Acesta este un test de geografie de tip bacalaureat cu... Afișează mai mult
Înscrie-te pentru a vedea CONȚINUTULE gratuit!
Acces la toate documentele
Îmbunătățește notele tale!
Alătură-te milioanelor de elevi
Knowunity AI
Mai mult
Materii
Triangle Congruence and Similarity Theorems
Triangle Properties and Classification
Linear Equations and Graphs
Geometric Angle Relationships
Trigonometric Functions and Identities
Equation Solving Techniques
Circle Geometry Fundamentals
Division Operations and Methods
Basic Differentiation Rules
Exponent and Logarithm Properties
Afișează toate materiile
Human Organ Systems
Reproductive Cell Cycles
Biological Sciences Subdisciplines
Cellular Energy Metabolism
Autotrophic Energy Processes
Inheritance Patterns and Principles
Biomolecular Structure and Organization
Cell Cycle and Division Mechanics
Cellular Organization and Development
Biological Structural Organization
Afișează toate materiile
Chemical Sciences and Applications
Atomic Structure and Composition
Molecular Electron Structure Representation
Atomic Electron Behavior
Matter Properties and Water
Mole Concept and Calculations
Gas Laws and Behavior
Periodic Table Organization
Chemical Thermodynamics Fundamentals
Chemical Bond Types and Properties
Afișează toate materiile
European Renaissance and Enlightenment
European Cultural Movements 800-1920
American Revolution Era 1763-1797
American Civil War 1861-1865
Global Imperial Systems
Mongol and Chinese Dynasties
U.S. Presidents and World Leaders
Historical Sources and Documentation
World Wars Era and Impact
World Religious Systems
Afișează toate materiile
Classic and Contemporary Novels
Literary Character Analysis
Rhetorical Theory and Practice
Classic Literary Narratives
Reading Analysis and Interpretation
Narrative Structure and Techniques
English Language Components
Influential English-Language Authors
Basic Sentence Structure
Narrative Voice and Perspective
Afișează toate materiile
82
•
Actualizat Apr 4, 2026
•
old nati
@old_nati
Acesta este un test de geografie de tip bacalaureat cu... Afișează mai mult





Primul subiect se concentrează pe identificarea statelor și capitalelor Europei pe o hartă politică. Trebuie să recunoașteți orașe-capitală marcate cu numere (cum ar fi numărul 12) și state marcate cu litere (precum statul J).
În partea B vi se cere să identificați capitala Praga, să numiți statul marcat cu litera A și să recunoașteți orașul-capitală marcat cu numărul 9.
Sfat util: Memorarea poziționării geografice a statelor europene și a capitalelor lor este esențială pentru acest tip de exerciții. Creează-ți o hartă mentală a Europei!
Subiectul continuă cu întrebări cu alegere multiplă despre elemente geografice specifice, cum ar fi Munții Pirinei și fluviul Ron, care se află într-un anumit stat marcat pe hartă. În plus, trebuie să identificați state precum Bosnia și Herțegovina, Croația sau Slovenia, și capitale precum Berlin, Belgrad sau Bratislava.
La finalul acestui subiect trebuie să analizați comparativ clima a două state europene, evidențiind două deosebiri și o asemănare referitoare la factori genetici, temperaturi medii, precipitații sau vânturi.

În acest subiect veți lucra cu o hartă a României pe care sunt marcate unități de relief, râuri și orașe. Exercițiile testează capacitatea de a identifica elemente geografice specifice ale României.
Trebuie să recunoașteți râuri importante (precum cel marcat cu numărul 6) și orașe mari (cum ar fi orașul marcat cu numărul 9). De asemenea, veți identifica cea mai veche unitate de relief din România după modul de formare.
Partea C include întrebări cu alegere multiplă despre orașe precum Timișoara, Reșița sau Deva, râuri precum Crișul Alb sau Târnava Mare, și caracteristici ale unităților de relief. De exemplu, trebuie să știți în care unitate de relief se găsește vegetația alpină sau ce resurse de subsol se găsesc în anumite zone.
