Alchenele sunt hidrocarburi aciclice nesaturate care conțin o legătură dublă... Afișează mai mult
Înscrie-te pentru a vedea CONȚINUTULE gratuit!
Acces la toate documentele
Îmbunătățește notele tale!
Alătură-te milioanelor de elevi
Knowunity AI
Mai mult
Materii
Triangle Congruence and Similarity Theorems
Triangle Properties and Classification
Linear Equations and Graphs
Geometric Angle Relationships
Trigonometric Functions and Identities
Equation Solving Techniques
Circle Geometry Fundamentals
Division Operations and Methods
Basic Differentiation Rules
Exponent and Logarithm Properties
Afișează toate materiile
Human Organ Systems
Reproductive Cell Cycles
Biological Sciences Subdisciplines
Cellular Energy Metabolism
Autotrophic Energy Processes
Inheritance Patterns and Principles
Biomolecular Structure and Organization
Cell Cycle and Division Mechanics
Cellular Organization and Development
Biological Structural Organization
Afișează toate materiile
Chemical Sciences and Applications
Atomic Structure and Composition
Molecular Electron Structure Representation
Atomic Electron Behavior
Matter Properties and Water
Mole Concept and Calculations
Gas Laws and Behavior
Periodic Table Organization
Chemical Thermodynamics Fundamentals
Chemical Bond Types and Properties
Afișează toate materiile
European Renaissance and Enlightenment
European Cultural Movements 800-1920
American Revolution Era 1763-1797
American Civil War 1861-1865
Global Imperial Systems
Mongol and Chinese Dynasties
U.S. Presidents and World Leaders
Historical Sources and Documentation
World Wars Era and Impact
World Religious Systems
Afișează toate materiile
Classic and Contemporary Novels
Literary Character Analysis
Rhetorical Theory and Practice
Classic Literary Narratives
Reading Analysis and Interpretation
Narrative Structure and Techniques
English Language Components
Influential English-Language Authors
Basic Sentence Structure
Narrative Voice and Perspective
Afișează toate materiile
161
•
Actualizat Mar 25, 2026
•
Maria
@mmaazz
Alchenele sunt hidrocarburi aciclice nesaturate care conțin o legătură dublă... Afișează mai mult









Alchenele, cunoscute și ca olefine, sunt hidrocarburi cu legătură dublă între atomi de carbon. Formula lor generală este CmH2m, unde m ≥ 2. Primele alchene din serie sunt etena (C2H4), propena (C3H6) și butenele (C4H8).
Alchenele prezintă mai multe tipuri de izomerie. Acestea includ izomeria de catenă (diferite aranjamente ale atomilor de carbon), izomeria de poziție (poziția diferită a legăturii duble) și izomeria de funcțiune cu cicloalcani (compuși cu aceeași formulă moleculară dar din clase diferite).
Un tip special de izomerie întâlnită la alchene este izomeria geometrică . Aceasta apare când fiecare atom de carbon din legătura dublă are substituenți diferiți. De exemplu, 2-pentena și 2-butena prezintă izomeri cis (substituenții pe aceeași parte) și trans (substituenții pe părți opuse).
💡 Izomeria geometrică este posibilă doar când nu există identitate între substituenții de pe atomii de carbon din legătura dublă!

În reacțiile de eliminare, conform regulii Zaițev, se formează majoritar alchena cea mai substituită. Un exemplu este dehalogenarea compușilor monohalogenați în prezența bazelor tari (NaOH) în mediu alcoolic, care duce la eliminarea de acid halogenat.
Proprietățile fizice ale alchenelor variază în funcție de structura lor. În condiții normale, alchenele C2-C4 sunt gaze, cele de la C5-C18 sunt lichide, iar cele peste C19 sunt solide. Punctele lor de topire și fierbere cresc odată cu masa molară, fiind ușor mai mici decât ale alcanilor corespunzători.
Alchenele au densitatea mai mică decât a apei, dar mai mare decât a alcanilor corespunzători. Fiind compuși nepolari, alchenele sunt insolubile în apă, dar se dizolvă bine în solvenți organici precum cloroformul sau alcanii.
La izomerii geometrici, proprietățile fizice diferă: izomerii cis au puncte de fierbere și densități mai mici decât izomerii trans, în timp ce punctele de topire ale izomerilor cis sunt mai mari decât ale izomerilor trans.

