală și cea oceanică din Europa. În Ungaria predomină clima temperată continentală de tranziție, în timp ce în Franța tipul de climă predominant este temperat-oceanică. Temperaturile medii anuale sunt mai ridicate în Franța față de Ungaria .
Precipitațiile reflectă această diferență fundamentală: în Franța, sub influența Oceanului Atlantic, cantitățile depășesc 1000 mm/an, în timp ce în Ungaria acestea variază între 500-1000 mm/an. Continentalismul se resimte mult mai accentuat în Ungaria, rezultând în amplitudini termice anuale mai mari decât în Franța, unde oceanul moderează temperaturile.
💡 Sfat pentru examen: Pentru a primi punctaj maxim, prezintă întotdeauna comparativ elementele climatice și menționează cauzele care determină diferențele sau asemănările climatice !

Acces la toate documentele
Îmbunătățește notele tale!
Alătură-te milioanelor de elevi
Companionul nostru AI este creat special pentru nevoile studenților. Bazându-ne pe milioanele de materiale de pe platformă, putem oferi răspunsuri exacte și relevante pentru studenți. Dar nu este vorba doar despre răspunsuri, companionul este mai ales despre ghidarea studenților prin provocările zilnice de învățare, cu planuri de studiu personalizate, chestionare sau conținuturi în chat și personalizare 100% bazată pe abilitățile și evoluțiile studenților.
Aplicația este disponibilă în Google Play Store și Apple App Store.
Da! Bucură-te de access la materiale de studiu, conectează-te cu alți elevi, și primește ajutor instant - toate acestea la un click distanță. În plus, câștigă puncte ca să deblochezi mai multe funcționalități!
5
Instrumente inteligente NOU
Transformă această notiță în: ✓ 50+ întrebări de exersare ✓ Flashcard-uri interactive ✓ Examen de practică complet ✓ Planuri de eseu
App Store
Google Play
Aplicația este foarte ușor de utilizat și bine concepută. Am găsit tot ce căutam până acum și am reușit să învăț multe din prezentări! Cu siguranță voi folosi aplicația pentru o temă la clasă! Și desigur, ajută mult ca sursă de inspirație.
Ștefan S
utilizator iOS
Această aplicație este super. Sunt atât de multe materiale de studiu și ajutor pentru elevi [...]. Materia mea mai problematică este franceza, de exemplu, și aplicația oferă foarte multe materiale ajutătoare. Mulțumită acestei aplicații, mi-am îmbunătățit franceza. Aș recomanda-o oricui.
Samantha Klich
utilizator Android
Wow, sunt cu adevărat impresionat. Am încercat aplicația pentru că am văzut-o promovată de multe ori și am rămas uimit. Aceasta este AJUTORUL de care ai nevoie pentru școală și, mai presus de toate, oferă atât de multe lucruri, precum exerciții și fișe de informații, care mi-au fost FOARTE de ajutor.
Anna
utilizator iOS
Te ajută să înveți foarte repede și ști foarte bine ce ai dori tu să înveți, vă recomand cu drag să încercați și să învățați mai repede.!
Thomas R
utilizator iOS
Foarte bună aplicația!!!! Mă ajută să înțeleg mult mai bine lecțiile și temele le termin mult mai repede.👍❤️
Paul P
utilizator Android
Te ajută foarte bine la teme acest robot,recomand!
David K
utilizator iOS
Aplicația e grozavă! Tot ce trebuie să fac este să introduc subiectul în bara de căutare și primesc răspunsul foarte rapid. Nu mai trebuie să mă uit la 10 videoclipuri pe YouTube pentru a înțelege ceva, deci îmi economisesc timpul. Super recomandat!
Sudenaz Ocak
utilizator Android
La școală eram chiar slab la matematică, dar datorită aplicației, mă descurc mai bine acum. Sunt atât de recunoscător că ai creat aplicația.
Greenlight Bonnie
utilizator Android
Această aplicație e super interesantă și seamănă ca tiktok-ul doar că tu ai doar teorie și explicații.