Important: Fii atent la caracteristicile specifice ale fiecărei unități de relief din România - altitudine, tipuri de roci, grad de fragmentare, orientare, toate acestea sunt elemente care pot face diferența la examen!
Un exercițiu complex solicită compararea a două unități de relief din România, evidențiind trei deosebiri în ceea ce privește modul de formare, tipurile de roci, altitudini, gradul de fragmentare sau alte aspecte specifice. Este important să prezinți deosebirile comparativ, nu separat.

Ultima parte a subiectului II vă cere să explicați de ce în unitatea de relief marcată cu G cade o cantitate mai mare de precipitații comparativ cu unitatea D, precum și existența reliefului glaciar în unitatea F.
Subiectul III începe cu analiza unei reprezentări grafice despre evoluția numărului de angajați din Irlanda, Norvegia și Slovacia între 2006-2014. Trebuie să extrageți informații precum numărul de angajați din Norvegia în 2006, să identificați statul cu o scădere continuă a numărului de angajați și să precizați valorile pentru anumite state și ani.
De asemenea, vi se cere să realizați calcule pe baza graficului:
Recomandare: Exersează interpretarea diferitelor tipuri de grafice și tabele - aceasta este o abilitate foarte utilă nu doar pentru geografie, ci și pentru multe alte domenii!
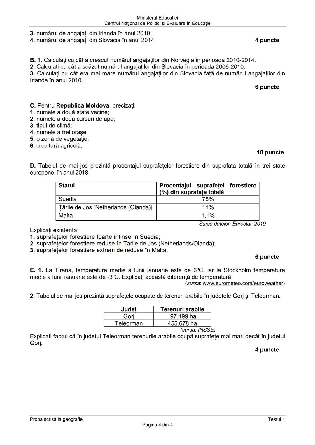
Pentru Republica Moldova, trebuie să cunoașteți elemente de bază precum statele vecine, cursurile de apă, tipul de climă, orașe, vegetație și culturile agricole.

În această parte a testului veți analiza un tabel cu procentajul suprafețelor forestiere din trei state europene: Suedia (75%), Țările de Jos (11%) și Malta (1,1%). Trebuie să explicați cauzele acestor diferențe semnificative - de ce Suedia are suprafețe forestiere foarte întinse, iar Malta suprafețe forestiere extrem de reduse.
De asemenea, trebuie să explicați de ce temperatura medie a lunii ianuarie la Tirana (6°C) este considerabil mai ridicată decât la Stockholm , analizând factorii care influențează aceste diferențe climatice.
Un alt element important este analiza diferențelor între suprafețele de terenuri arabile din județele Gorj (97.199 ha) și Teleorman (455.678 ha). Trebuie să explicați de ce județul Teleorman are o suprafață agricolă mult mai extinsă decât județul Gorj, bazându-vă pe cunoștințele despre relief, sol și condițiile climatice specifice celor două județe.
Ține minte: Pentru explicații geografice de calitate, conectează mereu mai mulți factori: relief, climă, poziție geografică, influențe oceanice/continentale, activități umane etc. O bună explicație geografică este întotdeauna multifactorială!
Acest test evaluează atât cunoștințele tale teoretice despre geografia Europei și a României, cât și abilitățile practice de analiză a hărților, interpretare a datelor și explicare a fenomenelor geografice complexe.
Companionul nostru AI este creat special pentru nevoile studenților. Bazându-ne pe milioanele de materiale de pe platformă, putem oferi răspunsuri exacte și relevante pentru studenți. Dar nu este vorba doar despre răspunsuri, companionul este mai ales despre ghidarea studenților prin provocările zilnice de învățare, cu planuri de studiu personalizate, chestionare sau conținuturi în chat și personalizare 100% bazată pe abilitățile și evoluțiile studenților.