Adiția hidracizilor (HCl, HBr, HI) la alchene formează compuși monohalogenați saturați. La alchenele nesimetrice, reacția urmează regula Markovnikov: hidrogenul din hidracid se atașează la atomul de carbon cu mai mulți atomi de hidrogen, iar halogenul la atomul de carbon cu mai puțini hidrogeni.
O excepție interesantă apare la adiția HBr la alchene cu legătură dublă marginală în prezența peroxizilor organici . În aceste condiții, bromul se atașează la atomul de carbon terminal, formând produsul opus celui prevăzut de regula Markovnikov.
Hidratarea alchenelor (adiția apei) produce alcooli în prezența acidului sulfuric. La alchenele simetrice se formează un singur produs, în timp ce la cele nesimetrice, orientarea urmează tot regula Markovnikov.
Polimerizarea este o reacție importantă a alchenelor, în care mai multe molecule de monomer (alchenă) se unesc pentru a forma un lanț lung (polimer). Polietilena, polipropilena și polistirenul sunt exemple de polimeri vinilici obținuți din etenă, propenă și respectiv stiren.
🔑 Gradul de polimerizare (m) reprezintă raportul dintre masa molară a polimerului și masa molară a monomerului!

Polimerii obținuți din alchene au numeroase utilizări practice. Polietilena se folosește la izolarea conductoarelor electrice, protecție împotriva coroziunii și fabricarea ambalajelor. Polipropilena este utilizată pentru folii, cutii și seringi, iar polistirenul poate fi tras în fire și are proprietăți dielectrice bune.
Halogenarea în poziție alilică a alchenelor este o reacție de substituție care se realizează cu clor sau brom la temperaturi înalte . Poziția alilică se referă la atomul de carbon vecin cu legătura dublă, unde se poate atașa un atom de halogen.
La alchenele care au poziții alilice echivalente, se obține un singur produs de substituție. De exemplu, la 3-metil-2-pentena, halogenarea alilică poate duce la formarea 1-cloro-3-metil-2-pentenei, 1-cloro-2-etil-2-butenei sau 4-cloro-3-metil-2-pentenei.
Bromurarea alchenelor se poate realiza și într-un mod mai blând, utilizând tetraclorura de carbon (CCl4) și N-bromosuccinimidă (NBS), o metodă preferată în sinteza organică de laborator pentru selectivitatea sa.
💡 Spre deosebire de halogenarea obișnuită (care adaugă halogeni la legătura dublă), halogenarea alilică păstrează legătura dublă și substituie un atom de hidrogen din vecinătatea acesteia!

Arderea completă a alchenelor eliberează o cantitate mare de căldură, transformându-le în dioxid de carbon și apă. De exemplu, etena (C2H4) reacționează cu oxigenul pentru a produce 2CO2 + 2H2O + energie.
Oxidarea catalitică a etenei în prezența argintului ca și catalizator produce etilenoxid (oxid de etenă), un compus toxic utilizat ca insecticid. Această reacție reprezintă un exemplu de oxidare parțială controlată.
Amonoxidarea propenei este procesul în care propena reacționează cu amoniac și oxigen pentru a forma acrilonitril (cianura de vinil), un compus important în industria materialelor sintetice.
Oxidarea blândă a alchenelor se realizează cu permanganat de potasiu (KMnO4) în mediu neutru sau bazic, prin așa-numita reacție Bayer. Aceasta duce la formarea diolilor vicinali prin desfacerea legăturii duble. Un exemplu important este transformarea etenei în 1,2-etandiol (glicol), folosit ca antigel și în producerea PET-urilor.
🧪 Reacția Bayer cu KMnO4 diluat servește și ca test de identificare pentru alchene - soluția violet de permanganat se decolorează în prezența alchenelor!