Karla S
utilizator Android
Nu mai trebuie să stau cu orele să învăț după caiet când pot să citesc de 2 ori lecțiile care apar aici și iau 10 la test ! Knowunity m-a ajutat să iau nota 9,20 la română ! Voi recomanda ff tare aceasta aplicate , să nu uităm ca are și chat GPT !👍🏻
Denisa B
utilizator iOS
CHESTIONARELE ȘI FLASHCARD-URILE SUNT ATÂT DE UTILE ȘI IUBESC Knowunity AI. E LITERALMENTE CA CHATGPT DOAR CĂ MAI DEȘTEPT!! M-A AJUTAT ȘI CU PROBLEMELE MELE CU MASCARA!! PLUS CU MATERIILE MELE ADEVĂRATE! EVIDENT 😍😁😲🤑💗✨🎀😮
Sarah L
utilizator Android
Este foarte bună te ajută la teme te face să înțelegi lecțiile am înțeles o lecție în 20 de minute i singură nu reușeam să o învăț dar cu Knowunity am învățat-o foarte ușor
Alessia V
utilizator iOS
Aplicația este foarte ușor de utilizat și bine concepută. Am găsit tot ce căutam până acum și am reușit să învăț multe din prezentări! Cu siguranță voi folosi aplicația pentru o temă la clasă! Și desigur, ajută mult ca sursă de inspirație.
Ștefan S
utilizator iOS
Această aplicație este super. Sunt atât de multe materiale de studiu și ajutor pentru elevi [...]. Materia mea mai problematică este franceza, de exemplu, și aplicația oferă foarte multe materiale ajutătoare. Mulțumită acestei aplicații, mi-am îmbunătățit franceza. Aș recomanda-o oricui.
Samantha Klich
utilizator Android
Wow, sunt cu adevărat impresionat. Am încercat aplicația pentru că am văzut-o promovată de multe ori și am rămas uimit. Aceasta este AJUTORUL de care ai nevoie pentru școală și, mai presus de toate, oferă atât de multe lucruri, precum exerciții și fișe de informații, care mi-au fost FOARTE de ajutor.
Anna
utilizator iOS
Te ajută să înveți foarte repede și ști foarte bine ce ai dori tu să înveți, vă recomand cu drag să încercați și să învățați mai repede.!
Thomas R
utilizator iOS
Foarte bună aplicația!!!! Mă ajută să înțeleg mult mai bine lecțiile și temele le termin mult mai repede.👍❤️
Paul P
utilizator Android
Te ajută foarte bine la teme acest robot,recomand!
David K
utilizator iOS
Aplicația e grozavă! Tot ce trebuie să fac este să introduc subiectul în bara de căutare și primesc răspunsul foarte rapid. Nu mai trebuie să mă uit la 10 videoclipuri pe YouTube pentru a înțelege ceva, deci îmi economisesc timpul. Super recomandat!
Sudenaz Ocak
utilizator Android
La școală eram chiar slab la matematică, dar datorită aplicației, mă descurc mai bine acum. Sunt atât de recunoscător că ai creat aplicația.
Greenlight Bonnie
utilizator Android
Această aplicație e super interesantă și seamănă ca tiktok-ul doar că tu ai doar teorie și explicații.
Karla S
utilizator Android
Nu mai trebuie să stau cu orele să învăț după caiet când pot să citesc de 2 ori lecțiile care apar aici și iau 10 la test ! Knowunity m-a ajutat să iau nota 9,20 la română ! Voi recomanda ff tare aceasta aplicate , să nu uităm ca are și chat GPT !👍🏻
Denisa B
utilizator iOS
CHESTIONARELE ȘI FLASHCARD-URILE SUNT ATÂT DE UTILE ȘI IUBESC Knowunity AI. E LITERALMENTE CA CHATGPT DOAR CĂ MAI DEȘTEPT!! M-A AJUTAT ȘI CU PROBLEMELE MELE CU MASCARA!! PLUS CU MATERIILE MELE ADEVĂRATE! EVIDENT 😍😁😲🤑💗✨🎀😮
Sarah L
utilizator Android
Este foarte bună te ajută la teme te face să înțelegi lecțiile am înțeles o lecție în 20 de minute i singură nu reușeam să o învăț dar cu Knowunity am învățat-o foarte ușor
Alessia V
utilizator iOS