Aplicația este disponibilă în Google Play Store și Apple App Store.
Da! Bucură-te de access la materiale de studiu, conectează-te cu alți elevi, și primește ajutor instant - toate acestea la un click distanță. În plus, câștigă puncte ca să deblochezi mai multe funcționalități!
App Store
Google Play
Aplicația este foarte ușor de utilizat și bine concepută. Am găsit tot ce căutam până acum și am reușit să învăț multe din prezentări! Cu siguranță voi folosi aplicația pentru o temă la clasă! Și desigur, ajută mult ca sursă de inspirație.
Ștefan S
utilizator iOS
Această aplicație este super. Sunt atât de multe materiale de studiu și ajutor pentru elevi [...]. Materia mea mai problematică este franceza, de exemplu, și aplicația oferă foarte multe materiale ajutătoare. Mulțumită acestei aplicații, mi-am îmbunătățit franceza. Aș recomanda-o oricui.
Samantha Klich
utilizator Android
Wow, sunt cu adevărat impresionat. Am încercat aplicația pentru că am văzut-o promovată de multe ori și am rămas uimit. Aceasta este AJUTORUL de care ai nevoie pentru școală și, mai presus de toate, oferă atât de multe lucruri, precum exerciții și fișe de informații, care mi-au fost FOARTE de ajutor.
Anna
utilizator iOS
Te ajută să înveți foarte repede și ști foarte bine ce ai dori tu să înveți, vă recomand cu drag să încercați și să învățați mai repede.!
Thomas R
utilizator iOS
Foarte bună aplicația!!!! Mă ajută să înțeleg mult mai bine lecțiile și temele le termin mult mai repede.👍❤️
Paul P
utilizator Android
Te ajută foarte bine la teme acest robot,recomand!
David K
utilizator iOS
Aplicația e grozavă! Tot ce trebuie să fac este să introduc subiectul în bara de căutare și primesc răspunsul foarte rapid. Nu mai trebuie să mă uit la 10 videoclipuri pe YouTube pentru a înțelege ceva, deci îmi economisesc timpul. Super recomandat!
Sudenaz Ocak
utilizator Android
La școală eram chiar slab la matematică, dar datorită aplicației, mă descurc mai bine acum. Sunt atât de recunoscător că ai creat aplicația.
Greenlight Bonnie
utilizator Android
Această aplicație e super interesantă și seamănă ca tiktok-ul doar că tu ai doar teorie și explicații.
Karla S
utilizator Android
Nu mai trebuie să stau cu orele să învăț după caiet când pot să citesc de 2 ori lecțiile care apar aici și iau 10 la test ! Knowunity m-a ajutat să iau nota 9,20 la română ! Voi recomanda ff tare aceasta aplicate , să nu uităm ca are și chat GPT !👍🏻
Denisa B
utilizator iOS
CHESTIONARELE ȘI FLASHCARD-URILE SUNT ATÂT DE UTILE ȘI IUBESC Knowunity AI. E LITERALMENTE CA CHATGPT DOAR CĂ MAI DEȘTEPT!! M-A AJUTAT ȘI CU PROBLEMELE MELE CU MASCARA!! PLUS CU MATERIILE MELE ADEVĂRATE! EVIDENT 😍😁😲🤑💗✨🎀😮
Sarah L
utilizator Android
Este foarte bună te ajută la teme te face să înțelegi lecțiile am înțeles o lecție în 20 de minute i singură nu reușeam să o învăț dar cu Knowunity am învățat-o foarte ușor
Alessia V
utilizator iOS
Aplicația este foarte ușor de utilizat și bine concepută. Am găsit tot ce căutam până acum și am reușit să învăț multe din prezentări! Cu siguranță voi folosi aplicația pentru o temă la clasă! Și desigur, ajută mult ca sursă de inspirație.