Companionul nostru AI este creat special pentru nevoile studenților. Bazându-ne pe milioanele de materiale de pe platformă, putem oferi răspunsuri exacte și relevante pentru studenți. Dar nu este vorba doar despre răspunsuri, companionul este mai ales despre ghidarea studenților prin provocările zilnice de învățare, cu planuri de studiu personalizate, chestionare sau conținuturi în chat și personalizare 100% bazată pe abilitățile și evoluțiile studenților.
Aplicația este disponibilă în Google Play Store și Apple App Store.
Da! Bucură-te de access la materiale de studiu, conectează-te cu alți elevi, și primește ajutor instant - toate acestea la un click distanță. În plus, câștigă puncte ca să deblochezi mai multe funcționalități!
App Store
Google Play
Aplicația este foarte ușor de utilizat și bine concepută. Am găsit tot ce căutam până acum și am reușit să învăț multe din prezentări! Cu siguranță voi folosi aplicația pentru o temă la clasă! Și desigur, ajută mult ca sursă de inspirație.
Ștefan S
utilizator iOS
Această aplicație este super. Sunt atât de multe materiale de studiu și ajutor pentru elevi [...]. Materia mea mai problematică este franceza, de exemplu, și aplicația oferă foarte multe materiale ajutătoare. Mulțumită acestei aplicații, mi-am îmbunătățit franceza. Aș recomanda-o oricui.
Samantha Klich
utilizator Android
Wow, sunt cu adevărat impresionat. Am încercat aplicația pentru că am văzut-o promovată de multe ori și am rămas uimit. Aceasta este AJUTORUL de care ai nevoie pentru școală și, mai presus de toate, oferă atât de multe lucruri, precum exerciții și fișe de informații, care mi-au fost FOARTE de ajutor.
Anna
utilizator iOS
Te ajută să înveți foarte repede și ști foarte bine ce ai dori tu să înveți, vă recomand cu drag să încercați și să învățați mai repede.!
Thomas R
utilizator iOS
Foarte bună aplicația!!!! Mă ajută să înțeleg mult mai bine lecțiile și temele le termin mult mai repede.👍❤️
Paul P
utilizator Android
Te ajută foarte bine la teme acest robot,recomand!
David K
utilizator iOS
Aplicația e grozavă! Tot ce trebuie să fac este să introduc subiectul în bara de căutare și primesc răspunsul foarte rapid. Nu mai trebuie să mă uit la 10 videoclipuri pe YouTube pentru a înțelege ceva, deci îmi economisesc timpul. Super recomandat!
Sudenaz Ocak
utilizator Android
La școală eram chiar slab la matematică, dar datorită aplicației, mă descurc mai bine acum. Sunt atât de recunoscător că ai creat aplicația.
Greenlight Bonnie
utilizator Android
Această aplicație e super interesantă și seamănă ca tiktok-ul doar că tu ai doar teorie și explicații.
Karla S
utilizator Android
Nu mai trebuie să stau cu orele să învăț după caiet când pot să citesc de 2 ori lecțiile care apar aici și iau 10 la test ! Knowunity m-a ajutat să iau nota 9,20 la română ! Voi recomanda ff tare aceasta aplicate , să nu uităm ca are și chat GPT !👍🏻
Denisa B
utilizator iOS
CHESTIONARELE ȘI FLASHCARD-URILE SUNT ATÂT DE UTILE ȘI IUBESC Knowunity AI. E LITERALMENTE CA CHATGPT DOAR CĂ MAI DEȘTEPT!! M-A AJUTAT ȘI CU PROBLEMELE MELE CU MASCARA!! PLUS CU MATERIILE MELE ADEVĂRATE! EVIDENT 😍😁😲🤑💗✨🎀😮
Sarah L
utilizator Android
Este foarte bună te ajută la teme te face să înțelegi lecțiile am înțeles o lecție în 20 de minute i singură nu reușeam să o învăț dar cu Knowunity am învățat-o foarte ușor
Alessia V
utilizator iOS
Aplicația este foarte ușor de utilizat și bine concepută. Am găsit tot ce căutam până acum și am reușit să învăț multe din prezentări! Cu siguranță voi folosi aplicația pentru o temă la clasă! Și desigur, ajută mult ca sursă de inspirație.
Ștefan S
utilizator iOS
Această aplicație este super. Sunt atât de multe materiale de studiu și ajutor pentru elevi [...]. Materia mea mai problematică este franceza, de exemplu, și aplicația oferă foarte multe materiale ajutătoare. Mulțumită acestei aplicații, mi-am îmbunătățit franceza. Aș recomanda-o oricui.
Samantha Klich
utilizator Android
Wow, sunt cu adevărat impresionat. Am încercat aplicația pentru că am văzut-o promovată de multe ori și am rămas uimit. Aceasta este AJUTORUL de care ai nevoie pentru școală și, mai presus de toate, oferă atât de multe lucruri, precum exerciții și fișe de informații, care mi-au fost FOARTE de ajutor.
Anna
utilizator iOS
Te ajută să înveți foarte repede și ști foarte bine ce ai dori tu să înveți, vă recomand cu drag să încercați și să învățați mai repede.!
Thomas R
utilizator iOS
Foarte bună aplicația!!!! Mă ajută să înțeleg mult mai bine lecțiile și temele le termin mult mai repede.👍❤️
Paul P
utilizator Android
Te ajută foarte bine la teme acest robot,recomand!
David K
utilizator iOS
Aplicația e grozavă! Tot ce trebuie să fac este să introduc subiectul în bara de căutare și primesc răspunsul foarte rapid. Nu mai trebuie să mă uit la 10 videoclipuri pe YouTube pentru a înțelege ceva, deci îmi economisesc timpul. Super recomandat!
Sudenaz Ocak
utilizator Android
La școală eram chiar slab la matematică, dar datorită aplicației, mă descurc mai bine acum. Sunt atât de recunoscător că ai creat aplicația.
Greenlight Bonnie
utilizator Android
Această aplicație e super interesantă și seamănă ca tiktok-ul doar că tu ai doar teorie și explicații.
Karla S
utilizator Android
Nu mai trebuie să stau cu orele să învăț după caiet când pot să citesc de 2 ori lecțiile care apar aici și iau 10 la test ! Knowunity m-a ajutat să iau nota 9,20 la română ! Voi recomanda ff tare aceasta aplicate , să nu uităm ca are și chat GPT !👍🏻
Denisa B
utilizator iOS
CHESTIONARELE ȘI FLASHCARD-URILE SUNT ATÂT DE UTILE ȘI IUBESC Knowunity AI. E LITERALMENTE CA CHATGPT DOAR CĂ MAI DEȘTEPT!! M-A AJUTAT ȘI CU PROBLEMELE MELE CU MASCARA!! PLUS CU MATERIILE MELE ADEVĂRATE! EVIDENT 😍😁😲🤑💗✨🎀😮
Sarah L
utilizator Android
Este foarte bună te ajută la teme te face să înțelegi lecțiile am înțeles o lecție în 20 de minute i singură nu reușeam să o învăț dar cu Knowunity am învățat-o foarte ușor
Alessia V
utilizator iOS
Maria
@mmaazz
Alchenele sunt hidrocarburi aciclice nesaturate care conțin o legătură dublă între doi atomi de carbon (C=C). Cu formula generală CmH2m, ele formează o clasă importantă de compuși organici, esențiali în industria chimică și în studiul chimiei organice.