Ștefan S
utilizator iOS
Această aplicație este super. Sunt atât de multe materiale de studiu și ajutor pentru elevi [...]. Materia mea mai problematică este franceza, de exemplu, și aplicația oferă foarte multe materiale ajutătoare. Mulțumită acestei aplicații, mi-am îmbunătățit franceza. Aș recomanda-o oricui.
Samantha Klich
utilizator Android
Wow, sunt cu adevărat impresionat. Am încercat aplicația pentru că am văzut-o promovată de multe ori și am rămas uimit. Aceasta este AJUTORUL de care ai nevoie pentru școală și, mai presus de toate, oferă atât de multe lucruri, precum exerciții și fișe de informații, care mi-au fost FOARTE de ajutor.
Anna
utilizator iOS
Te ajută să înveți foarte repede și ști foarte bine ce ai dori tu să înveți, vă recomand cu drag să încercați și să învățați mai repede.!
Thomas R
utilizator iOS
Foarte bună aplicația!!!! Mă ajută să înțeleg mult mai bine lecțiile și temele le termin mult mai repede.👍❤️
Paul P
utilizator Android
Te ajută foarte bine la teme acest robot,recomand!
David K
utilizator iOS
Aplicația e grozavă! Tot ce trebuie să fac este să introduc subiectul în bara de căutare și primesc răspunsul foarte rapid. Nu mai trebuie să mă uit la 10 videoclipuri pe YouTube pentru a înțelege ceva, deci îmi economisesc timpul. Super recomandat!
Sudenaz Ocak
utilizator Android
La școală eram chiar slab la matematică, dar datorită aplicației, mă descurc mai bine acum. Sunt atât de recunoscător că ai creat aplicația.
Greenlight Bonnie
utilizator Android
Această aplicație e super interesantă și seamănă ca tiktok-ul doar că tu ai doar teorie și explicații.
Karla S
utilizator Android
Nu mai trebuie să stau cu orele să învăț după caiet când pot să citesc de 2 ori lecțiile care apar aici și iau 10 la test ! Knowunity m-a ajutat să iau nota 9,20 la română ! Voi recomanda ff tare aceasta aplicate , să nu uităm ca are și chat GPT !👍🏻
Denisa B
utilizator iOS
CHESTIONARELE ȘI FLASHCARD-URILE SUNT ATÂT DE UTILE ȘI IUBESC Knowunity AI. E LITERALMENTE CA CHATGPT DOAR CĂ MAI DEȘTEPT!! M-A AJUTAT ȘI CU PROBLEMELE MELE CU MASCARA!! PLUS CU MATERIILE MELE ADEVĂRATE! EVIDENT 😍😁😲🤑💗✨🎀😮
Sarah L
utilizator Android
Este foarte bună te ajută la teme te face să înțelegi lecțiile am înțeles o lecție în 20 de minute i singură nu reușeam să o învăț dar cu Knowunity am învățat-o foarte ușor
Alessia V
utilizator iOS
old nati
@old_nati
Acesta este un test de geografie de tip bacalaureat cu subiecte despre Europa, România și elemente de geografie generală. Testul evaluează cunoștințele despre harta politică a Europei, unitățile de relief din România, aspecte demografice și climatice ale statelor europene.

Acces la toate documentele
Îmbunătățește notele tale!
Alătură-te milioanelor de elevi
Primul subiect se concentrează pe identificarea statelor și capitalelor Europei pe o hartă politică. Trebuie să recunoașteți orașe-capitală marcate cu numere (cum ar fi numărul 12) și state marcate cu litere (precum statul J).
În partea B vi se cere să identificați capitala Praga, să numiți statul marcat cu litera A și să recunoașteți orașul-capitală marcat cu numărul 9.
Sfat util: Memorarea poziționării geografice a statelor europene și a capitalelor lor este esențială pentru acest tip de exerciții. Creează-ți o hartă mentală a Europei!