Acces la toate documentele
Îmbunătățește notele tale!
Alătură-te milioanelor de elevi
Alchenele, cunoscute și ca olefine, sunt hidrocarburi cu legătură dublă între atomi de carbon. Formula lor generală este CmH2m, unde m ≥ 2. Primele alchene din serie sunt etena (C2H4), propena (C3H6) și butenele (C4H8).
Alchenele prezintă mai multe tipuri de izomerie. Acestea includ izomeria de catenă (diferite aranjamente ale atomilor de carbon), izomeria de poziție (poziția diferită a legăturii duble) și izomeria de funcțiune cu cicloalcani (compuși cu aceeași formulă moleculară dar din clase diferite).
Un tip special de izomerie întâlnită la alchene este izomeria geometrică . Aceasta apare când fiecare atom de carbon din legătura dublă are substituenți diferiți. De exemplu, 2-pentena și 2-butena prezintă izomeri cis (substituenții pe aceeași parte) și trans (substituenții pe părți opuse).
💡 Izomeria geometrică este posibilă doar când nu există identitate între substituenții de pe atomii de carbon din legătura dublă!

Acces la toate documentele
Îmbunătățește notele tale!
Alătură-te milioanelor de elevi
În reacțiile de eliminare, conform regulii Zaițev, se formează majoritar alchena cea mai substituită. Un exemplu este dehalogenarea compușilor monohalogenați în prezența bazelor tari (NaOH) în mediu alcoolic, care duce la eliminarea de acid halogenat.
Proprietățile fizice ale alchenelor variază în funcție de structura lor. În condiții normale, alchenele C2-C4 sunt gaze, cele de la C5-C18 sunt lichide, iar cele peste C19 sunt solide. Punctele lor de topire și fierbere cresc odată cu masa molară, fiind ușor mai mici decât ale alcanilor corespunzători.
Alchenele au densitatea mai mică decât a apei, dar mai mare decât a alcanilor corespunzători. Fiind compuși nepolari, alchenele sunt insolubile în apă, dar se dizolvă bine în solvenți organici precum cloroformul sau alcanii.
La izomerii geometrici, proprietățile fizice diferă: izomerii cis au puncte de fierbere și densități mai mici decât izomerii trans, în timp ce punctele de topire ale izomerilor cis sunt mai mari decât ale izomerilor trans.

Acces la toate documentele
Îmbunătățește notele tale!
Alătură-te milioanelor de elevi
Adiția hidracizilor (HCl, HBr, HI) la alchene formează compuși monohalogenați saturați. La alchenele nesimetrice, reacția urmează regula Markovnikov: hidrogenul din hidracid se atașează la atomul de carbon cu mai mulți atomi de hidrogen, iar halogenul la atomul de carbon cu mai puțini hidrogeni.
O excepție interesantă apare la adiția HBr la alchene cu legătură dublă marginală în prezența peroxizilor organici . În aceste condiții, bromul se atașează la atomul de carbon terminal, formând produsul opus celui prevăzut de regula Markovnikov.
Hidratarea alchenelor (adiția apei) produce alcooli în prezența acidului sulfuric. La alchenele simetrice se formează un singur produs, în timp ce la cele nesimetrice, orientarea urmează tot regula Markovnikov.
Polimerizarea este o reacție importantă a alchenelor, în care mai multe molecule de monomer (alchenă) se unesc pentru a forma un lanț lung (polimer). Polietilena, polipropilena și polistirenul sunt exemple de polimeri vinilici obținuți din etenă, propenă și respectiv stiren.
🔑 Gradul de polimerizare (m) reprezintă raportul dintre masa molară a polimerului și masa molară a monomerului!

Acces la toate documentele
Îmbunătățește notele tale!
Alătură-te milioanelor de elevi
Polimerii obținuți din alchene au numeroase utilizări practice. Polietilena se folosește la izolarea conductoarelor electrice, protecție împotriva coroziunii și fabricarea ambalajelor. Polipropilena este utilizată pentru folii, cutii și seringi, iar polistirenul poate fi tras în fire și are proprietăți dielectrice bune.
Halogenarea în poziție alilică a alchenelor este o reacție de substituție care se realizează cu clor sau brom la temperaturi înalte . Poziția alilică se referă la atomul de carbon vecin cu legătura dublă, unde se poate atașa un atom de halogen.
La alchenele care au poziții alilice echivalente, se obține un singur produs de substituție. De exemplu, la 3-metil-2-pentena, halogenarea alilică poate duce la formarea 1-cloro-3-metil-2-pentenei, 1-cloro-2-etil-2-butenei sau 4-cloro-3-metil-2-pentenei.
Bromurarea alchenelor se poate realiza și într-un mod mai blând, utilizând tetraclorura de carbon (CCl4) și N-bromosuccinimidă (NBS), o metodă preferată în sinteza organică de laborator pentru selectivitatea sa.
💡 Spre deosebire de halogenarea obișnuită (care adaugă halogeni la legătura dublă), halogenarea alilică păstrează legătura dublă și substituie un atom de hidrogen din vecinătatea acesteia!