Subiectul continuă cu întrebări cu alegere multiplă despre elemente geografice specifice, cum ar fi Munții Pirinei și fluviul Ron, care se află într-un anumit stat marcat pe hartă. În plus, trebuie să identificați state precum Bosnia și Herțegovina, Croația sau Slovenia, și capitale precum Berlin, Belgrad sau Bratislava.
La finalul acestui subiect trebuie să analizați comparativ clima a două state europene, evidențiind două deosebiri și o asemănare referitoare la factori genetici, temperaturi medii, precipitații sau vânturi.

Acces la toate documentele
Îmbunătățește notele tale!
Alătură-te milioanelor de elevi
În acest subiect veți lucra cu o hartă a României pe care sunt marcate unități de relief, râuri și orașe. Exercițiile testează capacitatea de a identifica elemente geografice specifice ale României.
Trebuie să recunoașteți râuri importante (precum cel marcat cu numărul 6) și orașe mari (cum ar fi orașul marcat cu numărul 9). De asemenea, veți identifica cea mai veche unitate de relief din România după modul de formare.
Partea C include întrebări cu alegere multiplă despre orașe precum Timișoara, Reșița sau Deva, râuri precum Crișul Alb sau Târnava Mare, și caracteristici ale unităților de relief. De exemplu, trebuie să știți în care unitate de relief se găsește vegetația alpină sau ce resurse de subsol se găsesc în anumite zone.
Important: Fii atent la caracteristicile specifice ale fiecărei unități de relief din România - altitudine, tipuri de roci, grad de fragmentare, orientare, toate acestea sunt elemente care pot face diferența la examen!
Un exercițiu complex solicită compararea a două unități de relief din România, evidențiind trei deosebiri în ceea ce privește modul de formare, tipurile de roci, altitudini, gradul de fragmentare sau alte aspecte specifice. Este important să prezinți deosebirile comparativ, nu separat.

Acces la toate documentele
Îmbunătățește notele tale!
Alătură-te milioanelor de elevi
Ultima parte a subiectului II vă cere să explicați de ce în unitatea de relief marcată cu G cade o cantitate mai mare de precipitații comparativ cu unitatea D, precum și existența reliefului glaciar în unitatea F.
Subiectul III începe cu analiza unei reprezentări grafice despre evoluția numărului de angajați din Irlanda, Norvegia și Slovacia între 2006-2014. Trebuie să extrageți informații precum numărul de angajați din Norvegia în 2006, să identificați statul cu o scădere continuă a numărului de angajați și să precizați valorile pentru anumite state și ani.
De asemenea, vi se cere să realizați calcule pe baza graficului:
Recomandare: Exersează interpretarea diferitelor tipuri de grafice și tabele - aceasta este o abilitate foarte utilă nu doar pentru geografie, ci și pentru multe alte domenii!
Pentru Republica Moldova, trebuie să cunoașteți elemente de bază precum statele vecine, cursurile de apă, tipul de climă, orașe, vegetație și culturile agricole.

Acces la toate documentele
Îmbunătățește notele tale!
Alătură-te milioanelor de elevi
În această parte a testului veți analiza un tabel cu procentajul suprafețelor forestiere din trei state europene: Suedia (75%), Țările de Jos (11%) și Malta (1,1%). Trebuie să explicați cauzele acestor diferențe semnificative - de ce Suedia are suprafețe forestiere foarte întinse, iar Malta suprafețe forestiere extrem de reduse.
De asemenea, trebuie să explicați de ce temperatura medie a lunii ianuarie la Tirana (6°C) este considerabil mai ridicată decât la Stockholm , analizând factorii care influențează aceste diferențe climatice.
Un alt element important este analiza diferențelor între suprafețele de terenuri arabile din județele Gorj (97.199 ha) și Teleorman (455.678 ha). Trebuie să explicați de ce județul Teleorman are o suprafață agricolă mult mai extinsă decât județul Gorj, bazându-vă pe cunoștințele despre relief, sol și condițiile climatice specifice celor două județe.