Acces la toate documentele
Îmbunătățește notele tale!
Alătură-te milioanelor de elevi
Arderea completă a alchenelor eliberează o cantitate mare de căldură, transformându-le în dioxid de carbon și apă. De exemplu, etena (C2H4) reacționează cu oxigenul pentru a produce 2CO2 + 2H2O + energie.
Oxidarea catalitică a etenei în prezența argintului ca și catalizator produce etilenoxid (oxid de etenă), un compus toxic utilizat ca insecticid. Această reacție reprezintă un exemplu de oxidare parțială controlată.
Amonoxidarea propenei este procesul în care propena reacționează cu amoniac și oxigen pentru a forma acrilonitril (cianura de vinil), un compus important în industria materialelor sintetice.
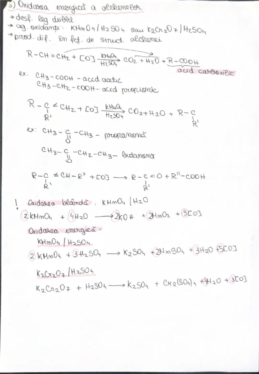
Oxidarea blândă a alchenelor se realizează cu permanganat de potasiu (KMnO4) în mediu neutru sau bazic, prin așa-numita reacție Bayer. Aceasta duce la formarea diolilor vicinali prin desfacerea legăturii duble. Un exemplu important este transformarea etenei în 1,2-etandiol (glicol), folosit ca antigel și în producerea PET-urilor.
🧪 Reacția Bayer cu KMnO4 diluat servește și ca test de identificare pentru alchene - soluția violet de permanganat se decolorează în prezența alchenelor!

Acces la toate documentele
Îmbunătățește notele tale!
Alătură-te milioanelor de elevi

Acces la toate documentele
Îmbunătățește notele tale!
Alătură-te milioanelor de elevi

Acces la toate documentele
Îmbunătățește notele tale!
Alătură-te milioanelor de elevi
Companionul nostru AI este creat special pentru nevoile studenților. Bazându-ne pe milioanele de materiale de pe platformă, putem oferi răspunsuri exacte și relevante pentru studenți. Dar nu este vorba doar despre răspunsuri, companionul este mai ales despre ghidarea studenților prin provocările zilnice de învățare, cu planuri de studiu personalizate, chestionare sau conținuturi în chat și personalizare 100% bazată pe abilitățile și evoluțiile studenților.
Aplicația este disponibilă în Google Play Store și Apple App Store.
Da! Bucură-te de access la materiale de studiu, conectează-te cu alți elevi, și primește ajutor instant - toate acestea la un click distanță. În plus, câștigă puncte ca să deblochezi mai multe funcționalități!
3
Instrumente inteligente NOU
Transformă această notiță în: ✓ 50+ întrebări de exersare ✓ Flashcard-uri interactive ✓ Examen de practică complet ✓ Planuri de eseu
App Store
Google Play
Aplicația este foarte ușor de utilizat și bine concepută. Am găsit tot ce căutam până acum și am reușit să învăț multe din prezentări! Cu siguranță voi folosi aplicația pentru o temă la clasă! Și desigur, ajută mult ca sursă de inspirație.
Ștefan S
utilizator iOS
Această aplicație este super. Sunt atât de multe materiale de studiu și ajutor pentru elevi [...]. Materia mea mai problematică este franceza, de exemplu, și aplicația oferă foarte multe materiale ajutătoare. Mulțumită acestei aplicații, mi-am îmbunătățit franceza. Aș recomanda-o oricui.
Samantha Klich
utilizator Android
Wow, sunt cu adevărat impresionat. Am încercat aplicația pentru că am văzut-o promovată de multe ori și am rămas uimit. Aceasta este AJUTORUL de care ai nevoie pentru școală și, mai presus de toate, oferă atât de multe lucruri, precum exerciții și fișe de informații, care mi-au fost FOARTE de ajutor.
Anna
utilizator iOS
Te ajută să înveți foarte repede și ști foarte bine ce ai dori tu să înveți, vă recomand cu drag să încercați și să învățați mai repede.!
Thomas R
utilizator iOS
Foarte bună aplicația!!!! Mă ajută să înțeleg mult mai bine lecțiile și temele le termin mult mai repede.👍❤️
Paul P
utilizator Android
Te ajută foarte bine la teme acest robot,recomand!
David K
utilizator iOS
Aplicația e grozavă! Tot ce trebuie să fac este să introduc subiectul în bara de căutare și primesc răspunsul foarte rapid. Nu mai trebuie să mă uit la 10 videoclipuri pe YouTube pentru a înțelege ceva, deci îmi economisesc timpul. Super recomandat!
Sudenaz Ocak
utilizator Android
La școală eram chiar slab la matematică, dar datorită aplicației, mă descurc mai bine acum. Sunt atât de recunoscător că ai creat aplicația.
Greenlight Bonnie
utilizator Android
Această aplicație e super interesantă și seamănă ca tiktok-ul doar că tu ai doar teorie și explicații.
Karla S
utilizator Android
Nu mai trebuie să stau cu orele să învăț după caiet când pot să citesc de 2 ori lecțiile care apar aici și iau 10 la test ! Knowunity m-a ajutat să iau nota 9,20 la română ! Voi recomanda ff tare aceasta aplicate , să nu uităm ca are și chat GPT !👍🏻