Ține minte: Pentru explicații geografice de calitate, conectează mereu mai mulți factori: relief, climă, poziție geografică, influențe oceanice/continentale, activități umane etc. O bună explicație geografică este întotdeauna multifactorială!
Acest test evaluează atât cunoștințele tale teoretice despre geografia Europei și a României, cât și abilitățile practice de analiză a hărților, interpretare a datelor și explicare a fenomenelor geografice complexe.
Companionul nostru AI este creat special pentru nevoile studenților. Bazându-ne pe milioanele de materiale de pe platformă, putem oferi răspunsuri exacte și relevante pentru studenți. Dar nu este vorba doar despre răspunsuri, companionul este mai ales despre ghidarea studenților prin provocările zilnice de învățare, cu planuri de studiu personalizate, chestionare sau conținuturi în chat și personalizare 100% bazată pe abilitățile și evoluțiile studenților.
Aplicația este disponibilă în Google Play Store și Apple App Store.
Da! Bucură-te de access la materiale de studiu, conectează-te cu alți elevi, și primește ajutor instant - toate acestea la un click distanță. În plus, câștigă puncte ca să deblochezi mai multe funcționalități!
1
Instrumente inteligente NOU
Transformă această notiță în: ✓ 50+ întrebări de exersare ✓ Flashcard-uri interactive ✓ Examen de practică complet ✓ Planuri de eseu
App Store
Google Play
Aplicația este foarte ușor de utilizat și bine concepută. Am găsit tot ce căutam până acum și am reușit să învăț multe din prezentări! Cu siguranță voi folosi aplicația pentru o temă la clasă! Și desigur, ajută mult ca sursă de inspirație.
Ștefan S
utilizator iOS
Această aplicație este super. Sunt atât de multe materiale de studiu și ajutor pentru elevi [...]. Materia mea mai problematică este franceza, de exemplu, și aplicația oferă foarte multe materiale ajutătoare. Mulțumită acestei aplicații, mi-am îmbunătățit franceza. Aș recomanda-o oricui.
Samantha Klich
utilizator Android
Wow, sunt cu adevărat impresionat. Am încercat aplicația pentru că am văzut-o promovată de multe ori și am rămas uimit. Aceasta este AJUTORUL de care ai nevoie pentru școală și, mai presus de toate, oferă atât de multe lucruri, precum exerciții și fișe de informații, care mi-au fost FOARTE de ajutor.
Anna
utilizator iOS
Te ajută să înveți foarte repede și ști foarte bine ce ai dori tu să înveți, vă recomand cu drag să încercați și să învățați mai repede.!
Thomas R
utilizator iOS
Foarte bună aplicația!!!! Mă ajută să înțeleg mult mai bine lecțiile și temele le termin mult mai repede.👍❤️
Paul P
utilizator Android
Te ajută foarte bine la teme acest robot,recomand!
David K
utilizator iOS
Aplicația e grozavă! Tot ce trebuie să fac este să introduc subiectul în bara de căutare și primesc răspunsul foarte rapid. Nu mai trebuie să mă uit la 10 videoclipuri pe YouTube pentru a înțelege ceva, deci îmi economisesc timpul. Super recomandat!
Sudenaz Ocak
utilizator Android
La școală eram chiar slab la matematică, dar datorită aplicației, mă descurc mai bine acum. Sunt atât de recunoscător că ai creat aplicația.
Greenlight Bonnie
utilizator Android
Această aplicație e super interesantă și seamănă ca tiktok-ul doar că tu ai doar teorie și explicații.