Denisa B
utilizator iOS
CHESTIONARELE ȘI FLASHCARD-URILE SUNT ATÂT DE UTILE ȘI IUBESC Knowunity AI. E LITERALMENTE CA CHATGPT DOAR CĂ MAI DEȘTEPT!! M-A AJUTAT ȘI CU PROBLEMELE MELE CU MASCARA!! PLUS CU MATERIILE MELE ADEVĂRATE! EVIDENT 😍😁😲🤑💗✨🎀😮
Sarah L
utilizator Android
Este foarte bună te ajută la teme te face să înțelegi lecțiile am înțeles o lecție în 20 de minute i singură nu reușeam să o învăț dar cu Knowunity am învățat-o foarte ușor
Alessia V
utilizator iOS
Aplicația este foarte ușor de utilizat și bine concepută. Am găsit tot ce căutam până acum și am reușit să învăț multe din prezentări! Cu siguranță voi folosi aplicația pentru o temă la clasă! Și desigur, ajută mult ca sursă de inspirație.
Ștefan S
utilizator iOS
Această aplicație este super. Sunt atât de multe materiale de studiu și ajutor pentru elevi [...]. Materia mea mai problematică este franceza, de exemplu, și aplicația oferă foarte multe materiale ajutătoare. Mulțumită acestei aplicații, mi-am îmbunătățit franceza. Aș recomanda-o oricui.
Samantha Klich
utilizator Android
Wow, sunt cu adevărat impresionat. Am încercat aplicația pentru că am văzut-o promovată de multe ori și am rămas uimit. Aceasta este AJUTORUL de care ai nevoie pentru școală și, mai presus de toate, oferă atât de multe lucruri, precum exerciții și fișe de informații, care mi-au fost FOARTE de ajutor.
Anna
utilizator iOS
Te ajută să înveți foarte repede și ști foarte bine ce ai dori tu să înveți, vă recomand cu drag să încercați și să învățați mai repede.!
Thomas R
utilizator iOS
Foarte bună aplicația!!!! Mă ajută să înțeleg mult mai bine lecțiile și temele le termin mult mai repede.👍❤️
Paul P
utilizator Android
Te ajută foarte bine la teme acest robot,recomand!
David K
utilizator iOS
Aplicația e grozavă! Tot ce trebuie să fac este să introduc subiectul în bara de căutare și primesc răspunsul foarte rapid. Nu mai trebuie să mă uit la 10 videoclipuri pe YouTube pentru a înțelege ceva, deci îmi economisesc timpul. Super recomandat!
Sudenaz Ocak
utilizator Android
La școală eram chiar slab la matematică, dar datorită aplicației, mă descurc mai bine acum. Sunt atât de recunoscător că ai creat aplicația.
Greenlight Bonnie
utilizator Android
Această aplicație e super interesantă și seamănă ca tiktok-ul doar că tu ai doar teorie și explicații.
Karla S
utilizator Android
Nu mai trebuie să stau cu orele să învăț după caiet când pot să citesc de 2 ori lecțiile care apar aici și iau 10 la test ! Knowunity m-a ajutat să iau nota 9,20 la română ! Voi recomanda ff tare aceasta aplicate , să nu uităm ca are și chat GPT !👍🏻
Denisa B
utilizator iOS
CHESTIONARELE ȘI FLASHCARD-URILE SUNT ATÂT DE UTILE ȘI IUBESC Knowunity AI. E LITERALMENTE CA CHATGPT DOAR CĂ MAI DEȘTEPT!! M-A AJUTAT ȘI CU PROBLEMELE MELE CU MASCARA!! PLUS CU MATERIILE MELE ADEVĂRATE! EVIDENT 😍😁😲🤑💗✨🎀😮
Sarah L
utilizator Android
Este foarte bună te ajută la teme te face să înțelegi lecțiile am înțeles o lecție în 20 de minute i singură nu reușeam să o învăț dar cu Knowunity am învățat-o foarte ușor
Alessia V
utilizator iOS