Karla S
utilizator Android
Nu mai trebuie să stau cu orele să învăț după caiet când pot să citesc de 2 ori lecțiile care apar aici și iau 10 la test ! Knowunity m-a ajutat să iau nota 9,20 la română ! Voi recomanda ff tare aceasta aplicate , să nu uităm ca are și chat GPT !👍🏻
Denisa B
utilizator iOS
CHESTIONARELE ȘI FLASHCARD-URILE SUNT ATÂT DE UTILE ȘI IUBESC Knowunity AI. E LITERALMENTE CA CHATGPT DOAR CĂ MAI DEȘTEPT!! M-A AJUTAT ȘI CU PROBLEMELE MELE CU MASCARA!! PLUS CU MATERIILE MELE ADEVĂRATE! EVIDENT 😍😁😲🤑💗✨🎀😮
Sarah L
utilizator Android
Este foarte bună te ajută la teme te face să înțelegi lecțiile am înțeles o lecție în 20 de minute i singură nu reușeam să o învăț dar cu Knowunity am învățat-o foarte ușor
Alessia V
utilizator iOS
Aplicația este foarte ușor de utilizat și bine concepută. Am găsit tot ce căutam până acum și am reușit să învăț multe din prezentări! Cu siguranță voi folosi aplicația pentru o temă la clasă! Și desigur, ajută mult ca sursă de inspirație.
Ștefan S
utilizator iOS
Această aplicație este super. Sunt atât de multe materiale de studiu și ajutor pentru elevi [...]. Materia mea mai problematică este franceza, de exemplu, și aplicația oferă foarte multe materiale ajutătoare. Mulțumită acestei aplicații, mi-am îmbunătățit franceza. Aș recomanda-o oricui.
Samantha Klich
utilizator Android
Wow, sunt cu adevărat impresionat. Am încercat aplicația pentru că am văzut-o promovată de multe ori și am rămas uimit. Aceasta este AJUTORUL de care ai nevoie pentru școală și, mai presus de toate, oferă atât de multe lucruri, precum exerciții și fișe de informații, care mi-au fost FOARTE de ajutor.
Anna
utilizator iOS
Te ajută să înveți foarte repede și ști foarte bine ce ai dori tu să înveți, vă recomand cu drag să încercați și să învățați mai repede.!
Thomas R
utilizator iOS
Foarte bună aplicația!!!! Mă ajută să înțeleg mult mai bine lecțiile și temele le termin mult mai repede.👍❤️
Paul P
utilizator Android
Te ajută foarte bine la teme acest robot,recomand!
David K
utilizator iOS
Aplicația e grozavă! Tot ce trebuie să fac este să introduc subiectul în bara de căutare și primesc răspunsul foarte rapid. Nu mai trebuie să mă uit la 10 videoclipuri pe YouTube pentru a înțelege ceva, deci îmi economisesc timpul. Super recomandat!
Sudenaz Ocak
utilizator Android
La școală eram chiar slab la matematică, dar datorită aplicației, mă descurc mai bine acum. Sunt atât de recunoscător că ai creat aplicația.
Greenlight Bonnie
utilizator Android
Această aplicație e super interesantă și seamănă ca tiktok-ul doar că tu ai doar teorie și explicații.
Karla S
utilizator Android
Nu mai trebuie să stau cu orele să învăț după caiet când pot să citesc de 2 ori lecțiile care apar aici și iau 10 la test ! Knowunity m-a ajutat să iau nota 9,20 la română ! Voi recomanda ff tare aceasta aplicate , să nu uităm ca are și chat GPT !👍🏻
Denisa B
utilizator iOS
CHESTIONARELE ȘI FLASHCARD-URILE SUNT ATÂT DE UTILE ȘI IUBESC Knowunity AI. E LITERALMENTE CA CHATGPT DOAR CĂ MAI DEȘTEPT!! M-A AJUTAT ȘI CU PROBLEMELE MELE CU MASCARA!! PLUS CU MATERIILE MELE ADEVĂRATE! EVIDENT 😍😁😲🤑💗✨🎀😮
Sarah L
utilizator Android
Este foarte bună te ajută la teme te face să înțelegi lecțiile am înțeles o lecție în 20 de minute i singură nu reușeam să o învăț dar cu Knowunity am învățat-o foarte ușor
Alessia V
utilizator iOS